Eletricista predial e residencial

Manutenção Predial

1 Geração da Energia Elétrica

A eletrostática é a área que estuda a eletricidade estática. Esta por sua vez, referiu-se as cargas armazenadas em um corpo, ou seja, a sua energia potencial.

Por outro lado, a eletrodinâmica estuda a eletricidade dinâmica que se refere ao movimento dos elétrons livres de um átomo para outro.

Para haver movimento dos elétrons livres de um corpo, é necessário aplicar nesse corpo uma tensão elétrica.

Essa tensão resulta na formação de um pólo com excesso de elétrons denominados pólos negativos e de outro com falta de elétrons denominados pólo positivo. Essa tensão é formada por uma fonte geradora de eletricidade.

A existência de tensão é fundamental para o funcionamento de todos os aparelhos elétricos. As formas geradoras são os meios pelos quais se pode fornecer a tensão necessária ao funcionamento desses consumidores.

Estas fontes geram energia elétrica de varias formas.

Por ação térmica;

Por ação dos ventos;

Por ação mecânica;

Por ação química;

Por ação magnética;

2 Eletrotécnica para Instalações Elétricas

A presente Apostila visa passar informações aos leitores a respeito de:
Leis que regem os circuitos elétricos e componentes empregadas em instalações elétricas residências e prediais, também com o intuito de capacitar os participantes do curso, para executar instalações elétricas, e como também a sua manutenção corretiva e preventiva.
Em nosso dia-dia utilizamos diversas formas de energia desde o instante que levantamos, tomamos um banho quente, assamos o pão na torradeira, passamos a roupa, ligamos uma TV em fim estamos rodeados de aparelhos eletroeletrônicos e estamos usando constantemente uma forma de energia que é essencial para as atividades no planeta, que tipo de energia estamos falando? Se você pensou em energia elétrica acertou.
A eletricidade se manifesta de diversas formas através de um efeito magnético, térmicos, luminosos, químicos e fisiológicos, como por exemplo: o aquecimento de uma resistência para esquentar a chapa de um ferro de passar (energia térmica) a luz de uma lâmpada (energia luminosa) a eletrolise da água (energia química) a contração de um músculo ao sofrer uma descarga elétrica (efeito fisiológico).
A rotação de motor (energia mecânica). Com base nestes exemplos podemos afirmar que a eletricidade não é criada e sim transformada e que a energia elétrica não pode ser destruída.

3 Geração elétrica por ação térmica

Uma Usina termoelétrica é uma instalação destinada a converter a energia de um combustível em energia elétrica. O combustível armazenado em tanques (gás natural, carvão óleo, etc) é enviado para a usina, para ser queimado na caldeira, que gera vapor a partir da água que circula por tubos em suas paredes.
O vapor é que movimenta as pás de uma turbina, ligada diretamente a um gerador de energia elétrica. Essa energia é transportada por linhas de alta tensão aos centros de consumo. O vapor é resfriado em um condensador, a partir de um circuito de água de refrigeração.
Essa água pode provir de um rio, lago ou mar, dependendo da localização da usina, e não entra em contato direto com o vapor que será convertido outra vez em água, que volta aos tubos da caldeira, dando início a um novo ciclo.
Como todo tipo de geração de energia causa impactos ambientais, com termeletricidade não é diferente: ela é a responsável pelo aumento do efeito estufa, o aquecimento demasiado da superfície terrestre, chuva ácida, etc, além de exigir muito dinheiro para a compra de combustíveis.
A queima de gás natural lança na atmosfera grandes quantidades de poluentes, além de ser um combustível fóssil que não se recupera.
O Brasil lança por ano 4,5 milhões de toneladas de carbono na atmosfera, com as usinas termelétricas esse indicador chegará 16 milhões.
As termoelétricas têm a vantagem de podem serem instaladas mais próximas dos centros consumidores, diminuindo assim a extensão das linhas de transmissão, minimizando consequentemente as perdas ao longo dessas linhas, que poderiam chegar até a 16%.

4 Geração elétrica por ação dos ventos (eólica)

A energia eólica é a energia cinética resultante dos deslocamentos de massas de ar, gerados pelas diferenças de temperatura na superfície do planeta. Resultado da associação da radiação solar incidente no planeta com o movimento de rotação da terra, fenômenos naturais que se repetem. Por isso é considerada energia renovável.

5 Geração elétrica por ação mecânica

Na hidroelétrica que usa a água represada a certa altura, quando abrir as comportas, a força das águas fará com que gire uma turbina que por sua vez gerará uma tensão elétrica através da indução eletromagnética.

6 Geração elétrica por ação química

Outro meio de se obter eletricidade é por meio da ação química. Isso acontece da seguinte forma dois metais diferentes como cobre e zinco são colocados dentro de uma solução química (ou eletrólito) composta de sal (H2O + Na CL) ou acido sulfúrico (H2O + H2SO4) constituindo-se de uma célula primária.
A reação química entre o eletrólito e os metais varia retirando os elétrons do zinco. Estes passam pelo eletrólito e vão se depositando no cobre. Dessa forma, obtém-se uma diferença de potencial, ou tensão, entre os bornes ligados no zinco (negativo) e no cobre (positivo).

7 Geração elétrica por ação magnética

O modo mais comum de gerar eletricidade em larga escala sem duvida é por efeito magnético.
A eletricidade gerada por ação magnética é produzida quando um condutor é movimentado dentro do raio de ação de um campo magnético.
Isso cria uma D.D.P que aumenta ou diminui com o aumento ou diminuição da velocidade do condutor ou da intensidade do campo magnético.

8 Grandezas Elétricas Fundamentais

Tensão, Corrente, Resistência e Potência Elétrica

Se observarmos, veremos que estamos cercados de circuitos elétricos e equipamentos eletro-eletrônicos, em nossa casa, no trabalho, diversão, ou seja, são produtos que sem eles nossa vida sofreria uma grande transformação, ou até mesmo um caos. Todos esses equipamentos trazem a integridade das três grandezas fundamentais para o estudo da eletricidade, são elas a Tensão, a Corrente e a Resistência elétrica.

Recorremos à estrutura básica do átomo para início de nossa análise e estudos. O átomo e formado por um núcleo onde estão às cargas positiva (prótons) e as carga neutras (nêutrons); em órbita nas camadas orbitais se localizam os elétrons com carga negativa. Serão estes elétrons responsáveis pela corrente Elétrica que estudaremos.

