Funções

Funções Matemáticas

1 O que é uma função?

O próprio nome já diz. Função é uma relação entre duas grandezas na qual uma depende (está em função) da outra. Por exemplo, a quantidade de água que sai de uma torneira vai depender do tempo que ela permanecer aberta. Portanto a quantidade de água está em função do tempo. Uma função pode ser representada através de uma fórmula. Ainda no mesmo exemplo, se da torneira vaza 20mL de água em um segundo, teremos a fórmula Q = 20⋅t (onde Q é a quantidade de água em mL e t o tempo de vazão em segundos) regendo a vazão de água.

Basta substituirmos o tempo que a torneira permaneceu aberta em t e descobriremos a quantidade de água que saiu. Outra forma de representar uma função é através de gráfico. Veja para o nosso exemplo da torneira:

Pelo gráfico rapidamente vemos que para 2 segundos vazou 40mL de água, para 3 segundos 60mL, e assim por diante.

Domínio e Imagem:

Os valores que nós variamos para encontrarmos seus correspondentes em uma função são chamados de conjunto domínio (no nosso exemplo, o tempo). Do mesmo modo, os valores que encontramos são chamados conjunto imagem (no nosso exemplo, a quantidade de água). Para cada domínio da função há somente um valor imagem. Em Matemática geralmente representamos o conjunto domínio pela letra x e o conjunto imagem por f(x) (nota-se que f(x) é representado pela variável dependente, y=f(x)), representando-os através da fórmula e no plano cartesiano:

As dimensões dos conjuntos domínio e imagem dependem da função que está sendo analisada. Por exemplo:

Para criar um gráfico de uma função basta construir uma tabela com os valores do domínio (x) e seus respectivos valores imagens (y). Com esses valores estabelece-se pares ordenados (x,y) – o primeiro valor é sempre do domínio – e marcá-los no plano cartesiano. Ex.:

Função do primeiro grau (função afim):

É toda função que pode ser reduzida à forma:

f (x) = ax + b

onde a e b são números reais e a ≠ 0. O número a é chamado coeficiente de x e b é chamado termo independente. Gráficos O gráfico gerado por uma função do primeiro grau é sempre uma reta. Para construí-lo basta determinarmos dois pares ordenados e traçar uma reta cruzando os pontos determinados.

O coeficiente de x também é chamado coeficiente angular da reta e o termo independente é chamado coeficiente linear da reta, que é a ordenada onde a reta corta o eixo das ordenadas. Zero ou Raiz da equação Chama-se zero ou raiz da equação o valor de x na função f (x) = ax + b quando f(x)=0. Para determinarmos basta substituirmos f(x) (ou y) por zero e resolvermos a equação. Para a função de primeiro grau encontramos uma equação de primeiro grau, como era de se esperar. A raiz da função é o ponto onde o gráfico corta o eixo das abscissas. Crescimento, decrescimento e sinal de uma função do primeiro grau Seja a função y = f (x) = ax + b:

  • Se ao aumentarmos o valor de x e seus correspondentes valores de y também aumentarem teremos uma função crescente. Neste caso, a > 0 .
  • Se ao aumentarmos o valor de x e seus correspondentes valores de Y diminuírem teremos uma função decrescente. Neste caso, a < 0 .

Com isso podemos determinar os sinais da função, ou seja, os valores de x onde y > 0, y < 0 e y = 0.
Para determinarmos y = 0 temos:

Note que isso independe do valor de a.

Agora,

Inequações:

O estudo dos sinais da função são de enorme utilidade na resolução de inequações. Acompanhe os exemplos:

2 Função do segundo grau (função quadrática):

É toda função que pode ser reduzida à forma:

f x = ax2 + bx + c

onde a, b e c são reais e a ≠ 0.

A função de segundo grau gera um gráfico em forma de parábola, de acordo com o valor de a:

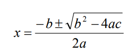
Raízes Da mesma forma que na função afim, para encontrarmos as raízes de uma função quadrática fazemos f(x) = 0. Depois basta resolver a equação de segundo grau resultante através da fórmula de Bháskara:

Obs: a parte b 4ac 2 ∆ = − é chamado discriminante da função, a apresenta algumas propriedades:

  • Se ∆ > 0a função possui duas raízes reais e distintas;
  • Se ∆ = 0a função possui uma raiz real (chamada de raiz dupla, pois na realidade são duas raízes iguais); 
  • Se ∆ < 0 a função não possui raízes reais.

Construção da parábola:

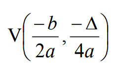
Para construir a parábola primeiramente deve-se determinar o par ordenado que localizam o ponto V do vértice da parábola (veja a figura na seção Gráficos) através das fórmulas:

(lembre-se que o primeiro valor corresponde à coordenada x e o segundo à coordenada y!) Depois determine as raízes (ou a raiz para funções ∆ = 0) e mais dois pontos, substituindo y por qualquer valor conveniente e encontrando suas coordenadas x. Trace uma parábola passando pelos pontos encontrados (assim como na figura da seção Gráficos). Se ∆ < 0 não haverá raízes, portanto basta substituir y por um valor qualquer que seja conveniente, encontrar suas coordenadas x e depois traçar o gráfico da mesma forma.

