Matemática para o ensino fundamental

Matemática para o Ensino Fundamental

1 Multiplicação:

Produto de dois números

Consideremos a soma de 5 parcelas iguais a 3.

3 + 3 + 3 + 3 +3 = 15

Esta soma pode ser indicada por 3 x 5 = 15 ( ou 3 . 5 = 15 ) que se lê : “3 vezes 5 igual a 15”, e recebe o nome de produto. Pode –se dizer que produto é a soma de parcelas iguais e a operação é a multiplicação . Então:

Multiplicar é somar parcelas iguais:

A parcela que se repete, chama-se multiplicando; o número de parcelas repetidas, multiplicador e o resultado, produto.

Não se pode falar em produto, se o multiplicador for 1 ou 0 . Entretanto , aceita-se que a multiplicação de qualquer número por 1 dá o próprio número e a multiplicação de qualquer número por zero dá zero.

Assim:

3 x 1 = 3; 3 x 0 = 0

Pode-se dizer que a multiplicação faz corresponder a dois números dados em certa ordem ( par ordenado ) um terceiro número que é o produto do primeiro pelo segundo.

Assim: ( 3 , 5 ) _______X________15

ao par ordenado ( 3, 5 ) , a multiplicação faz corresponder o número 15 qual é o produto de 3 por 5.

Propriedade estruturais:

a) Fechamento : O produto de dois números naturais é sempre um número natural.

2 ∈ N, 5 ∈ N ⇒ 2 x 5 ∈ N

b) Comutativa : A ordem dos fatores não altera o produto.

c) Elemento neutro: O numero 1 multiplicado por qualquer número e em qualquer ordem, dá por produto aquele mesmo número.

5 x 1 = 1 x 5 = 5

d) Associativa: Numa multiplicação de três fatores , podem-se associar os dois primeiros ou os dois últimos, indiferentemente .

Atenção! Se um produto de três ou mais fatores um deles é zero, o produto é igual a zero:

3 x 3 x 5 = 0 ; 8 x 12 x 0 x 7 = 0

e) Distributiva da multiplicação em relação à adição ( ou subtração ):

O produto de um número por uma soma ( ou diferença ) pode ser obtido, multiplicando –se o número por cada um dos termos da soma ( ou diferença ) e adicionando-se ( ou subtraindo –se ) os produtos parciais. Assim:

2 Número Natural:

Não levando em conta a qualidade dos elementos que constituem os conjuntos que estão em correspondência biunívoca, verificamos que eles possuem uma propriedade comum, a quantidade de elementos ou o número de elementos.

A propriedade comum aos conjuntos que podem ser colocados em correspondência biunívoca é o que chamamos de número natural.

Os números naturais constituem um conjunto denominado conjunto dos números naturais . indica-se pela letra N

N = { 0, 1 ,2, 3 , 4 . . . }

N* = { 1 , 2 , 3 , 4 , 5 . . . } é o conjunto dos números naturais excluído o 0.

Adição:

A reunião de dois conjuntos A e B disjuntos ( sem elementos comuns ) é constituída pelos elementos que pertencem a A ou a B.

Sejam :

n(A) = 6 – número de elementos do conjunto A

n(B) = 5 – número de elementos do conjunto B

Daí resulta:

n(A U B ) = 11 número de elementos do conjunto reunião.

Vemos que : n(A) + n(B) = n (A U B ou 6 + 5 = 11

A operação que fizemos chama-se adição, 6 e 5 são as parcelas e o resultado da operação , 11 , é a soma.

A adição faz corresponder a dois números dados em certa ordem (par ordenado) um único número que é a soma do primeiro com o segundo.

3 Máximo Divisor Comum:

Consideremos os conjuntos dos divisores, respectivamente, dos números 40 e 16.

D(40) = {1,2,4,5,8,10,20,40}

D(16) = {1,2,4,8,16}

Observando que D(40)∩D(16) = { 1,2,4,8}, podemos afirma que :

a) Os divisores comuns de 40 e 16 são 1,2,4,8.

b) O maior divisor comum de 40 e 16 é 8.

Então, o número 8 é chamado máximo divisor comum de 40 e 16, que será representado por mdc ( 40 , 16 ) = 8.

Daí podemos dizer que:

Dados dois ou mais números , não simultaneamente nulos, chama-se máximo divisor comum desses números o maior dos seus divisores comuns.

Técnicas para o cálculo do mdc:

Vamos determinar o máximo divisor comum de 60 e 24.