 

9 Carga Elétrica

Um corpo tem carga negativa se nele há um excesso de elétrons e positiva se há falta de elétrons em relação ao número de prótons. A quantidade de carga elétrica de um corpo é determinada pela diferença entre o número de prótons e o número de elétrons que um corpo contém. O símbolo da carga elétrica de um corpo é Q, expresso pela unidade Coulomb (C). A carga de um Coulomb negativo significa que o corpo contém uma carga de 6,24 x 1018 mais elétrons do que prótons.

Tensão Elétrica (V)

Graças à força do seu campo eletrostático, uma carga pode realizar trabalho ao deslocar outra carga por atração ou repulsão. Essa capacidade de realizar trabalho é chamada potencial.
Quando uma carga for diferente da outra, haverá entre elas uma diferença de potencial (E). A soma das diferenças de potencial de todas as cargas de um campo eletrostático é conhecida como força eletromotriz.
A diferença de potencial (ou tensão) ou força eletromotriz, tem como unidade fundamental o volt(V). Podemos afirmar para facilitar o entendimento que: diferença de potencial ou tensão elétrica é uma força em forma de ddp capaz de mover cargas elétricas (elétrons) através dos condutores elétricos.
O equipamento destinado a medida da diferença de potencial (ddp) é o voltímetro.
Nas figuras abaixo ilustramos o voltímetro, e a forma em que o mesmo é inserido no circuito (ligado em paralelo).

Corrente Elétrica (I)

Corrente (I) é simplesmente o fluxo de elétrons. Essa corrente é produzida pelo deslocamento de elétrons através de uma ddp (diferença de potencial) em um condutor. A unidade fundamental de corrente é o Ampère (A). 1 A é o deslocamento de 1 Coulomb de elétrons através de um ponto qualquer de um condutor durante 1 segundo. O fluxo real de elétrons é do potencial negativo para o positivo.
Acima temos: um aparelho para medir a corrente elétrica (amperímetro), e a forma em que o mesmo é inserido no circuito, em série com o consumidor a ser medido.

Resistência Elétrica (R)

Resistência é a oposição à passagem de corrente elétrica. É medida em ohms. Quanto maior a resistência, menor é a corrente que passa.
Os resistores são elementos que apresentam resistência conhecida bem definida. Podem ter uma resistência fixa ou variável. O instrumento destinado a medida de resistência elétrica é o Ohmímetro.
Estes equipamentos de medida estão agrupados num mesmo aparelho chamado Multímetro.
“A resistência elétrica de um condutor é diretamente proporcional à sua resistividade e ao seu comprimento, e inversamente proporcional à sua área de seção transversal”. A resistividade é a resistência especifica de cada material, e a área de seção transversal é a área do condutor (bitola dada pelo fabricante).

Fatores que influenciam na resistência elétrica dos materiais

10 Lei de Ohm

A intensidade da corrente elétrica em um circuito é diretamente proporcional à tensão elétrica e inversamente proporcional à resistência elétrica. A lei de ohm relaciona matematicamente as três grandezas elétricas. Veja as equações abaixo:

Triangulo do Rei:

Potência Elétrica (P)

Quando uma corrente elétrica circula através de resistores, especificamente, e nos condutores, em geral, esses sempre se aquecem. Neles ocorre conversão de energia elétrica em energia térmica. Essa energia térmica produzida, via de regra, é transferida para fora do corpo do resistor sob a forma de calor.

Podemos dizer, a potência elétrica é a grandeza que mede a rapidez em transformar a corrente elétrica do circuito em energia (trabalho).

A lâmpada é um transdutor de saída, convertendo energia elétrica em energia térmica e posteriormente em calor (parcela inútil e indesejável) e luz (parcela útil).

A maior ou menor quantidade de energia elétrica convertida em térmica num componente depende apenas de dois fatores: a resistência ôhmica do componente e a intensidade de corrente elétrica que o atravessam. Esses dois fatores são fundamentais para se conhecer a rapidez com que a energia elétrica converte-se em térmica.

Em outras palavras, a Potência Elétrica é o trabalho elétrico realizado por um determinado consumidor na unidade de tempo. Sua unidade de medida padrão é o Watt (W).

A POTÊNCIA ELÉTRICA É O RESULTADO DA TENSÃO X CORRENTE

O Valor da Potência elétrica influencia na quantidade de corrente elétrica que percorre um circuito elétrico. Desta forma podemos utilizar a equação abaixo para encontrar o valor da corrente.

INSTRUMENTO DE MEDIDA- O WATÍMETRO

Energia Elétrica (J):

É a potência elétrica consumida por um tempo (kWh). No Sistema Internacional de medidas, a unidade de energia elétrica é o Joule (J). A conta de consumo de eletricidade da sua residência vem nesta unidade, portanto J= kWh (Quilo Watt Hora).

O Resumo da Lei de Ohm:

11 Tipos de Correntes Elétricas

Corrente Contínua (CC OU DC)

É um tipo de corrente constante, ou seja, não muda de polaridade, de valor, e nem tão pouco de sentido.Gráfico da C.C:

As pilhas

As pilhas são fontes geradoras de tensão usadas, por exemplo, em diversos aparelhos portáteis. Elas são constituídas basicamente por dois tipos de metais mergulhados em um preparado químico.
Este preparado químico reage com os metais retirando elétrons de um e levando para o outro. Um dos metais fica com potencial elétrico positivo e o outro fica com potencial elétrico negativo.
Entre os dois metais existe, portanto, uma ddp ou tensão elétrica, conforme mostrado na Fig.
Pela própria característica de funcionamento das pilhas, um dos metais torna-se positivo e o outro negativo. Cada um dos metais é denominado de pólo. As pilhas dispõem de um pólo positivo e um pólo negativo.

Associação série

Numa associação em série, duas pilhas são conectadas de forma que o pólo positivo de uma se ligue ao pólo negativo da outra e os pólos da extremidade estão livres para se conectarem ao circuito.
Nesta associação, a ddp é a soma do potencial individual de cada pilha, ou seja, 3.0 V e a corrente total “it” fornecida ao circuito tem valor igual às correntes que saem de cada pilha, nesta associação.

