Introdução á manutenção centrada na confiabilidade

Planejamento e Controle da Manutenção (PCM)

1 Introdução á manutenção centrada na confiabilidade

Introdução

Um mercado imobiliário altamente competitivo, e em plena fase crescente de obras civis em geral - muito em função aos variados eventos de grande proporção. 

Esta necessidade se faz em todos os pontos e fases de uma obra de construção civil, indo desde o aço aplicado nas estruturas metálicas e em armaduras, passando pelo concreto para fabricação de estruturas bases e pré-moldados, ao final, com os diversos itens de acabamento e finalização (ladrilhos, ferragens, cerâmicas, etc.). O concreto é o mais crítico no que se diz a necessidade e disponibilidade, já que este material é de suma importância, e é, sem sombra de dúvidas, a base fundamental em obras de construção civil em geral (construções hidráulicas, pavimentação, edificações, etc.).

A manutenção, setor este de grande influência e de grande importância frente aos processos de produção em geral, torna-se um aliado fiel à disponibilidade operacional, se posicionando como uma área chave na gestão industrial, e assim por dizer, um coadjuvante na gestão e planejamento da produção.

Manutenção esta que já fora considerada apenas um setor de apoio, uma área auxiliar na cadeia produtiva, hoje passa a ser vista como uma ferramenta poderosa na estratégia corporativa, contribuindo efetivamente na redução de custos produtivos, garantia da disponibilidade operacional, aumento da confiabilidade de processo, e ainda na conferência e manutenção da política da qualidade total (no fator maquinário e recursos).

A manutenção industrial hoje passa a ter um papel de importância incomparável , e com um desafio nato: aliar custo relativamente baixo com máximo desempenho, sempre com o foco os esforços na máxima operacionalização dos equipamentos. Uma garantia ao processo, de plena disponibilidade operacional, e previsibilidade orçamentaria e de intervenção.

Vendo esta necessidade deparada por estas empresas de construção civil e mineração, e do apelo do mercado ao atendimento de sua demanda, a Manutenção Centrada na Confiabilidade, ferramenta esta, de consagrada e comprovada reputação, com resultados satisfatoriamente comprovados em industrias de processo em geral, e em variadas áreas fabris, passa a ser considerada uma ferramenta de grande aplicabilidade, mesmo para equipamentos móveis, neste tipo de industrias.

E como foi visto por Lucatelli & Ojeda (s/d), a adoção dos preceitos da MCC tem revertido em variados benefícios, que, de forma genérica, tem resultado no aumento da disponibilidade dos itens físicos, da segurança, tanto ambiental como de operadores, além  de uma redução significativa de estoques de peças sobressalentes e do número de horas trabalhadas.

Manutenção centrada na confiabilidade (MCC)

A confiabilidade pode ser entendida como a probabilidade de um equipamento, conjunto ou uma peça, desempenhar adequadamente o seu propósito ora projetado, e devidamente especificado, por um certo período de tempo e sob condições ambientais pré-determinadas.

A confiabilidade de um item pode ser descrita matematicamente como a probabilidade do mesmo cumprir sua função com sucesso, podendo assumir valores entre zero e um, e podendo ser calculada por axiomas da probabilidade. A confiabilidade de um determinado equipamento, ou um conjunto, ou ainda uma determinada peça, está diretamente relacionada com:

a) A saúde e condição do referido item;

b) O meio que se insere;

c) A atividade fim desempenhada;

d) Parte integrante junto ao processo;

e) Regime operacional.

Definição da Manutenção Centrada na Confiabilidade (MCC)

A manutenção centrada na confiabilidade (MCC), ou ainda como conhecido em inglês também, o Reability Centered Maintenance (RCM), é uma técnica de gerenciamento da manutenção, que atua desde o planejamento e controle á engenharia de manutenção, que na simples tradução para o português baseada na exploração e investigação de falhas potencias de máquinas, conjuntos e sistemas, com as corretas tratativas, corretivas ou preventivas, de modo a atenuar ou anular os efeitos e impactos por estas ocorridas.

Já segundo Seixas (s/d), o RCM pode ser definido como um método estruturado que estabelece a melhor estratégia de manutenção para um dado equipamento. Esta começa identificando a funcionalidade ou desempenho requerido pelo equipamento no seu contexto operacional, identificando os modos de falha e as causas prováveis e então detalha os efeitos e consequências da falha.