Á sabemos que:

D(60) = { 1,2,3,4,5,6,10,12,15,20,30,60}

D(24) = {1,2,3,4,6,8,12,24}

D (60) ∩ D (24 ) = {1,2,3,4,6,12}

mdc ( 60 , 24 ) = 12.

4 Mínimo Múltiplo Comum:

Consideremos os conjuntos dos múltiplos, respectivamente, dos números 6,8 e 12:

M(6) = { 0,6,12,18,24,30,36,42,48,54,60 . . . }

M(8) = {0,8,16,24,32,40,48,56,64 . . .}

M(12) = { 0,12,24,36,48,60 . . . }

Observando que M (6) ∩ M(8) ∩ M(12) = {0,24,48 . . .}, podemos afirmar que:

a) Os múltiplos comuns de 6,8 e 12 são 0,24,48 . . .

b) O menor múltiplo comum, diferente de zero, de 6 ,8, e 12 é 24.

Então , o número 24 é chamado mínimo múltiplo comum de 6,18 e 12 , que representaremos por mmc (6,8,12) = 24

Dados dois ou mais números, diferentes de zero, chama-se mínimo múltiplo comum desse números o menor de seus múltiplos comuns, diferente de zero.

Técnicas para o cálculo do mmc:

Podemos determinar o mmc de dois ou mais números diferentes de 0 pelo processo da decomposição em fatores primos, conforme a seguinte regra:

a) Decompõe-se cada número em fatores primos.

b) O mmc será o produto de todos os fatores comuns e não comuns, cada um deles elevados ao maior expoente.

A ideia de número fracionário Para exprimirmos o número de elementos de um conjunto finito, empregamos um só número natural.

Para expressarmos, matematicamente , uma parte ou algumas parte iguais de um todo, vamos usar um par ordenado de números naturais.

Chama-se fração todo par ordenado de números naturais com o segundo ≠ 0 onde:

a) o primeiro número indica quantas partes tomamos do inteiro.

b) O segundo número indica em quantas partes iguais o inteiro foi dividido.

5 Expressões literais ou algébricas:

Introdução:

Sabemos que podemos usar letra (a, b, c, x, y . . .) para representar números e que são denominados numerais literais.

Assim, observe as seguintes situações:

1ª situação: A figura abaixo nos mostra um retângulo cujas dimensões são 5 cm e 3 cm.

A medida do perímetro do retângulo é dada pela expressão 2.(5) + 2 .(3), que contém apenas números.

Expressões deste tipo são chamadas expressões numéricas.

2º situação: A figura abaixo nos mostra um retângulo cujas dimensões são x e y.

A medida do perímetro do retângulo é dada pela expressão 2.x + 2 . y, que contém números e letras.

Expressões deste tipo são chamadas expressões numéricas.

3º situação: A figura abaixo nos mostra um bloco retangular cujas dimensões são a, b, e c.

A medida do volume do bloco é dada pela expressão a . b . c que contém apenas letras.

Expressões deste tipo são chamadas expressões literais.

Expressões literal ou algébrica:

Uma expressão matemática que contém números e letra, ou somente letras, é denominada expressão literal ou algébrica.

As letras ( ou numerais literais ) representam, indistintamente, um número qualquer de um conjunto numérico é , por isso, são chamadas variáveis . Usaremos, daqui por diante, a expressão número a, em vez da expressão.

A expressão algébrica inteira e fracionária:

Expressões algébricas que apresentam variáveis no denominador são denominadas expressões algébricas fracionárias.

Expressões algébricas que não contêm variáveis no denominador são denominadas expressões algébrica inteiras.

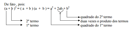
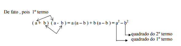
6 Produtos Notáveis:

Existem certas igualdades matemáticas, de uso freqüente no cálculo algébrico, que são denominadas produtos notáveis.

Os principais produtos notáveis são :

Regra:

O quadrado da soma de sois termos é igual ao quadrado do primeiro termo, mais duas vezes o produto do primeiro pelo segundo, mais o quadrado do segundo termos.

Exemplos 1) (2x + 5)2 = (2x)2 + 2 . (2x) . (5) + (5)2 = 4x2 + 20x + 25

Regra:

O quadrado da diferença de dois termos é igual ao quadrado do primeiro termo, menos duas vezes o produto do primeiro pelo segundo, mais o quadrado do segundo termo.