Associação paralela

Numa associação em paralelo, duas pilhas são conectadas de forma que o pólo positivo de uma se ligue ao pólo positivo da outra e o mesmo acontece com os pólos negativos. E destes pólos saem as pontas que se ligarão ao restante do circuito.
Nesta associação, a ddp resultante da associação é igual em valor da ddp individual de cada pilha. A corrente elétrica total “it” fornecida ao circuito é dividida entre as pilhas de forma que somando-se a corrente que cada pilha fornece ao circuito se tem a corrente total consumida pelo circuito. em paralelo.
Logo, estas associações possuem características distintas. Numa temos uma soma de potenciais e na outra um potencial constante. Ou seja, se num circuito for necessário um potencial alto, associa-se pilhas em série, e se num circuito for necessário um longo período de funcionamento, associa-se pilhas em paralelo.

Corrente Alternada (CA OU AC)

É um tipo de corrente inconstante,ou seja está mudando periodicamente de valor ,de polaridade e de sentido. As usinas geradoras de energia elétrica produzem tensão e corrente elétrica alternada.
É este tipo de tensão que encontramos nas tomadas de nossas residências e fábricas.
Abaixo temos:o símbolo do gerador A.C e o gráfico da C.A.

Dispositivos que fornecem correntes alternadas

Frequência

É o número de ciclos produzidos por segundo. A frequência é o inverso do período (T). Período é o tempo necessário para se completar um ciclo, ou seja, é o tempo gasto pelo gerador elétrico para descrever uma volta completa (ciclo). A unidade de frequência é o hertz (Hz) e a unidade do período é o segundo. A
No Brasil a frequência é 60 Hertz. O instrumento utilizado para medir a freqüência é o Frequencimetro.

AS FIGURAS ABAIXO ILUSTRAM MODELOS DE FREQUÊNCÍMETRO

O Frequencimetro é ligado da mesma forma do voltímetro, ou seja, em paralelo.

Valores de uma corrente alternada

Múltiplos e Submúltiplos

Estas unidades foram criadas para facilitar a interpretação dos valores altos ou baixos das grandezas elétricas, entretanto sem alterar a quantidade das mesmas.
Na regra acima a cada mudança de unidade, multiplicamos ou dividimos por mil conforme a conversão que desejamos realizar.
Ex.: para transformamos 1000v para 1KV devemos dividir 1000v por mil e teremos 1kv.
Exemplos de equivalências;

Multímetro Digital

Possui um visor de cristal líquido o qual já indica o valor medido diretamente. Abaixo temos um exemplo deste tipo com as funções indicadas na chave seletora.

12 Medidas elétricas com o multímetro digital

Medição de Tensão Contínua DCV

Coloque a chave na escala DCV mais próxima acima da tensão a ser medida. Ponha a ponta preta no terra ou qualquer outro ponto com potencial mais baixo(-) e a vermelha no ponto de tensão mais alta(+). A leitura será próxima ao valor indicado. Isto dependerá da precisão mo multímetro.

Medição de Tensão Alternada ACV

Coloque a chave na escala ACV mais próxima e acima da tensão a ser medida. A maioria dos multímetros digitais só tem duas escalas ACV: até 200 V e até 750 V. Meça a tensão não se importando com a polaridade das pontas. A tensão alternada nos circuitos eletrônicos costuma ser medida na entrada da rede ou nos secundários do transformador de alimentação do mesmo.

Medição de Corrente Elétrica DCV e ACV

Para usar o amperímetro, coloque a chave seletora na escala mais próxima e acima da corrente a ser medida. Para isto é necessário saber qual o valor da corrente que passa pelo circuito. Interrompa uma parte do circuito. Coloque a ponta vermelha no ponto mais próximo da linha de +B e a preta no ponto mais próximo do terra,porem no dia a dia do eletricista,a medição de corrente será realizada com um outro tipo de multímetro,chamado de alicate amperímetro.
O alicate amperímetro é um multímetro que tem todas as funções de um multímetro comum, mas com algumas vantagens, um exemplo é a medição de corrente alternada e sem a necessidade de abrir o circuito, ou seja, sem a necessidade da corrente passar internamente no instrumento, o que poderia danificá-lo, devido a elevado campo magnético.
Mas como isso é possível?
É bem simples. O alicate amperímetro possuem uma espécie de “garra” que “abraça” o condutor, quando há passagem de uma corrente elétrica num Condutor, ao redor do mesmo é formado um campo magnético. A “garra” nada mais é do que chapas de aço, essas chapas de aço funcionam como um transformador secundário.
Que dependendo da intensidade do campo magnético induzido existe um circuito eletrônico que indica de quanto é o valor da intensidade da corrente elétrica, sem a necessidade de abrir o circuito.

Medição de Resistência Elétrica

Escolha uma escala do ohmímetro mais próxima acima do valor do resistor a ser medido (200, 2K, 20K, 200K, 2M, 20M se houver). Meça o componente e a leitura deve estar próxima do seu valor. Este teste pode ser feito com bobinas, fusíveis, chaves, etc. Abaixo vemos o teste:
Atenção: antes de realizar este tipo de medição, desconecte o componente do circuito a fim de proteger o multímetro quanto ao recebimento de tensão em suas ponteiras e posteriormente no seu circuito interno.

13 Resistores

Os Resistores são componentes que têm por finalidade oferecer uma oposição à passagem de corrente elétrica, através de seu material. A essa oposição damos o nome de resistência elétrica, que possui como unidade o ohm. Entretanto é possível também reduzir e dividir a tensão elétrica.

Os resistores fixos são comumente especificados por três parâmetros:

• O valor nominal da resistência elétrica;

• A tolerância, ou seja, a máxima variação em porcentagem do valor nominal;

• Máxima potência elétrica dissipada.

Exemplo: Tomemos um resistor de 1k . +/- 5% - O,33W, isso significa que possui um valor nominal de 1000 ohms ., uma tolerância sobre esse valor de mais ou menos 5% e pode dissipar uma potência de no máximo 0,33 watts. Dentre os tipos de resistores fixos, destacamos os de:

• Fio

• Filme de carbono

• Filme metálico.

Resistor de filme de Carbono:

Consiste em um cilindro de porcelana recoberto por um filme (película) de carbono. O valor da resistência é obtido mediante a formação de um sulco, transformando a película em uma fita helicoidal.

Esse valor pode variar conforme a espessura do filme ou a largura da fita. Como revestimento, encontramos uma resina protetora sobre a qual será impresso um código de cores, identificando seu valor nominal e tolerância.

Os resistores de filme de carbono são destinados ao uso geral e suas dimensões físicas determinam a máxima potência que pode dissipar.

Resistor de fio:

Consiste basicamente em um tubo cerâmico, que servirá de suporte para enrolarmos um determinado comprimento de fio, de liga especial para obter-se o valor de resistência desejado. Os terminais desse fio são conectados às braçadeiras presas ao tubo.