Isto nos deixa avaliar a criticidade das falhas e onde podemos identificar as consequências significativas que afetam a segurança, a disponibilidade ou custo. A metodologia nos permite selecionar as tarefas adequadas de manutenção direcionadas para os modos de falha que foram identificados.

O objetivo de se implantar o Reability Centered Maintenance (RCM), ou Manutenção Centrada na Confiabilidade (MCC), é trazer ao referido equipamento, conjunto ou item peça, as melhores práticas e condições técnicas para se planejar e gerir as funções dos ativos e a consequência de suas falhas, ou seja, o foco do programa são as funções mais importantes do equipamento e o que os usuários esperam que ele faça.

A manutenção passa então por uma transição efetiva, e para combater os altos custos passou-se a planejar e controlar as atividades de manutenção a fim de aumentar a vida útil dos equipamentos e garantir a confiabilidade e a segurança operacional.

Sob uma análise de Oliveira, Maciel & Semitan (2008), Reability Centered Maintenance (RCM), ou MCC, pode ser encarado como uma estratégia não só para redução de custos ou aumento da disponibilidade operacional, mas ainda para alcançar a excelência na manutenção, e alcançar um patamar de destaque frente a outras empresas:

“E para alcançar o que chamamos de WCM (World Class Maintenance) - manutenção de classe mundial, faz-se necessário a melhoria dos processos de manutenção ora adotados, não de forma relativa, mas fazendo com que as etapas adotadas como preventivas sejam revitalizadas por meio do uso da técnica de RCM (Reability Centered Maintenance)”.

E sob a ótica de definição de Oliveira, Maciel & Semitan (2008), uma das características do RCM (ou MCC) é criar um método estruturado para selecionar as atividades de manutenção para qualquer processo produtivo. Este método estruturado, como citado, é gerado por um conjunto de passos bem definidos, os quais precisam ser seguidos de maneira sequencial para responder às questões formuladas pela RCM (ou MCC) e garantir os resultados desejados.

Figura 1. Componentes de um Programa de RCM

Implantando a Manutenção Centrada na Confiabilidade (MCC)

Segundo Seixas (s/d), as estratégias de manutenção em vez de serem aplicadas independentemente são integradas para tirar vantagem de seus pontos fortes de modo a melhor a operacionalidade e eficiência da instalação e dos equipamentos, enquanto minimizamos o custo do ciclo de vida.

Sobre a implantação da metodologia MCC, Souza & Marçal (2009) diz que:

“O estudo analítico da Manutenção Centrada em Confiabilidade pode ser entendido como uma sequência de fases, mas são interativas já que, à medida que o processo ou serviço avança a equipe adquiri mais experiências e pode visualizar melhor as funções e corrigirá o processo ou serviço fazendo as devidas modificações, eliminação ou até acumular mais segurança. Essencialmente, a Manutenção Centrada em Confiabilidade pode ser exposta de uma forma bem simples enfatizando os seus quatro elementos que a caracterizam da prática tradicional, que são:

a) Preservação da função do sistema;

b) Identificação das falhas funcionais e dos modos de falha dominantes;

c) Priorização das falhas funcionais de acordo com suas consequências;

d) Seleção de atividades de manutenção aplicáveis e de custoeficiente favoráveis, por meio de um diagrama de decisão”.

Sendo ainda de maior importância ressaltar que a implantação do MCC, nas fases mais importantes e de difícil exequilidade, o processo pode ser simplificado pela implementação de ferramentas especificas, para registro e análise dos dados, registrando ainda e um, o processo de análise da MCC pode ser semi-automatizado as fases, conduzi-las na sequência correta, propor soluções e decisões e automatizar os cálculos necessários.

Figura 2. Fases na aplicação da Manutenção Centrada em Confiabilidade.

Para se implantar o MCC, se faz necessário o seguimento de 8 (oito) etapas, também denominados de passos. Conforme Alas (2012), estas etapas (ou passos) podem ser classificados na seguinte ordem:

1) Etapa 1 – Conhecer o sistema;

2) Etapa 2 – Destacar (identificar) as funções do sistema;

3) Etapa 3 – Para cada função, relacionar as possíveis falhas;

4) Etapa 4 – Para cada falha, avaliar os modos de falha, os efeitos e consequências;

5) Etapa 5 – Relacionar as possíveis atividades de manutenção;

6) Etapa 6 – Definir a periodicidade das atividades;

7) Etapa 7 – Avaliar a efetividade das atividades;

8) Etapa 8 – Estabelecer um plano global de manutenção.