Exemplos: 1) ( 3x – 1)2 = (3x)2 – 2. (3x) (1) + (1)2 = 9x2 – 6x +1

Exemplos:

1) ( a + x )3 = (a)3 + 3(a)2 (x) + 3(a)(x)2 + (x)3 = ( 3 + 3a2 x + 3ax2 + x)

2) (y + 2)3 = (y)3 + 3(y)2 (2) + 3 (y)(2)2 = ( 3 + 6y2 + 12y + 8)

Exemplo : ( x – 3 )3 = (x)3 – 3(x)2 (3) + 3(x) (3)2 + x3 – 9x2 + 27x - 27

Regra:

O produto da soma de dois termos pela sua diferença é igual ao quadrado do primeiro termo menos o quadrado do segundo termo.

Exemplos: 1) ( x + 3 ) ( x - 3 ) = (x)2 - (3)2 = ( 2 - 9 )

7 Fatoração:

Introdução:

Consideremos os seguintes problemas:

1º) Escrever o número 90 na forma de um produto indicado. Para isso, decompomos 90 em fatores primos:

2º) Escrever a expressão 3 + 12 na forma de um produto indicado. Para isso, usamos a propriedade distributiva da multiplicação:

Assim, que escrevemos um número ou uma expressão na forma de um produto indicado, dizemos que estamos escrevendo o número ou a expressão na forma fatorada.

Fatorar um número u uma expressão significa decompor o número ou a expressão num produto indicado.

Fatoração de Polinômios:

Fatorar um polinômio significa transformar esse polinômio num produto indicado de polinômios ou de monômios e polinômios. Estudaremos os caso simples de fatoração de polinômios

1º Caso: Colocação de um fator comum em evidência:

Observe as seguintes situações: A figura abaixo nos mostra um retângulo cujas dimensões são x e y.

A figura seguinte nos mostra três retângulos: o retângulo ABCD, o retângulo AMND e o retângulo MBCN.

8 O conceito intuitivo de função:

O conceito de função é um dos mais importantes da matemática, tendo destaque não openas na maioria das teorias nela desenvolvida, mas também no nosso quotidiano. Por isso, vamos apresentar esse conceito primeiro informalmente, para depois formalizá-lo. Suponha que a tabela de preços a seguir corresponda às passagens do Metrô de São Paulo:

Observe que essa tabela fixa uma dependência entre o número de passagens e o preço a pagar.

Se chamarmos de x o número de passagens e de y o preço a pagar, esses duas grandezas estarão relacionadas de tal forma que para cada valor de x existe, um correspondência , um único calor de y, dado pela expressão y = 50x. Dizemos, então, que y é função de x.

Definição:

Dados dois conjuntos A e B, chama-se função de A em B qualquer relação entre tais conjuntos que faça corresponder , a cada elemento de A, um e um só elemento de B.

Indica-se a função de A em B com a notação. f: A → B ou A → B

Isto que dizer que existe uma lei f que leva os elementos de A aos elementos de B, de tal modo que :

• Todo elemento de A tem corresponde em B;

• Todo elemento de A tem um único correspondente em B.

A chama-se domínio da função e se indica D (F) = A.

B chama-se contradomínio da função e se indica CD (f) = B

Se x é um elemento de A e y é o seu correspondente em B, dizemos que y é a imagem de x obtida pela função f, indica-se y = f (y).

Y = f (y) lê-se “ y é igual a f de x”

O conjunto de todos os valores y assim obtidos chama-se conjunto imagem da função e se representa por Im (f).

Veja o esquema:

Exemplo: Seja A o conjunto dos naturais, B o conjunto dos naturais e f a lei que a cada natural de A faz corresponder o seu dobro em B .

9 A função do 1º grau:

Consideremos a seguinte função:

f: R → R

x → y = ax + b, com a e b reais e a ≠ 0

Observa-se que a expressão que define a função é ax + b , ou seja , um polinômio do 1º grau.

A essa função demos o nome de função do 1º grau ou função afim.

Raiz ou zero da função Y = ax + b

Dada a função y = ax + b, dizemos que x é uma raiz ou zero de y = ax + b quando e somente quando o valor corresponder de y é zero.

Valores e sinais da Função y = ax + b:

A função de R em R definida pela fórmula y = ax + b assume infinitos valores, quando x varia no campo real. É necessário, então , conhecer a variação desses valores.

Sinais de y = ax + b:

Seja, como exemplo, y = 3x – 6. Desejamos saber para quais valores de x teremos y maior que zero, ou , ainda para que valores de x teremos y menor que zero.