Código de cores para resistores

Os resistores são identificados pelo código de cores por isso o uso de faixas coloridas pintadas em seu corpo. Os resistores de película de carbono apresentam quatro faixas coloridas impressas em seu corpo, sendo que a 1º e 2º faixas indicam o 1º e 2º algarismos, a 3º o número de zeros, que deverá ser acrescido à direita dos dois primeiros algarismos e a 4º faixa indica a sua tolerância.

TABELA DE CÓDIGO DE CORES PARA RESISTORES DE 4 FAIXAS

14 Circuitos elétricos - associando resistores e lâmpadas

Associação Série

O um circuito série constatam-se as seguintes propriedades:

a) Todos os componentes são percorridos por corrente de mesma intensidade;

b) A soma das tensões sobre todos os componentes deve ser igual à tensão total aplicada;

c) A resistência total da associação é igual à soma das resistências dos componentes individuais.

Associação Paralela

Em um circuito paralelo constatam-se as seguintes propriedades:

a) todos os componentes recebem um mesmo valor tensão elétricos;

b) a corrente total será dividida entre os componentes do circuito. Desta forma a soma das intensidades de corrente nos componentes individuais deve ser igual à intensidade de corrente total (IT).

c) a resistência total da associação é resultante do produto (multiplicação) das resistências dividido soma delas (CUIDADO: isso vale só é válido para 2 resistores em paralelo) veja o exemplo abaixo:

Fórmula para dois resistores:

O valor da resistência equivalente de uma associação de resistores em paralelo é sempre menor que o resistor de menor valor.

Fórmula para dois ou mais resistores:

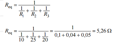
Exemplo :

Calcular a resistência equivalente da associação paralela dos resistores.

Solução :

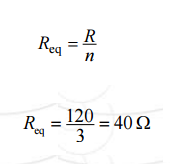
Fórmula para resistores de mesmo valor:

Utilizada para Calcular a resistência equivalente de dois ou mais resistores de mesmo valor Ôhmico.

Exemplo: qual o valor da resistência equivalente de três resistores de 120 associados em paralelo.

Solução :

15 Capacitores

Os capacitores têm a função de armazenar cargas elétricas, em forma de campo eletrostático.

Características e propriedades dos capacitores

O capacitor é um componente basicamente formado por duas placas metálicas, separadas por um isolante chamado de dielétrico. O material de que é feito o dielétrico (material isolante colocado para separar as placas uma da outra) é quem define o nome do capacitor. Ex: Dielétrico de mica= capacitor de mica; Dielétrico de plástico = capacitor de poliéster.

Como qualquer componente eletrônico, os capacitores apresentam características elétricas e mecânicas, através dos quais são especificados Abaixo veremos as mais importantes:

Capacitância (C) – É a propriedade (capacidade) dos capacitores armazenarem cargas elétricas. A unidade de capacitância é o FARAD, representada pela letra F e se define como a capacitância de reter uma carga de 1 coulomb (1C), quando é aplicada a tensão de 1 volt(1V).

Para as medidas usuais dos capacitores, utiliza-se geralmente o seu submúltiplo.

A)Dimensões das placas –

Quanto maior a área das placas maior a capacidade de armazenamento de carga.

B)Distância entre as placas –

Quanto menor à distância entre as placas, ou seja, quanto menor a espessura do dielétrico maior é a capacidade de armazenamento-Capacitância.

C) Material de que é feito o dielétrico –

Quanto maior for a rigidez dielétrica do capacitor, maior será a capacitância.

Tolerâncias –

A capacitância real de um capacitor deve ficar dentro dos limites de tolerância de fabricação, que pode ser tão baixa quanto 5% (capacitores de precisão) ou tão alta quanto 30%, como acontece com os capacitores eletrolíticos.

Tensão de Isolação –

É a tensão máxima que pode ser aplicada ao capacitor sem que o mesmo seja danificado.

Observação:

Não se deve submeter um capacitor a uma tensão acima da recomendada pelo fabricante. Sob pena de danificar e até furar o dielétrico e provocar fuga no capacitor. Em caso de substituição de componentes, a isolação do capacitor substituto poderá ser maior que a isolação do capacitor original, nunca poderá ser menor.

Capacitores eletrolíticos

Os capacitores eletrolíticos são capacitores fixos cujo processo de fabricação permite a obtenção de altos valores de capacitância com pequeno volume. A figura abaixo permite uma comparação entre as dimensões de um capacitor eletrolítico e um não eletrolítico de mesmo valor.

O símbolo dos capacitores eletrolíticos expressa a polaridade das armaduras.

Capacitores com Múltipla Capacitância

Existem ainda os capacitores múltiplos, que consistem em dois, três ou até mesmo quatro capacitores no mesmo invólucro, Em geral, nesses capacitores haverá um terminal comum a todos os capacitores.

Este tipo capacitor é geralmente utilizado para a partida, e controle de velocidade para motores de ventiladores de teto.

Defeitos dos Capacitores

Como todo e qualquer componente ou dispositivo, os capacitores estão sujeitos a apresentarem falhas, que descreveremos a seguir.

Fuga –

Ocorre quando existe falha no dielétrico permitindo a circulação da corrente entre as placas.

Parcial –

O curto parcial é a condição em que, ao se medir a resistência ôhmica entre as placas do capacitor, encontramos um valor qualquer diferente de zero.

Total -

O curto total é a condição em que ao se medir a resistência ôhmica entre as placas do capacitor, encontramos o valor igual a zero. Neste caso teremos uma corrente muito alta entre as placas do capacitor.

Aberto –

Um capacitor se encontra aberto quando ao medirmos sua resistência ôhmica o valor encontrado é igual a ∞ (infinito).Este defeito poderá ocorrer devido ao desligamento de um dos terminais da placa correspondente.

Alterado –

Um capacitor apresenta este estado de deficiência quando ao ser medido em um capacímetro a sua capacitância apresenta um valor diferente daquele que vem de fábrica.

Como testar capacitores como capacímetro

Descarregue o capacitor, tocando um terminal no outro, escolha uma escala mais próxima acima do seu valor (independente dele ser comum ou eletrolítico) e coloque nos terminais do capacimetro (ou nas ponteiras do mesmo se ele tiver). A leitura deverá ser próxima do valor indicado no corpo.

