Estados Físicos da Matéria e Tipos de Gases

Análises Físico-Químicas

1 Estados físicos da matéria

O tema “estados físicos” é amplamente conhecido, e a maioria, senão todos, dos alunos que começa seus estudos em Química sabe que os três estados físicos básicos da matéria são sólido, líquido e gasoso. Porém, vale a pena recordar o que caracteriza esses três estados, pois, em Química, estuda-se a matéria, as transformações sofridas por ela, bem como a energia envolvida nessas transformações; sendo que as propriedades da matéria, como a densidade, estão intimamente ligadas com o seu estado físico. Além disso, as transformações da matéria podem envolver mudanças de estados físicos, que incluem também trocas de energia.

A matéria pode ser definida de maneira bem simplificada como sendo tudo aquilo que tem massa e volume e ocupa um lugar no espaço. Portanto, a matéria é constituída de minúsculas partículas, que podem ser átomos, moléculas, íons e assim por diante. De modo que, simplificadamente, o que diferencia um estado físico de outro é a organização dessas partículas, se elas estão mais próximas umas às outras ou mais afastadas, isto é, se estão mais agregadas ou menos agregadas. Por isso, os estados físicos podem ser corretamente chamados de “estados de agregação”.

Veja as principais diferenças entre os estados físicos:

Sólido: Nesse estado, as partículas estão bem próximas umas às outras, de modo que não se movimentam. Estão bem organizadas e, por isso, possuem forma e volume fixos, não podendo sofrer compressão. O gelo é um bom exemplo disso.

Líquido: Nesse estado, as partículas possuem maior liberdade de movimentação que no estado sólido, pois estão um pouco mais afastadas umas das outras, havendo certo espaço entre elas. Por essa razão, as substâncias líquidas, como a água, possuem forma variável, adaptando-se ao recipiente em que estão contidas, mas não podem ser comprimidas, pois possuem volume constante.

Gasoso: Nesse estado, as partículas estão bem afastadas umas das outras, possuindo grande liberdade de movimentação. Por isso, os gases e os vapores, como o vapor de água, não possuem forma nem volume fixos, conformando-se de acordo com o recipiente e podendo ser comprimidos.

Assim, quando uma substância recebe ou perde energia na forma de calor, ela muda de estado físico. Com isso, ela continua sendo a mesma substância, mas mudou somente a organização de suas partículas constituintes. Dependendo do tipo de interação entre essas partículas, isto é, dependendo da intensidade das forças intermoleculares, a quantidade de energia necessária para provocar a mudança de estado físico varia. Se a força intermolecular for bem intensa, precisará de mais energia, ou seja, precisaremos aquecer bastante a substância para mudá-la de estado físico e vice-versa.

Existe ainda um quarto estado da matéria que não é muito estudado porque quase não é encontrado aqui na Terra, que é o plasma. Este, por sua vez, é um conjunto quente e denso de átomos livres, elétrons e íons, com distribuição quase neutra e comportamento coletivo. Para formar esse estado, é necessário que a matéria no estado gasoso seja aquecida a temperaturas elevadíssimas, como ocorre, por exemplo, no núcleo das estrelas, como o do nosso Sol, em que existem certas regiões de sua superfície que estão em aproximadamente 84.000ºC.

Características dos Gases

Os gases são moléculas ou átomos que se movimentam constantemente. Dentre as suas características, podemos destacar volume variável, difusibilidade e compressibilidade.
O estado gasoso é um dos três estados físicos da matéria, por isso é muito importante entender a constituição, propriedades e características dos gases porque eles estão muito presentes em nosso cotidiano, sendo, inclusive, indispensáveis para os vegetais e animais, bem como para o desenvolvimento da sociedade, pois influenciam campos como o da indústria e o dos meios de transportes.

Os gases são compostos de moléculas ou de átomos, e alguns exemplos de gases moleculares são:

O ar que respiramos é constituído em sua maioria de gás nitrogênio (N2e de gás oxigênio (O2);

O dióxido de carbono (CO2), mais conhecido como gás carbônico, é o maior responsável pelo efeito estufa. Ele também é absorvido pelas plantas no processo da fotossíntese, é emitido na nossa respiração, é usado como gás de refrigerantes e águas gaseificadas, entre outras aplicações;

- O gás natural usado como fonte de geração de energia mais “limpa” que o carvão e que os derivados do petróleo. Ele é constituído basicamente de gás metano (CH4);

- O gás ozônio (O3) encontrado na estratosfera, que é o responsável pela absorção da maior parte da radiação ultravioleta do sol que poderia nos prejudicar.