Conforme estudado por especialistas, a manutenção centrada na confiabilidade tem por princípio agregar conceitos diferentes, adaptados de modelos anteriores e clássicos, aos novos modelos no ambiente da manutenção .

2 Os tipos de manutenções

Existem várias práticas e tipos de manutenção no mercado que são aplicadas em variados propósitos e objetivos. Existem casos em que determinado tipo, como a preventiva é mais recomendada e eficiente do que a manutenção centrada na confiabilidade, por exemplo. Para entender melhor a diferença entre elas, veja o artigo a seguir.

Manutenção preventiva

A manutenção preventiva é aquele que é efetuada em intervalor pré-determinado, ou com algum critério prescrito, designado a reduzir a probabilidade de falha ou funcionamento de um determinado item.

São as operações realizadas de maneira prévia, para evitar que os equipamentos falhem no processo de produção. Inspeções, limpezas e lubrificação são algumas das maneiras de prevenir as falhas, sendo assim, são manutenções preventivas. A manutenção preventiva é feita seguindo um plano de manutenção. Como por exemplo, podemos dizer:

  • A lubrificação de uma cadeira de laminação a cada 6 horas; 
  • A aferição sistemática de equipamentos de medição; 
  • Planos de inspeção de equipamentos;
  • Entre outros.

O objetivo principal desse modelo de manutenção é o aumento da disponibilidade e confiabilidade de um equipamento. 

A maior vantagem desse plano de manutenção preventiva é poder prevenir todas essas situações, substituindo antecipadamente os componentes usados, preservando e restaurando todas as peças que forem necessárias.

Manutenção Centrada na Confiabilidade

A manutenção centrada na confiabilidade, tem como objetivo identificar o desempenho que é requerido pelo equipamento em seu contexto operacional. No início, se identifica os modos de falhas e suas possíveis causas, para assim conseguir detalhar os efeitos e as consequências dessa falha.

A confiabilidade do ativo se desenvolve a partir da probabilidade ou das chances de uma máquina ou equipamento trabalhar como se espera, em um determinado tempo, considerando as condições de uso que foram definidas.

O resultado que é buscado é o aumento da disponibilidade e por consequência o aumento da produção. A metodologia RCM, permite identificar quais são as decorrências no quesito da segurança, disponibilidade ou custo.

De forma geral, primeiramente, o principal objetivo da implementação da Manutenção Centrada na Confiabilidade em uma organização é o de aumentar a disponibilidade dos equipamentos e, por consequência, otimizar a produtividade.

No final, a manutenção centrada na confiabilidade cria ganhos significativos em outras áreas da companhia. Quando se excede a análise dos resultados após a implementação da metodologia, é possível notar, a médio e longo prazo:

  • Maior confiabilidade;
  • Maior segurança;
  • Melhoria na qualidade dos produtos;
  • Ausência de danos ao meio ambiente;
  • Maior custo eficaz (quando assegura-se, por meio de práticas acertadas de manutenção, que o capital investido tenha o melhor retorno).

Com as informações que falamos anteriormente, conseguimos entender, claramente, as diferenças entre os dois tipos de manutenção. Enquanto a primeira, manutenção preventiva, tem o foco na redução das probabilidades de falha ou funcionamento de um ativo, a manutenção centrada na confiabilidade tem um propósito diferente.

Ele tem o foco no aumento da produtividade por meio do aumento e potencialização da disponibilidade de equipamentos e ativos.

Qual é o melhor tipo de manutenção?

O melhor tipo de manutenção é aquele que se encaixa em seu modelo de gestão de manutenção, com a rotina da sua equipe, modelo de negócio e necessidades da empresa.

3 Modelos de funções de confiabilidade

A determinação da função confiabilidade é possível pela modelagem, por uma distribuição de probabilidade, dos tempos até a falha do objeto de estudo. A modelagem oferece outras informações importantes, tais como a probabilidade de sobrevivência até o tempo t, o tempo médio até a falha e a função risco h(t) do equipamento. Segundo Lewis (1996), distribuições de probabilidade são precisas para modelar o tempo até a falha, pois não se consegue conhecer e controlar todos os fatores ativos que o afeta.