Se a leitura for menor, o capacitor deve ser trocado. Veja na seguinte ilustração:

No caso dos capacitores eletrolíticos, podemos colocá-los no capacímetro em qualquer posição, conforme pode ser visto na afigura acima.

O Capacitor em C.A e C.C

O capacitor em corrente contínua comporta-se como uma chave aberta. Permitindo a passagem da corrente elétrica apenas no momento da ligação, que é o período que ele está carregando.

Processo de Carregamento e Descarregamento do Capacitor

O capacitor em corrente alternada comporta-se como uma chave fechada permitindo a passagem da corrente elétrica constantemente, devido a inversão de polaridade o capacitor se carrega num semiciclo e descarrega-se no semiciclo seguinte. Esse processo de carga e descarga do capacitor em CA é realizado com uma resistência do capacitor a inversão de polaridade a essa resistência dá-se o nome de reatância capacitiva.

16 Reatância Capacitiva

É a oposição do capacitor a passagem da corrente alternada (CA). O símbolo que representa a reatância Capacitiva é o (Xc) e é medido em ohms.
O Dielétrico é submetido a solicitações alternadas, pois variam de sinal rapidamente e sua polarização muda com o mesmo ritmo. Se a freqüência aumenta, o Dielétrico não pode seguir as mudanças com a mesma velocidade com que ocorrem, e a polarização diminui o que acarreta uma redução da capacitância.
Com as Tensões Alternadas, produzindo o fenômeno de sucessivas cargas e descargas, verifica-se uma circulação de corrente, embora esta não flua diretamente pelo Dielétrico.
Assim, chega-se a uma das principais aplicações dos capacitores: a de separar a Corrente Alternada da Corrente Contínua, quando estas se apresentam simultaneamente.

Tensão e corrente num capacitor

Em geral: O capacitor comporta-se como um Circuito Aberto em Corrente Contínua e como uma Resistência Elétrica em Corrente Alternada.

Conclusão

Submetido ao sinal contínuo (invariável), o capacitor se carrega e a corrente cessa rapidamente (ocorre o "bloqueio"); submetido ao sinal alternado (variável), sempre há corrente no circuito.

Associações de Capacitores

Assim como fazemos com resistores, os capacitores também podem ser interligados para obtermos um determinado valor de capacitância. Podemos ligar os capacitores em série ou em paralelo, como veremos abaixo:

Associação em série

Os capacitores são ligados no mesmo fio, um após o outro, como podemos ver abaixo:
Para calcular a capacitância equivalente do circuito em série, o processo é o mesmo da associação de resistores em paralelo, ou seja, usamos duas regras:
A regra é a mesma para os capacitores eletrolíticos, mesmo que eles estejam ligados em oposição formando um capacitor não polarizado e qualquer unidade que eles estejam usando, porém a unidade usada para todos os capacitores deve ser a mesma. As tensões de trabalho dos capacitores se somam na associação em série.

Associação em paralelo

Os capacitores são ligados aos mesmos pontos, um ao lado do outro, como vemos abaixo:
Para calcular a capacitância equivalente deste circuito, basta somar o valor dos capacitores e a tensão de trabalho corresponde à menor de todos os capacitores. Veja abaixo:

17 Magnetismo

O magnetismo é uma forma de energia cuja principal propriedade é atrair outros corpos. Os corpos que possuem o magnetismo são chamados de ímãs. Os imãs podem ser naturais ou artificiais.

Ímãs naturais

São compostos de ferro conhecidos como magnetita, encontrados com certa facilidade na natureza.

Ímãs artificiais

São ímãs produzidos pelo homem. Existem hoje ímãs artificiais tão poderosos que, trabalhando em conjunto com guindastes, conseguem levantar até carros.
Os ímãs também podem ser classificados como temporários ou permanentes. Um ímã é permanente quando as propriedades magnéticas adquiridas pelo corpo são mantidas por toda a sua existência. Por outro lado um ímã é temporário quando as propriedades magnéticas adquiridas pelo corpo são perdidas em pouco tempo.

Imantação ou Magnetização

É o ato de fazer com que um corpo apresente propriedades magnéticas. Existem vária formas de se imantar um corpo, sendo talvez a mais fácil de todas, imantação por aproximação. Quando aproximarmos um corpo magnético de um ímã, o corpo adquirir propriedades magnéticas, tornando-se, deste modo, um ímã temporário.
Uma experiência simples pode ser feita para provar este fenômeno: encoste a ponta de uma chave.
De fenda em um ímã e depois a aproxime de um parafuso. Você verá que a chave de fenda irá atrair o parafuso. Isso ocorreu por que a chave de fenda foi imantada, ou seja, adquiriu propriedades magnéticas.

Campo Magnético

É a região ou matéria onde são observadas as propriedades magnéticas. Graficamente, o campo magnético é representado por linhas que nós chamamos de LINHAS DE FORÇA.
Um ímã possui extremidades (ou pólos) norte e sul, tendo sido convencionado que as linhas de força saem sempre da extremidade norte e entram na extremidade sul do ímã. Veja na figura a seguir como as linhas de força se difundem em um ímã em forma de barra.
Observe como a agulha da bússola indica a direção e o sentido das linhas de força do campo magnético. Isso acontecerá sempre que uma bússola for colocada dentro de um campo magnético.

Atração e Repulsão entre Ímãs

Quando aproximamos pólos iguais de dois ímãs, haverá repulsão entre eles. Veja a experiência a seguir, onde um ímã em forma de barra foi colocado sobre dois lápis. Ao aproximarmos do seu pólo sul o pólo sul de outro ímã, observamos que o ímã sobre os lápis começa a se deslocar devido a repulsão que existe entre pólos de mesmo nome.

Substâncias Ferro magnéticas

São substâncias que se imantam de forma intensa. Como exemplo de substâncias ferromagnéticas pode citar o Ferro, o Cobalto e o Níquel.

Substâncias Paramagnéticas

São substâncias que se imantam de forma pouco intensa. Alumínio, Cromo, Estanho e Ar são exemplos de substâncias paramagnéticas.

Substâncias Diamagnéticas

São substâncias que enfraquecem o campo magnético ao qual são submetidas. Cobre Zinco, Mercúrio, Chumbo e Água são exemplos de substâncias com esta característica.

18 Eletromagnetismo

O que é eletromagnetismo?

É a produção de fenômenos magnéticos a partir da corrente elétrica, ou seja, a partir de fenômenos elétricos.
Quando um condutor é percorrido por uma corrente elétrica,surgirá ao seu redor um campo magnético oriundo da passagem da corrente elétrica.