Sistemas de inequações do 1º grau com variáveis reais:

Sabemos que resolver um sistema de equações é determinar as soluções comuns às equações que compõem o sistema .

Da mesma maneira, resolver um sistema de inequações é determinar as soluções comuns às inequações do sistema . Mais explicitamente, podemos dizer que o conjunto - verdade de um sistema de inequações é o conjunto intersecção dos conjuntos soluções de cada uma das inequações .

Sistemas de inequações com uma variável real:

Para resolver os sistemas de inequações com uma variável R, procedemos da seguinte maneira:

• Resolvermos cada uma das inequações;

• Determinamos a solução comum às inequações.

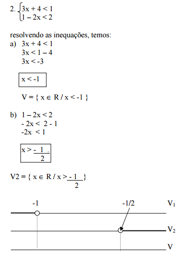
Exemplos: Resolvamos , em R os seguintes sistemas:

Resolvendo as duas inequações, temos:

O conjunto – verdade do sistema, V = V1 ∩ V2, pode ser determinado de maneira prática através da representação gráfica de V1 e de V2, sendo verificada , a seguir , a sua intersecção .

Observação :

Como estamos trabalhando com uma única variável em R , a solução do sistema é um subconjunto da reta.

A razão de duas grandezas é o quociente dos números que medem essas grandezas numa mesma unidade.

Razões equivalentes:

Proporções:

10 Regra de três simples:

“Bianca comprou 3 camisetas e pagou $ 1200,00. Quanto pagaria se comprasse 5 camisetas do mesmo tipo e preço ?” Observe que estão relacionados dois valores da grandeza camisetas com dois valores da grandeza preço. Vamos organizar esses dados numa tabela:

Note que nessa tabela conhecemos três de seus elementos e procuramos o valor do quarto. Problemas desse tipo são chamados de problemas de regra de três simples. Veja que as grandezas camisetas e preço são diretamente proporcionais; assim, podemos escrever o proporção:

Logo, Bianca pagaria $ 2.000,00 pelas cinco camisetas. Podemos estabelecer um processo prático que facilite a resolução de problemas desse tipo. Acompanhe essas etapas nos problemas resolvidos a seguir.

Com velocidade média de 500 km por hora, uma avião percorre uma distância entre duas cidades em 3 horas. Que tempo levaria uma aeronave que desenvolve 800 Km por hora de velocidade média para percorrer o mesmo espaço?

• Organizam-se os dados:

• As grandezas velocidade e tempo são inversamente proporcionais. Assim, as flechas terão sentidos discordantes:

• Escreve-se a proporção ,invertendo-se os termos de umas das razões ; calcula-se o valor da incógnita.

Logo, a aeronave levaria 1 h 52 mim 30 Seg para percorrer o mesmo espaço.

11 Taxa de porcentagem:

Considere o seguinte anúncio de jornal: “ Vendem-se tênis: desconto de 50%”.

Observe que neste anúncio aparece a expressão 50%, que se lê cinqüenta por cento, e pode ser indicada por 50 em 100 ou 50/100.

A expressão “50% de desconto” pode ser entendida como um desconto de $ 50,00 em cada $ 100,00 do preço de uma mercadoria.

As expressões 18% e 40% podem ser indicadas na forma de fração, por 18 e 40 , respectivamente. Como essa frações possuem denominadores iguais a 100, são denominadas frações centesimais.

Os numerais 40% e 18% são taxas centesimais ou taxas de porcentagens, pois expressam a razão que existe uma grandeza e 100 elementos do universo dessa grandeza .

Cálculo da taxa de porcentagem:

O cálculo da taxa de porcentagem pode ser realizado utilizando-se uma regra de três simples. Vejamos algumas situações onde esse cálculo é utilizado.

Situação:

Depositando –se $ 60,00 numa caderneta de poupança , ao final de um mês obtêm-se $ 75,00. Vamos calcular a taxa de porcentagem desse rendimento :

• $ 60,00 é a quantia principal do problema ;

• $ 15,00 é o rendimento obtido no período.

Organizamos uma regra de três simples, onde:

• $ 60,00 correspondem a 100% investidos;

• $ 15,00 correspondem a x% do que foi investido.

Essa regra de três simples é direta:

Portanto, a taxa de rendimento foi de 25% .