Agora falando de gases formados por átomos, isso ocorre somente no caso dos gases nobres (pertencentes à família 18 da tabela periódica). Entre eles, temos o gás hélio (He), que é usado para encher balões e no tratamento de asma junto ao oxigênio, pois assim se reduz o esforço muscular da respiração; e o gás neônio (Ne), que é muito usado em letreiros luminosos, pois, quando se passa uma descarga elétrica nesse gás em um tubo a baixa pressão, ele emite uma coloração laranja-avermelhada (daí a origem do termo “neon”). Vale destacar que os que são de outras cores não contêm o neônio, mas sim outros gases.

Visto que não podemos ver as moléculas e os átomos que formam os gases, os cientistas criaram um modelo conhecido como teoria cinética dos gases ou teoria do gás ideal, que é usado para explicar o comportamento deles.

Segundo essa teoria, os gases são formados por partículas que ficam bem afastadas umas das outras e que estão em movimento constante, de forma veloz, livre e desordenada. O aumento da temperatura faz com que essas partículas movimentem-se com maior velocidade, pois há aumento de sua energia cinética média, que é diretamente proporcional à temperatura termodinâmica (na escala kelvin), conforme mostra a equação a seguir:

*k = constante de proporcionalidade.

Além disso, a teoria cinética dos gases considera que os gases ideais possuem as seguintes características principais:

* Massa: todos os gases possuem massa;

* Volume: o volume dos gases não é fixo porque é sempre igual ao volume do recipiente que os contém;

O volume dos gases é variável, adaptando-se ao volume do recipiente
Título: Volume dos gases

* Dilatação e compressão: Com o aumento da temperatura e/ou diminuição da pressão, o gás dilata-se (expande-se). Por outro lado, com um abaixamento da temperatura e/ou aumento da pressão, ele sofre contração (é comprimido);

* Forças sobre as paredes do recipiente: As partículas dos gases que estão se movimentando chocam-se com as paredes do recipiente que os contém, exercendo uma pressão. Esses choques ocorrem de forma perfeitamente elástica, o que significa que não há variação da energia mecânica total desde que o gás esteja em equilíbrio com o meio externo, ou seja, a temperatura do gás e a do meio externo não podem ser diferentes. Conforme já dito, um aumento na temperatura faz com que as partículas movimentem-se com maior velocidade, o que resulta também em um aumento da pressão exercida pelo gás. Quando as partículas chocam-se, isso também ocorre elasticamente, sem perda de energia cinética entre elas.

* Difusão: As partículas dos gases difundem-se em outros gases, ou seja, espalham-se, movimentando-se espontaneamente em outros meios gasosos.

* Densidade: Os gases apresentam baixa densidade porque, em comparação com os líquidos e sólidos, a mesma massa ocupa um volume muito maior.

* Forças de atração intermolecular: O gás ideal não interage com outros gases.

É importante lembrar que esse é o comportamento dos gases ideais, e não dos gases reais. Por exemplo, os gases reais interagem sim uns com os outros. Apesar disso, gases reais em determinadas condições (baixas pressões e altas temperaturas) possuem um comportamento bem próximo do ideal.

O estudo do comportamento dos gases deve ser feito sempre a partir de suas três variáveis de estado: pressão, temperatura e volume.

2 Gás Ideal

Gás ideal é aquele em que as colisões entre as partículas são perfeitamente elásticas. Entre as partículas dele, não há qualquer tipo de interação, como forças atrativas ou repulsivas, além disso, essas partículas não ocupam espaço.

De acordo com a teoria cinética dos gases, o estado termodinâmico de um gás ideal é completamente descrito pelas variáveis de pressão, volume e temperatura.

Conceito de gás ideal

Os gases ideais são compostos exclusivamente por partículas de dimensões puntuais (de tamanho desprezível) que se encontram em movimento caótico e em alta velocidade. Nesse tipo de gás, a temperatura e a velocidade de translação das partículas são proporcionais.Uma vez que não há interação entre as partículas de um gás ideal, a energia interna desse gás é sempre igual à soma da energia cinética de todas as partículas que o constituem.

O gás ideal é formado por partículas puntiformes que colidem elasticamente entre si.

Quaisquer que sejam os gases ideais, eles sempre contarão com o mesmo número de partículas para o mesmo volume. A massa deles, por sua vez, dependerá diretamente da sua massa molar (medida em g/mol), além disso, 1 mol de gás ideal (cerca de 6,0.1023 partículas) sempre ocupará um volume igual a 22,4 l.

Os gases reais, em que há ocorrência de colisões inelásticas entre partículas, aproximam-se muito do comportamento dos gases ideais em regimes de baixas pressões e altas temperaturas. Por coincidência, nas condições normais de pressão e temperatura da Terra (25 ºC e 1 atm), a maior parte dos gases comporta-se como gases ideais, e isso facilita o cálculo de previsões acerca do comportamento termodinâmico deles.

Alguns gases, como o vapor d'água, que se encontra diluído no gás atmosférico, não podem ser considerados gases ideais mas sim gases reais. Esses gases apresentam interações significativas entre suas partículas, que podem condensar-se, fazendo com que eles liquefaçam-se, caso haja uma queda de temperatura.