E para que serve o eletromagnetismo?

O eletromagnetismo serve para produzir energia elétrica a partir do movimento do motor do carro, por exemplo.

E como funciona?

Quando ligamos um automóvel o motor vai girar (independentemente de o automóvel estiver se movendo ou não).
Existe uma correia que faz o rotor do alternador ou o dínamo girar e através da variação do fluxo eletromagnético (que pode ser feito ao movimentarmos um ímã próximo a uma bobina), vai aparecer uma tensão, que chamaremos de tensão induzida.
Dínamo: gerador de tensão continua;
Alternador: gerador de tensão alternada.

Onde é utilizado esse tal de eletromagnetismo?

Toda energia elétrica que chega a nossa residência é produzida a partir do eletromagnetismo. Deu para sentir a importância do eletromagnetismo.

Campo Magnético em Espiras (Bobina ou indutor)

Um indutor é um componente eletrônico muito simples, constituído por uma bobina de material condutor, por exemplo, fio de cobre. Entretanto, pode-se fazer algumas coisas bem interessantes devido às propriedades magnéticas de indutor (bobina). Pode ser criado, um tipo de imã utilizando-se desta propriedade magnética da bobina, O componente criado chama-se eletroímã. Devido ao fato de que o campo magnético ao redor de um fio é circular e perpendicular a ele, uma maneira fácil de amplificar esse campo magnético é enrolar o fio como uma bobina, como mostrado abaixo:
Por exemplo, se você enrolar o seu fio ao redor de um prego 10 vezes (10 espiras), conectar o fio à pilha e trazer uma extremidade do prego perto da bússola, você vai descobrir que ele exerce um efeito muito maior sobre a bússola. Na verdade, o prego se comporta da mesma maneira que um ímã em barra.
No entanto, o ímã existe somente quando houver corrente fluindo da pilha. Você acabou de criar um eletroímã e vai descobrir que este ímã tem a capacidade de içar pequenos objetos de aço como clipes de papel, grampos e tachinhas.
O que acontecerá se as espiras forem aproximadas umas das outras? Isso mesmo, será formado um único campo magnético, com as linhas de força passando por dentro das espiras e retornando por fora.
Observe na figura a seguir a semelhança deste campo magnético com o campo magnético de um ímã em forma de barra.

Mas o que é uma bobina?

Uma bobina nada mais é do que muitos metros de fio enrolado num núcleo (local que serve como base para enrolar os fios, que pode ser uma barra de ferro, por exemplo), cada volta desse fio nós chamamos de espira e um conjunto de espiras forma uma bobina.

Símbolo do Indutor

Como já foi dito anteriormente, o indutor é um solenóide ou bobina que foi projetado para fazer uso de sua indutância. Os indutores encontrados no mercado normalmente são especificados em mili Henry (mH) ou micro Henry (μH). Sua utilização é bastante ampla em circuitos elétricos e também eletrônicos, principalmente aqueles usados em telecomunicações.
Vejamos algumas características das bobinas:

Induntância

É uma propriedade que caracteriza o fato de uma bobina induzir em si uma tensão sempre contrária à tensão aplicada na mesma. Essa tensão contrária é conhecida como força contra eletromotriz (fcem). Se a corrente elétrica varia de intensidade, o campo magnético em torno do condutor também varia.
Como o condutor está submetido ao Campo magnético variável (devido a variação da corrente elétrica que o percorre) aparecerá em seus terminais uma tensão induzida.
É importante ressaltar que a indutância só e manifesta se a corrente que passa pelo condutor varia. Isso significa que quando a corrente que passa pelo condutor é contínua e constante, a indutância não se manifesta. A tensão induzida em um condutor percorrido por uma corrente elétrica é uma resposta oferecida por ele as variações de intensidade de corrente elétrica, devido a sua característica em se opor a tais variações. É por isso que a indutância só se manifesta quando a corrente varia.
A indutância é uma grandeza física e como toda grandeza física tem um símbolo e uma unidade de medida. O símbolo da indutância é o L e a unidade de medida é o Henry representado pela letra H. Mas, o Henry é uma grandeza muito grande sendo mais comum a utilização de seus submúltiplos, como o mH e micro H.
Quando passa corrente elétrica no fio da bobina, ela produz um campo magnético (igual ao de um ímã). Se a corrente for alternada, o campo produzido também será alternado e induzirá outra tensão na bobina.
Esta tensão fica em oposição à tensão aplicada. Desta forma as bobinas dificultam a passagem da corrente alternada num circuito. Essa dificuldade dá-se o nome de Reatância Indutiva, que o contrário da reatância capacitiva.
Observação: Só vai haver indutância quando houver um fluxo de campo magnético variável, ou seja, com tensão continua pulsante ou alternada.

19 Fatores que influenciam na indutância

A indutância depende de vários fatores entre os quais destacamos:
Número de espiras;
Espaçamento entre as espiras;
Secção do fio;
Secção do núcleo;
Tipo de enrolamento.

Reatância Indutiva

É a oposição do indutor a passagem da corrente alternada (CA). O símbolo que representa a reatância indutiva é o (XL) e é medido em ohms.

Força Eletromotriz Induzida (FEM)

Sempre que um condutor se movimentar dentro de um campo magnético, aparecerá em seus terminais uma DDP. Esta DDP é chamada de FORÇA ELETROMOTRIZ INDUZIDA e o fenômeno em questão é chamado de INDUÇÃO ELETROMAGNÉTICA. O mesmo acontecerá se o condutor se mantiver em repouso dentro de um campo magnético variável.
Uma DDP também aparecerá nos terminais de um condutor em repouso se um ímã for aproximado e afastado do mesmo.
Destas três situações nós podemos concluir que: para que apareça uma DDP nos terminais de um condutor, tem de haver um movimento relativo entre o condutor e o campo magnético, ou seja, as diversas linhas de força do campo magnético têm de atravessar o condutor.

O que ocorre dentro do condutor que resulte na DDP?

É de nosso conhecimento que os elétrons são pequeníssimos ímãs e que os mesmos, estando livres, movimentam-se aleatoriamente dentro do condutor. Ao ser atravessado pelas linhas de força do campo, os elétrons livres são obrigados a se deslocar para uma das extremidades do condutor. A extremidade do condutor para onde os elétrons se deslocam será a polaridade negativa da DDP, a outra extremidade do condutor será a positiva.