12 Juros simples:

Considere a seguinte situação :

“ A importância de $ 100 000,00 foi emprestado por um Banco ao cliente Epaminondas da Silva. O Banco cobrará do cliente 10% e juros mensal. Quanto será cobrado?

Vamos denominar e convencionar uma representação para cada deado do problema:

• O dinheiro emprestado, $ 100 000,00, chama-se quantia principal. Representa-se por C.

• A retribuição periódica pela cessão do dinheiro, eu corresponde à quantia que será cobrada pelo Banco, é o aluguel que se paga em cada período. Recebe o nome de juro e representa-se por j.

• A taxa de juro , 10% é a taxa que funciona como o aluguel que o cliente pata por 100 unidades de dinheiro que o Banco lhe empresta; representa-se por i.

• A referência de tempo. Um mês em que o dinheiro ficou aplicado, representa-se por t.

Problemas desse tipo podem ser resolvidos utilizando-se uma regra de três. Vamos estabelecer um problema genérico e obter uma formula que permite obter a solução de problemas semelhantes.

“Quem aplica $ 100,00 à taxa de 1% ao período ( ano, ou mês, ou dia etc.) recebe no fim do período $ 1,00 de juros. Se aplicasse um capital C à taxa i ao período, então receberia o juros j”.

Monta-se uma regra de três composta:

Como são grandezas diretamente proporcionais em relação à grandeza juro, podemos escrever:

Vamos calcular o juros pago por uma pessoa que tomou emprestada quantia de $ 50 000,00,durante 8 meses, a uma taxa de 1,2% ao mês:

Foram pagos $ 4 800,00 de juro.

Vamos, agora , determinar a quantia que deve ser aplicada por uma pessoa a uma taxa de 6% ao ano, para que após 2 anos receba $ 18 000,00 de juro.

Dados:

A quantia que deve ser aplicada é de $ 150 000,00.

13 Ângulos congruentes:

Vamos considerar os ângulos. A, B e C a seguir , e determinar as suas medidas utilizando um transferidor :

A partir dessas medidas, podemos concluir que:

med (A) = med (C)

med (A) ≠ med (B)

med (B) ≠ med (C)

Diremos, então:

Ângulos congruente são aqueles que têm a mesma medida.

14 Equações do 2º Grau Parte 1:

Há cerca de 4000 anos os babilônios já resolviam problemas envolvendo cálculos que hoje conhecemos como equação do 2º grau.

Estes problemas eram escritos em forma de textos e a sua resolução era através de tentativas.

Ao longo dos séculos foram aparecendo vários métodos para sua resolução.

Hoje, as contribuições deixadas pelos matemáticos nos facilitou tanto na escrita como nas técnicas de resolução de problemas do 2º grau.

Observe as seguintes situações:

Situação 1:

A dimensões de um terreno estão representadas na figura abaixo. A área desse terreno é 30 m2 .Quanto ele mede de comprimento e largura?

Sendo o terreno de forma retangular , podemos expressar sua área como : o produto do comprimento pela largura.

Assim A = ( x – 2 ) ( x – 3 )

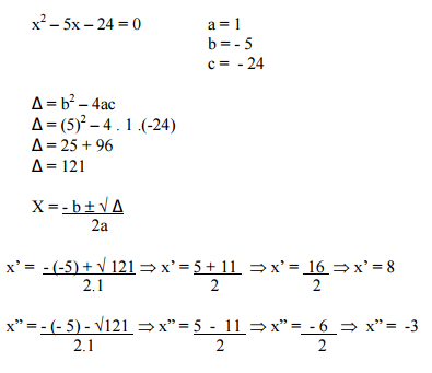
Voltando à equação x2 – 5x – 24 = 0

• O coeficiente a é representado por 1

• O coeficiente b é representado por –5

• O coeficiente c é representado por –24

Para se encontrar a medida do comprimento e da largura do terreno da situação 1 é necessário resolver essa equação do 2º grau.

Resolução da equação do 2º grau.

Resolver uma equação do 2º grau significa determinar as suas raízes .

Raiz de uma equação é o número real que ao substituir a variável de uma equação transforma-a, numa sentença verdadeira.

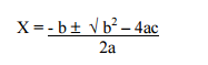
Podemos resolver a equação do 2º grau através da fórmula de Baskara:

A expressão b2 – 4ac (nº real ) é comumente representada pela letra grega ∆ ( delta ) e chamada de discriminante da equação.