Características dos gases ideais

Confira,algumas características dos gases ideais:

  • Neles só ocorrem colisões perfeitamente elásticas entre partículas;
  • Neles não existem interações entre partículas;
  • Neles as partículas têm dimensões desprezíveis;
  • 1 mol de gás ideal ocupa um volume de 22,4 l, independentemente de qual seja o gás;
  • Gases reais comportam-se como gases ideais quando em regimes de baixas pressões e altas temperaturas;
  • Grande parte dos gases comporta-se de forma similar aos gases ideais.

Lei dos gases ideais

O estudo dos gases desenvolvido pelos estudiosos Charles Boyle, Joseph Louis Gay-Lussac e Robert Boyle levaram ao surgimento de três leis empíricas, usadas para explicar o comportamento dos gases ideais em regimes de temperatura, pressão e volume constantes, respectivamente.

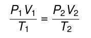
Juntas essas leis formaram a base necessária para o surgimento da lei dos gases ideais, que relaciona o estado termodinâmico inicial de um gás, definido pelas grandezas P1, T1 e V1, com o seu estado termodinâmico final (P2, V2 e T2), depois de ter sofrido alguma transformação gasosa.

Confira a fórmula da lei geral dos gases:

A lei geral dos gases afirma que o produto da pressão pelo volume do gás, divido pela temperatura termodinâmica, em kelvin, é igual a uma constante. Essa constante, por sua vez, é descrita pela equação de Clapeyron, observe:

R – constante universal dos gases perfeitos (0,082 atm.l/mol.K ou 8,31 J/mol.K)

Na fórmula, P é a pressão exercida pelo gás, V é o volume ocupado por esse gás, e T é a temperatura, medida em kelvin. A grandeza n refere-se ao número de mols, enquanto R é a constante universal dos gases ideais, que, frequentemente, é medida em unidades de atm.l/mol.K ou em J/mol.K, sendo essa última adotada pelo SI.

Energia interna do gás ideal

energia interna dos gases ideais pode ser calculada por meio do produto entre a constante de Boltzmann e a temperatura termodinâmica, observe:

Da relação anterior, que nos permite calcular a energia cinética média das partículas de um gás ideal, tiramos a fórmula seguinte, que pode ser usada para calcular qual deve ser a velocidade quadrática média das moléculas de um gás ideal, para uma determinada temperatura T, observe:

Essa fórmula permite visualizar que um acréscimo na temperatura de um gás ideal resulta em um aumento na velocidade quadrática média das partículas.

3 Gás real

Um gás real consiste num gás que, na prática, se afasta em maior ou menor grau do comportamento ideal.
De acordo com a equação dos gases ideais, conhecidos os valores de pressão, temperatura e volume para cada situação de uma amostra gasosa, a relação p V/RT seria sempre igual ao número de moles de partículas da amostra gasosa.
Contrariamente a esta previsão, o comportamento de várias amostras para certos valores de pressão desvia-se bastante deste valor.

Verifica-se experimentalmente que o comportamento dos gases reais apresenta maiores desvios ao comportamento de gás ideal para valores elevados de pressão e valores baixos de temperatura. Logo, só para valores relativamente altos de temperatura e/ou para baixas pressões, a equação dos gases ideais ou as leis de Boyle-Mariotte e de Charles e Gay-Lussac são aplicáveis.

O desvio do comportamento ideal dos gases pode ser explicado facilmente considerando o que acontece às suas moléculas. Como estas se deslocam no espaço com uma certa velocidade, existirá sempre uma probabilidade de choque entre duas delas. Durante a colisão, haverá uma interação entre elas e a energia envolvida (energia de interação) modificará, em proporções variáveis, o comportamento macroscópico do gás.

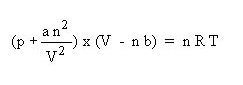
Para os casos em que não são aplicáveis as equações dos gases ideais, o comportamento dos gases é descrito por equações de estado mais complexas, como é o caso da equação de Van der Waals, proposta em 1873 pelo físico holandês Johannes Diderik van der Waals, nascido em Leida a 23 de novembro de 1837 e falecido em Amesterdão a 9 de março de 1923.

Esta equação difere pouco da equação dos gases ideias e permite prever mais rigorosamente o comportamento de gases reais:

Os parâmetros a e b, parâmetros de van der Waals, são determináveis experimentalmente para cada gás e somente podem ser considerados constantes dentro de uma certa faixa de temperatura.
São grandezas de correção que consideram a atração mútua entre as moléculas e o seu volume próprio. Estes parâmetros aumentam com o crescimento da massa molecular e com a complexidade da molécula.
O fator nb corresponde a uma correção do volume, que tem em conta o volume finito das moléculas.
O fator an² é uma correção de pressão devida à existência de forças intermoleculares.