-Induntância Mútua

Suponha que dois condutores sejam colocados lado a lado e uma corrente variável é feita passar por um deles. Se as linhas de força do campo magnético produzido pela corrente corta o outro condutor, aparecerá nele uma fem. O mesmo acontecerá se, ao invés de condutores, forem dois indutores colocados lado a lado. Este fenômeno é conhecido como indutância mútua.
Este é o princípio de funcionamento de um dispositivo chamado transformador, de grande aplicação em circuitos elétricos e eletrônicos.

Associação de indutores

Assim como os resistores e capacitores, os indutores podem ser associados obtendo assim indutâncias equivalentes. As associações podem ser série e paralelo.

Teste de Bobinas (Indutores)

Em X1, medir os terminais da bobina e o ponteiro deve mexer. Se não mexer, a bobina está aberta (interrompida). Veja abaixo o estado das bobinas testadas:

20 Transformadores

Os transformadores são componentes capazes de aumentar ou diminuir uma tensão e uma corrente através do eletromagnetismo que flui por suas espiras quando energizadas.O transformador é um dispositivo que permite elevar ou abaixar os valores de tensão ou corrente em um circuito de CA.

A aplicação de uma corrente variável com o tempo em uma das bobinas gera um fluxo magnético que, por sua vez, induz uma tensão na outra conforme lei de Faraday.

A bobina que recebe a corrente é denominada bobina ou enrolamento primário. Na bobina ou enrolamento secundário, está presente a tensão induzida.

Transformadores práticos costumam ter apenas um enrolamento primário, mas podem ter mais de um secundário.

Relação do transformador

Quando aplicamos uma tensão alternada na bobina de entrada, denominada “primário”, induzirá uma tensão no secundário, cujo valor dependerá da relação entre o número de espiras das duas bobinas e do valor da tensão aplicada ao Primário. Assim, se a bobina de saída tiver o dobro do número de espiras da entrada, a tensão de saída será dobrada, Da mesma forma, se tiver metade do número de espiras, a tensão será reduzida à metade.

Tipos de transformador quanto à relação de transformação

Quanto à relação de transformação os transformadores podem ser classificados em três grupos:

-Transformador elevador

Denomina-se transformador elevador todo o transformador com uma relação de transformação maior que 1 (NS > NP). Devido ao fato de que o número de espiras do secundário é maior que do primário a tensão do secundário será maior que a do primário ( NS>NP ,logo VS>VP).

-Transformador abaixador

É todo o transformador com relação de transformação menor que 1 (NS

-Transformador Isolador

Denomina-se de isolador o transformador que tem uma relação de transformação 1 (NS = NP). Como o número de espiras do primário e secundário é igual, a tensão no secundário é igual a tensão no primário(NS=NP logo VS=VP)

Este tipo de transformador é utilizado para isolar eletricamente um aparelho da rede elétrica. Os transformadores isoladores são muito utilizados em laboratórios de eletrônica para que a tensão presente nas bancadas seja eletricamente isolada da rede,sendo também utilizado nos chamados módulo isolador com o intuito de operar o computador sem a utilização do aterramento.

-Transformadores com múltiplos terminais

Estes transformadores poderão operar com tensão em 110/220v e dependendo do tipo, podem também fornecer dois ou mais valores de tensão no secundário.

O Relé eletromagnético

Os relés são componentes eletromecânicos capazes de controlar circuitos externos de grandes correntes a partir de pequenas correntes ou tensões, ou seja, acionando um relé com uma pilha podemos controlar um motor que esteja ligado em 110 ou 220 volts, por exemplo.

As figuras abaixo ilustram alguns modelos de relés:

O funcionamento dos relés é bem simples: quando uma corrente circula pela bobina, esta cria um campo magnético que atrai um ou uma série de contatos, fechando ou abrindo circuitos. Ao cessar a corrente da bobina o campo magnético também cessa, fazendo com que os contatos voltem para a posição original.

Os relés podem ter diversas configurações quanto aos seus contatos: podem ter contatos NA, NF ou ambos, neste caso com um contato comum ou central (C). Os contatos NA (normalmente aberto) são os que estão abertos enquanto a bobina não está energizada e que fecham, quando a bobina recebe corrente. Os NF (normalmente fechado) abrem-se quando a bobina recebe corrente, ao contrário dos NA.

O contato central ou C é o comum, ou seja, quando o contato NA fecha é com o C que se estabelece à condução e o contrário com o NF.

Especificações elétricas do relé

Devem ser observadas as limitações dos relés quanto a tensão nominal da bobina à corrente máxima dos contatos e tensão máxima admitida entre os terminais. Se não forem observados estes fatores a vida útil do relé estará comprometida, ou até a do circuito controlado.

21 Instalações Elétricas

Nesta etapa o aluno observara as normas que regem as instalações elétrica, verificar os modelos de emendas de condutores e as simbologias gráficas que são empregadas nos neste modelo de instalação. Verificará notas de condutores elétricos, normas técnicas que regulamentam este material como código de cores máxima isolação de temperatura, isolação de tensão e máxima condução de corrente.

Condutores Elétricos

Condutores elétricos são componentes responsáveis pela condução de energia elétrica até os consumidores. Nas instalações residenciais apenas condutores de cobre exceto o condutor de proteção. Nas instalações comerciais e nas transmissão das concessionárias se permitido o uso de condutores de alumínio com secção transversal igual ou superior a 50 mm2 s e
Podem se encontrar três tipos de condutores fase, neutro e de proteção.

Fase

Este condutor é responsável pela condução de elétrons em sua periferia e tem a utilidade de alimentar os consumidores elétricos por exemplo: lâmpadas, motores, maquinas e eletrodomésticos em geral. A seguir indicaremos a sua simbologia:

Retorno

Tem a mesma função do condutor fase com diferença de ser interrompido por um interruptor ou um disjuntor e só conduz se o dispositivo estiver em sua posição fechada ao contrario não conduz. Confira a sua simbologia:

Neutro

Condutor que possui ima carga neutra ou nula e tem a utilidade de referencial no circuito com a ausência deste condutor a carga não tem funciona. Observe a sua simbologia:

Terra ou proteção

O condutor de terra é posto no circuito para proteger contra fuga de corrente provocada por uma possível falha na isolação dos consumidores ou mesmo na instalação elétrica. Este mesmo condutor é utilizado para aterrar o neutro na entrada com o medidor de energia.Observa sua simbologia:

Padrão de cores dos condutores segundo a NBR 5410

Os condutores em geral possuem uma capacidade de condução de corrente de acordo com sua secção transversal, a seguir mostraremos uma tabela com as característica de cada condutor a respeito da capacidade admissível de corrente.