Vamos resolver a equação do problema da situação – 1

As raízes dessa equação são:

x' = 8 e x” = - 3

As dimensões do terreno da situação 1 são :

• Comprimento x - 2

• Largura x – 3

Substituindo x por 8 temos:

• Comprimento 8 – 2 = 6

• Largura 8 – 3 = 5

15 Equações Do 2º Grau Parte 2:

Substituindo x por -3 temos:

• Comprimento - 3 – 2 = -5

• Largura - 3 – 3 = -6

Como não há comprimento e largura menores que zero, concluímos que as dimensões do terreno são 5m por 6 m.

Situação 2:

Quanto mede o cateto menor do triângulo retângulo abaixo?

No triângulo retângulo, o quadrado da hipotenusa é igual a soma do quadrado dos catetos.

Assim :102 = 82 + ( x – 6 )2

Efetuando os cálculos algébricos temos :

100 = 64 + x2 - 12x + 36

x2 – 12x = 100 - 64 – 36

x2 – 12x = 0

Comparando essa equação a forma da equação do 2º grau ax 2 + bx + c = 0 , o que você observar?

Se você respondeu que falta o termo c está correto.

16 Comprimento da Circunferência:

Se você fosse colocar renda em volta de uma toalha de mesa. Redonda, com as medidas representadas no desenho abaixo. Quantos metros de renda seriam necessários ?

Suponha que o círculo abaixo tem um barbante ajustado em sua volta. Se cortarmos o barbante no ponto marcado e esticá-lo, como mostra a figura, termos o comprimento do contorno do ao círculo ou comprimento da circunferência.

Após a realização de várias experiências, ficou provado que ,em qualquer circunferência, a divisão do comprimento da circunferência pela mediada do diâmetro, sempre dá o mesmo resultado.

Esse quociente de representação decimal infinita e não periódica: 3,14159262... Chama-se pi, cujo símbolo é π

Para achar o comprimento da circunferência, basta multiplicar o diâmetro pelo π ou seja, C = d . π ( C = comprimento da circunferência, d = diâmetro ) .

Como o diâmetro é o dobro do raio, podemos também representar o comprimento da circunferência em função do raio .

Agora, podemos calcular a metragem de renda da toalha da situação anterior, multiplicando o diâmetro por π

Portanto, gastaria 12,56 m de renda nessa toalha.

17 Relações Métricas no Triângulo Retângulo Parte 1:

Teorema de Pitágoras:

Como você deve saber, antes de fazer uma construção e necessário planejá-la . Esse planejamento é feito através de um modelo esboçado no papel. A esse modelo damos o nome de planta baixa.

Todos os cálculos da construção de uma casa, de um prédio, de um viaduto, dentre outras, são feitas tendo como base os dados contidos numa planta, que tem como referência as formas e dimensão da realidade.

Vamos verificar, num exemplo, como isso ocorre.

Observe a planta baixa que seu Nilo fez para construir a casa de seu filho:

A planta está na escala de 1:100. Mas o que significa 1:100?

Essa notação significa que a planta foi desenhada na escala 1 por 100, ou seja , para cada 1 cm desenhado no papal, corresponde a 100 cm ou 1m, na realidade .

Vamos estudar agora , umas questão referente as construções de maneira geral.

Voltando a observar a planta do quarto 2, cujas dimensões na realidade , são 4m de comprimento por 3m de largura.

O problema é saber se as paredes construídas “estão ou não no esquadro”, ou se os “cantos” formam um ângulo 90.

Esse problema é muito comum para os trabalhadores da construção civil, que têm uma maneira própria para resolvê-lo.

Vamos supor que o pedreiro de seu Nilo vai examinar se as paredes do quarto 2, da casa de seu filho, foram construídas no esquadro. Para isso, ele estica um fio entre duas estacas cravadas no chão, junto ao comprimento ou a largura das paredes do quarto; no caso, no comprimento. Observe, na figura abaixo, que o fio que liga as pontas A e B têm a mesma medida do comprimento da parede, 4m.

Usando sua experiência. O pedreiro deverá cravar a 3ª estaca num ponto “c’ de modo que “AC” fique perpendicular a “AB”. No caso, a distância entre as estacas situadas nos pontos A e C deverão ter uma distância equivalente a 3 m ( largura do quarto) . A estaca “C” é provisória.

A seguir, mede a distância “BC”.

Se essa medida for equivalente a 5 m, ele garante que a parede está no esquadro, se não , movimentará a estaca “C” até dar 5m.