Fogliatto e Ribeiro apontam as distribuições exponencial, Weibull, gamma e log-normal como as mais  comumente empregadas para descrever os tempos até a falha de equipamentos. Citam também a distribuição normal, mas consideram que a mesma é menos aplicada em estudos de confiabilidade. 

Ireson et at. (1996) citam as três funções e um parâmetro como importantes em estudos de confiabilidade: a função densidade de probabilidade de falha f(t), a função confiabilidade R(t), a função de risco h(t), e o tempo médio até a falha MTTF.

As distribuições gamma e de Weibull apresentam peculiaridades que interessam à gestão da manutenção. 

A distribuição gamma descreve sistemas que operam em paralelo. O tempo para a falha de um sistema que opera com componentes em paralelo, constituído por n componentes independentes, tal como bombas ou compressores, é o tempo total até que o último componente venha a falhar e segue uma distribuição gamma (DODSON e NOLAN, 2002).

A distribuição de Weibull é importante devido à sua flexibilidade, pois pode modelar comportamentos diferentes para a função de risco h(t) (risco crescente, decrescente ou constante).

A distribuição de Weibull é importante devido à sua flexibilidade, pois pode modelar comportamentos diferentes para a função de risco h(t) (risco crescente, decrescente ou constante). O valor de seu parâmetro de forma y define se o risco de falha do equipamento é crescente, decrescente ou constante.

Se y < 1, h(t) é decrescente; se y = 1, h(t) é constante; e se y > 1, h(t) é crescente. Outra característica relevante da distribuição de Weibull é que ela modela falhas de equipamentos sujeitos a n modos de falha em série: a falha ocorre quando o primeiro de n modos de falha, que competem entre si, se materializa.

Por fim, outras distribuições podem ser entendidas como casos particulares da distribuição de Weibull. Se y = 1, Weibull recai na exponencial; se y = 2, Weibull recai na distribuição de Rayleigh; se y = 2,5, Weibull tem comportamento semelhante à lognormal; se y = 3,2, Weibull tem comportamento semelhante à normal (LEWIS, 1996; KAPUR e LAMBERSON, 1977).

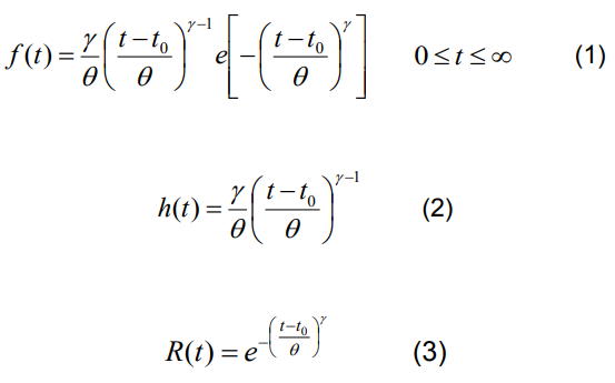
O modelo de confiabilidade baseado na distribuição de Weibull segue as expressões dadas pelas equações de (1) a (4).

Manutenibilidade e disponibilidade

A função manutenibilidade ou mantenabilidade está ligada ao esforço despendido na atividade de manutenção. O tempo médio de manutenção compreende o tempo para isolamento da falha, para o reparo e para os testes necessários para que a produção volte ao seu ritmo normal. Apesar de a eficiência da gestão de manutenção influenciar no tempo total gasto no reparo, a maior parte deste tempo é devida a decisões que foram tomadas na fase de projeto do equipamento.

A Norma NBR ISO 14224 conceitua a mantenabilidade como a probabilidade de que um item possa ser restaurado de volta a uma dada condição, dentro de um período de tempo determinado, quando a manutenção é efetuada por profissional que possui níveis de habilidade específicos e usando procedimentos e recursos prescritos.

As distribuições que mais usualmente descrevem a função mantenabilidade são a normal e a lognormal. Sellitto (2005) diz que a normal se ajusta a casos em que a tarefa é composta por uma sequência serial de n atividades.

Pelo teorema do limite central, quando n tende a infinito, a soma das n atividades tende a uma normal. Esta situação ocorre na desmontagem e remontagem de máquinas e na construção de infra-estrutura para a atividade. O autor também afirma que a lognormal se aplica quando a atividade requer mais estratégia e habilidades cognitivas, citando como justificativa a lei de Fletcher-Weber para atividades que envolvam inteligência.