Sinal: 

O estudo dos sinais de uma função de segundo grau se faz de forma semelhante à função afim.

Veja:

Inequações:

Assim como na função afim, o estudo dos sinais auxilia na resolução de inequações do segundo grau:

Função Modular:

Função definida por mais de uma expressão

Há determinados problemas da vida cotidiana em que utilizamos um tipo de função definida por mais de uma expressão matemática. Como exemplo podemos citar o modo como é cobrado o imposto de renda. Caso uma pessoa ganhe abaixo de uma certa quantia, por exemplo R$ 5.000,00, ela estará isenta da cobrança. Caso ela ganhe acima dessa quantia, uma expressão matemática definirá o valor a ser pago, por exemplo valor do imposto igual a 0,1 vezes a quantia a ser ganha mais R$ 50,00. Matematicamente ficaria assim:

A Matemática é uma ciência que só se aprende exercendo o raciocínio. Portanto, estude e principalmente exercite a matéria, pois do contrário é praticamente impossível aprende-la. Comece a exercitar seu raciocínio agora! Como ficaria o gráfico de uma função definida por mais de uma expressão?

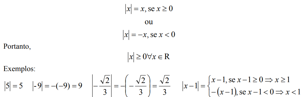
Módulo de um número:

Chama-se módulo ou valor absoluto o valor definido pela distância de um número até a origem no eixo real. Assim sendo, defini-se matematicamente:

Função Modular:

É a função caracterizada por:

Equações Modulares:

Analisando as funções modulares poderemos notar uma coisa:

Inequações Modulares:

Derivado do conceito de módulo, temos essa propriedade:

Nota-se que há duas possibilidades a serem analisadas de tal forma a garantir a verdade da inequação:

3 Função exponencial:

Potência:

Chama-se potência ao produto de um número por ele mesmo, independente do número de vezes que esse produto ocorra. Matematicamente, seja a um número real e n um número natural:

Expoentes não naturais:

Propriedades:

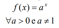
Função exponencial:

É toda função que a incógnita se encontra como expoente de um termo.

Gráficos:

Desses gráficos extraímos algumas propriedades:

 

Equações exponenciais:

São equações que apresentam a incógnita como expoente de uma potência. Para resolve-la reduzimos, quando possível, a equação a membros de potência de mesma base e aplicarmos a quarta propriedade das funções exponenciais

Inequações exponenciais:

Resolve-se inequações exponenciais de forma semelhante às equações. Entretanto aplica-se as seguintes propriedades, decorrentes das segunda e terceira propriedades das funções exponenciais:

Definição:

O conceito de logaritmo surgiu para solucionar o maior problema das funções exponenciais: resolver equações que não sejam possíveis reduzir as potências a bases iguais. Mais adiante veremos isso. Por enquanto, veja a definição:

Chama-se logaritmo de b na base a, sendo a e b reais e positivos e a ≠ 1, o número tal que seja o índice (x) de uma potência de base a que tenha como resultado o número b. Ou seja, 

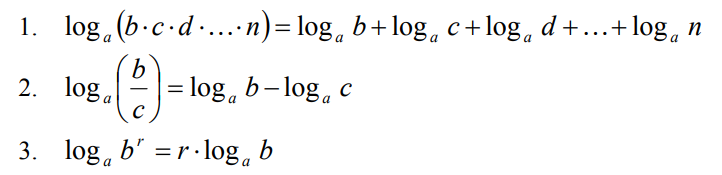
Propriedades operativas dos logaritmos:

Mudança de base:

Pode-se mudar a base de um logaritmo através da fórmula:

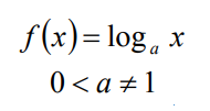
Função logarítmica:

São funções que tem a incógnita definida em um logaritmo:

Essas funções são amplamente utilizadas na Engenharia e na Economia. Os gráficos das funções logarítmicas são construídos de forma análoga ao das outras funções. São similares a esse:

Propriedades:

Equações exponenciais Com todo o estudo já realizado sobre funções, agora podemos resolver equações do tipo 2x = 5. Se raciocinarmos, veremos que 2² = 4 e 2³ = 8. Portanto 2 < x < 3, o que não resolve nosso problema. Para resolve-la utilizamos a definição de logaritmo:

Resolvem-se as equações logarítmicas de diversos modos, dependendo da equação. Na maioria dos casos usam-se as propriedades ou a definição de logaritmo:

Inequações exponenciais:

A resolução das inequações exponenciais que não podem ser reduzidas a mesma base utiliza os logaritmos, assim como nas equações exponenciais. Resolva-as através dessas expressões:

Inequações logarítmicas:

Há dois casos a considerar:

Assim como nas equações, utilize as propriedades dos logaritmos para resolver as inequações logarítmicas (logaritmo de produto, de quociente, mudança de base etc).