Você sabe porque o pedreiro forma, com as estacas , um triângulo retângulo de lados 3 m , 4 m , 5 m para saber se as paredes estão ou não no esquadro?

Se med (Â) = med (Â’), então indica-se  = Â’, que se lê: ângulo A é congruente ao ângulo A’ Também se pode entender de modo mais intuitivo que os ângulos congruentes são aqueles que coincidem por superposição.

Superposição de AÔB e A’Ô’B’:

AÔB é congruente a A’Ô’B’ porque coincidem ponto a ponto por superposição. Para superpor uma figura à outra, basta desenhar uma delas em papel vegetal ou de seda. A superposição mostrará a congruência ou a igualdade das medidas.

Ângulo raso e ângulo nulo:

Vamos considerar a reta r e os pontos, O, A e B pertencentes a essa reta:

Observe que o ponto O divide a reta r em duas semi-retas opostas: AO e OB . Essas duas semi-retas opostas dividem o plano que as contém em duas regiões:

Convenciona-se que cada uma dessas regiões será denominada ângulo raso. Assim, AÔB é um ângulo raso, onde:

• OA e OB são os lados;

• é o vértice

• AÔB mede 180º

Agora , vamos considera uma reta s e os pontos O, A e B pertencentes a s:

Observe que as semi-retas OA e OB são coincidentes:

Convenciona-se que o ângulo AÔB é um ângulo nulo, onde:

• OA e OB são os lados;

• O é o vértice;

• AÔB mede 0º .

18 Relações Métricas No Triângulo Retângulo Parte 2:

Ângulos consecutivos e ângulos adjacentes:

Vamos considerar os pares de ângulos a seguir:

Observe que esses pares de ângulos têm entre si uma relação, pois em função da posição relativa que ocupam possuem certos elementos comuns:

Esse pares de ângulos assinalados são chamados ângulos consecutivos, e todos têm o mesmo vértice e um lado comum.

Ângulos consecutivos são aqueles que têm o mesmo vértice e um lado comum.

Observe os seguintes pares de ângulos consecutivos:

Retas perpendiculares e ângulos retos:

Vamos considerar as retas das figuras a seguir :

Observe que, nos dois casos , as retas se encontram formando quatro ângulos adjacentes congruentes, ou de medidas iguais . Quando isto ocorre, chamamos as retas de perpendiculares, indica-se AB ⊥ CD, r ⊥ s e representa-se :

Cada um dos ângulos formados pelo encontro de duas retas perpendiculares recebe o nome de ângulo reto e mede 90º. Veja os ângulos formados pelas retas e pelas semi-retas perpendiculares a seguir:

Assim:

Chama-se ângulo reto aquele formado por retas perpendiculares.

Ângulos agudos e ângulos obtusos:

Vamos comparar um ângulo qualquer com o ângulo reto, e a partir dessa comparação estabelecer uma classificação para ângulos:

Note que o ângulo AÔB é menor que o ângulo reto e que o ângulo QPR é maior que o ângulo reto.

Chama-se agudo ao ângulo que for menor que o ângulo reto e obtuso ao que for maior que o ângulos reto.

Assim, podemos afirmar que a medida de um ângulo agudo está entre 0º e 90º e a medida de um ângulo obtuso, entre 90º e 180º.

Ângulos complementares:

Vamos considerar semi-retas perpendiculares OA e OB e os ângulos AOC e COB da figura a seguir:

Note que AOB é um ângulo reto; logo a soma de AOC e COB é igual a 90º. Quando isto ocorre , dizemos que AOC e COB são ângulos complementares. Assim:

Dois ângulos são complementares quando a soma de suas medidas for igual a 90º

Dados dois ângulos cuja soma das medidas é 90º, chamamos cada um deles de complemento do outro.

Assim, se x é a medida em graus de um ângulo, então 90º -x é a medida em graus do complemento desse ângulo.

Vamos calcular o complemento do ângulo que mede ∝ = 30º 20’15”.

• Complemento do ângulo: x = 90º - ∝

Logo , o complemento de ∝ mede 59º39’45”.

Ângulos suplementares:

Vamos considerar as semi-retas opostas OA e OB e os ângulos AOB e COB de figura a seguir:

Note que AÔB é um ângulo raso; logo, a soma de AÔC e CÔB é igual a 180º . Quando isto ocorre , dizemos que AÔC e CÔB são ângulos suplementares.