Classe de isolação de temperatura e tensão

Isolantes elétricos são aqueles materiais que tem pouco eletrons livres e que resistem ao fluxo dos mesmos. Alguns materiais desta categoria são:Plástico (resinas), Silicone, Borracha, Vidro (cerâmicas), Óleo, Água pura deionizada.
A resistência desses materiais ao fluxo de cargas é boa, e por isso são usados para encapar fios elétricos de cobre, seja em uma torre de alta tensão ou cabo de uma secadora.
São os materiais que possuem altos valores de resistência elétrica e por isso não permitem a livre circulação de cargas eléctricas, por exemplo borracha, silicone, vidro, cerâmica. O que torna um material bom condutor elétrico é a grande quantidade de elétrons livres que ele apresenta à temperatura ambiente, com o material isolante acontece o contrário, ele apresenta poucos elétrons livres à temperatura ambiente.
Os isolantes elétricos são separados de acordo com a tensão que se quer fazer o isolamento. Um pedaço de madeira, por exemplo, só pode ser considerado isolante até uma determinada classe de tensão, se elevemos essa tensão a determinados níveis, ele pode se tornar um condutor de eletricidade.

Tabela de informação quanto a secção transversal de fase e neutro

Tabela de referencia quanto secção transversal entre fase e terra

22 Ferramentas Essenciais para o Eletricista

Igualmente a qualquer profissional o eletricista necessita de ferramentas especializadas e com proteções especiais como por exemplo classe de isolação contra indução eletromagnética. Por isso apresentaremos algumas ferramentas que são empregadas nesta profissão que envolve muitos riscos.

Alicates

São instrumentos utilizados por vários profissionais da área tecnológica como mecânicos de auto, encanadores, mecânica de motos refrigeração. Pode ser divididos em vários grupos dependendo da funcionalidade da atividade empregada eles podem ser: do tipo universal, tipo corte, tipo bico, tipo bico chato e do tipo desencapador. A seguir comentaremos a respeito de cada da característica individual destas ferramentas que contribuem para o desempenho satisfatório destes profissionais.

Alicate do tipo Universal

Composto por dois cabos isolantes articulado por um eixo, tendo nas extremidades próximo a articulação, mandíbulas com pontas estriadas e cortes. Este instrumento é especifico para apertar, cortar e dobrar.
O alicate universal é o mais popular de todos os alicates pois é utilizado por diversas profissões. Os usuários associam seu nome “universal” a execução de qualquer tipo de tarefa, como utilizar como martelo, batendo-o em alguma peça; usar como chave para soltar parafuso; e ainda como pé de cabra para arrancar pregos.Todas estas utilização são incorretas pois podem provocar acidentes pessoais e causar danos ao instrumento comprometendo a sua vida util.

Alicate de corte diagonal

O alicate de corte é uma ferramenta articulada que tem como função cortar arames e fios de cobre, alumino e aço. Pode apresentar-se de formas diferentes, dependendo da necessidade do usuário.

Alicate bico chato

É composto por dois cabos isolados, articulado por um eixo, tendo nas extremidades próxima à articulação, mandíbulas com perfil, retangular e estriadas nas faces internas. É utilizado para apertar e dobrar.

Alicate desencapador

Composto por dois cabos isolados, e tem a utilidade de desencapar condutores de 0,5mm2 a 6,0 mm2 . Seu comando de abertura é por um parafuso de ajuste que seleciona a secção transversal do condutor que irá ser cortado.

Bico redondo

Composto por dois cabos isolados, articulados por um eixo, tendo nas extremidades, articulação.
É utilizado para fazer olhais, semelhantes a uma argola , em condutores e de acordo com o diâmetro do parafuso.

23 Chaves

A Chave de Fenda

A chave de fenda é uma das ferramentas mais conhecidas no mercado. Quem nunca utilizou uma chave de fenda na vida? Como o próprio nome já diz, esta ferramenta foi desenvolvida especificamente para apertar ou desapertar parafusos que possuem fenda na cabeça.Existem no mercado diversos tipos de chaves:
• Chave de fenda simples;
• Chave de fenda cruzada (mais conhecida como chave Phillips);
Normalmente, os usuários costumam utilizar a chave de fenda de maneira incorreta como, por exemplo, para fazer alavancas ou como talhadeira. Dessa forma, há uma diminuição da vida útil da ferramenta, além da possibilidade de que ocorram acidentes. Portanto, é necessário conscientizar os usuários sobre a função específica da chave de fenda e mostrar que, para cada tipo de atividade, existe uma ferramenta adequada.
Antes de especificar a chave de fenda correta para cada aplicação, é necessário verificar algumas informações importantes:
• Tipo da fenda;
• Diâmetro do parafuso;
• Espessura da fenda;
• Comprimento da haste;
• Comprimento total (comprimento do cabo e da haste).

Cuidados básicos para aumentar a vida útil das chaves de fenda:

1. Utilizar a chave de fenda somente para apertar ou desapertar parafusos;
2. Não reaproveitar a ferramenta afiando-a no esmeril, pois isto pode provocar a perda de suas características técnicas como dureza e resistência, podendo ocasionar a quebra da chave ou um acidente com o usuário;
3. Guardar a chave de fenda em ambientes secos, como caixas de ferramentas, carrinhos e armários;
4. Sempre verificar se a ferramenta está em condições de uso, pois podem existir trincas no cabo ou o arredondamento das arestas na ponta da chave. Esse problema ocorre devido ao uso incorreto da ferramenta, provocado por impactos e/ou utilização em parafusos de diâmetro diferente do especificado para a chave. Caso isto ocorra, substituir a ferramenta por uma nova;
5. Aplicar periodicamente uma fina película de óleo lubrificante na chave para proteger sua superfície.

Chave teste néon

Semelhante a uma chave de fenda pequena tem como finalidade indicar a existência de potencial de fase no ponto em teste. Funciona baseada na luminescência das lâmpadas de néon em baixíssimas correntes.
É composta por uma ponta de teste metálica em formato de cunha, lâmpada néon, resistor de carvão (alto valor ôhmico) e corpo translúcido (total ou parcial).

Trena

Substitui o metro articulado. Serve para medir distâncias entre caixas de passagens, condutores, etc.

Canivete

Serve para desencapar fios, na falta de um alicate desencapador.