Para este artigo interessa mais a lognormal.

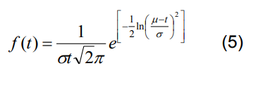
Se uma variável aleatória x é definida como x = ln t, então x é normalmente distribuída com uma média de µ e desvio padrão de σ. A função densidade de probabilidade da lognormal é mostrada em (5), onde t representa o tempo até o reparo, com média do logaritmo dos dados µ e desvio padrão do logaritmo dos dados σ .

A disponibilidade Av(t) é a probabilidade de que um equipamento esteja disponível no momento em que for requisitado para operar. A disponibilidade aumenta quando aumenta o intervalo entre falhas e aumenta quando diminui o tempo até o reparo. É possível demonstrar que a disponibilidade Av(t) depende do tempo médio entre falhas e do tempo médio até o reparo . Esta dependência é representada pela equação 6.

Estratégias de manutenção baseadas na função risco

A análise de Weibull pode ser entendida como um método estatístico que modela dados de falhas a uma distribuição específica de Weibull. Uma das possibilidades oferecidas pela análise é identificar se a falha é um evento prematuro, randômico ou ocasionada por desgaste, segundo o formato da função risco h(t).

Função risco h(t) decrescente aponta para eventos prematuros; h(t) constante aponta para eventos randômicos; e h(t) decrescente aponta para falhas por desgates. A viabilização deste tipo de análise depende de um histórico confiável de dados de intervenções de manutenção.

Um dos modos de visualizar a análise pela h(t) é usando a chamada curva da banheira, uma construção abstrata que apresenta as três fases de vida de componentes individuais. A cada período podem ser associados diferentes tipos de falha. Nem todos os tipos de equipamentos ou sistemas mostram todas as fases da curva como, por exemplo, um programa de computador que se enquadra como um sistema que possui somente a fase de mortalidade infantil (LAFRAIA, 2001). Sellitto (2005) associa a cada faixa do fator de forma uma fase da curva da banheira e uma estratégia de manutenção. A Figura 1 sintetiza a relação entre a curva da banheira e o fator de forma.

Figura 1 – Curva da banheira e ciclo de vida de equipamentos 

O primeiro período é a mortalidade infantil. Nesta região ocorrem falhas prematuras, tais como erros nos processos de fabricação, na instalação ou no uso de materiais. Uma estratégia para o período é a manutenção corretiva, na qual se descobrem e se eliminam as deficiências de projeto. A prática continuada da manutenção corretiva ou engenharia de manutenção permite que o equipamento evolua para a maturidade.

O período subsequente é a maturidade. Nesta, o equipamento apresenta taxa de falhas constante, causada por falhas casuais, tais como fator de segurança insuficiente ou erros humanos durante a operação. Sellitto relaciona a esta fase à estratégia de manutenção preditiva e a gestão de boas práticas de manutenção, tal como ocorre em ambiente TPM.

Se entende como manutenção preditiva aquela baseada em medições feitas continuamente ou em intervalos periódicos, fornecendo a tendência evolutiva dos equipamentos. Caso algum defeito seja detectado, é feito o diagnóstico e analisada a tendência e uma intervenção de manutenção é executada antes da data prevista para a falha.

O último período é chamado por Mahmood et al. (2011) de desgaste e por Sellitto (2005) de mortalidade senil do equipamento. Nesta fase, acontece aumento gradual na taxa de falhas, causado por envelhecimento, fadiga, degradação ou vida de projeto muito curta.

Os autores mostram como adequada para esta fase a estratégia de manutenção preventiva. Nesta, o equipamento é substituído ou reformado. Geralmente, a decisão preventiva se vale de inspeções sistemáticas e da condição atual do equipamento.

As tarefas são planejadas com base no tempo decorrido, no volume de produção acumulada, na quilometragem já percorrida ou no número de ciclos em máquinas rotativas (GARG e DESHMUKH, 2006).

Na manutenção preventiva, há redução do risco de paradas não programadas, mas também pode haver intervenções desnecessárias, acarretando custo mais alto de operação (MACCHI et al., 2012; MAHMOOD et al., 2011). Uma programação de intervenções preventivas pode ser útil, podendo o tempo parado ser compartilhado com outras atividades fabris, tais como trocas de ferramentas e treinamento de operadores .