Assim:

Dois ângulos são suplementares quando a soma de suas medidas é igual a 180º

Dados dois ângulos cuja soma das medidas é 180º, chamamos cada um deles de suplemento do outro. Assim, se x e a medida em graus de um ângulo, então 180- x é a medida em graus do suplemento desse ângulo, então Vamos calcular o suplemento do ângulo que mede ∝ = 30º20’15”.

• Suplemento do ângulo : x = 180º - ∝

Logo , o suplemento de ∝ mede 149º39’45”.

Ângulo opostos pelo vértice:

Considere o ângulo AÔB da figura a seguir :

Vamos prolongar os seus lados da seguinte forma:

19 Relações Métricas No Triângulo Retângulo Parte 3:

Observe que agora formamos o ângulo A’ÔB’, cujos lados são semi-retas opostas ao lados do ângulo AÔB. Ângulos assim construídos são chamados opostos pelo vértice.

Assim:

Dois ângulos são opostos pelo vértice ( o.p.v) quando os lados de um são semi-retas opostas aos lados do outro.

Comparando as igualdades I e II, temos: a = b

Dois ângulos opostos pelo vértice ( o.p.v) são sempre congruentes.

3º Polígonos:

Vamos considera as figuras planas a seguir:

Observe que estas figuras identificam uma linha poligonal fechada e o conjunto dos seus pontos interiores. Cada uma delas é denominada polígono.

Chama-se polígono à reunião entre uma linha poligonal fechada e o conjunto dos seus pontos interiores .

Um polígono pode ser chamado de convexo ou convexo ou côncavo, de acordo com a região do plano que estiver sendo determinada pelo polígono. Assim:

Considere o polígono convexo ABCDEF a seguir:

Vamos identificar alguns de seus elementos ;

• Vértices : os pontos A, B, C, D, E e F.

• Lados: os segmentos AB , BC, . . . , FA.

• Ângulos internos: os ângulos FAB, ABC, . . . , EFA

• Diagonais : os segmentos determinados por dois vértices não consecutivos AC, AD, . . . , FD.

Note que, no polígono convexo ABCDEF, o número de vértices é igual ao número de lados , que é igual ao número de ângulos internos.

Classificação dos polígonos:

Os nomes dos polígonos dependem do critério que estamos utilizando para classificar – lo . Se usarmos o número de ângulos ou o número de lados, teremos a seguinte nomenclatura:

Um outro para classificar um polígono é o da congruência de seus lados e de seus ângulos internos. Vamos comparar os lados e os ângulos internos dos polígonos:

Observe que o polígono MNOPQ tem os lados de medidas iguais e tem também os ângulos internos de medidas iguais, MNOPQ é um polígono regular, enquanto que o ABCDE é um polígono irregular. Assim:

Um polígono é regular se obedece a duas condições:

Equilátero : todos os lados são congruentes, isto é, têm medidas iguais.

Equiângulo: todos os ângulos são congruentes, ou seja, têm medidas iguais.

Triângulos: elementos e classificação:

Todo polígono de três é denominado triângulo. Observe o triângulo ABC a seguir, que se indica ∆ABC, e vamos identificar seus principais elementos:

Note que no triângulo não é possível traçar diagonais, pois não há vértices não consecutivos. É possível classificar ou discriminar os triângulos pela comparação entre as medidas de seus lados ou, também , quanto à medida de seus ângulos internos.

Esse triângulo são classificados , respectivamente , em equilátero, isósceles e escaleno. Assim , podemos definir:

Triângulo equilátero : Triângulo que tem três lados de medidas iguais.

Triângulo isósceles: triângulo que tem dois lados de medidas iguais.

Triângulo escaleno: triângulo que tem três lados de medidas diferentes.

20 Relações Métricas No Triângulo Retângulo Parte 4:

Soma dos ângulos internos de um triângulo:

Observe os triângulos a seguir e seus ângulos internos:

Podemos calcular a soma dos ângulos internos em cada triângulo . Vamos transportar esses ângulos para um vértice comum, interno ou externo aos triângulos.

Chamando a à medida de A, b à medida de B, e assim por diante, temos para os dois triângulo: a + b + c = 1 ângulo raso a’ + b’ + c’ = 1 ângulo raso

Assim, para os triângulos ABC e A’B’C’ a soma das medidas de seus ângulos internos é constante e mede 180º.

O processo de determinação da soma dos ângulos internos pode ser aplicado a qualquer triângulo, e a conclusão generalizada é :

A soma das medidas dos ângulos internos de um triângulo é 180º