Matemática: Funções e Gráficos

Funções Matemáticas

1 Funções e simetrias:

REPRESENTAÇÃO DE FUNÇÕES:

Afinal, o que são funções? Uma função descreve as mudanças sofridas por uma grandeza provocadas pela variação de outra. Quando conhecemos uma função, temos algum tipo de descrição da maneira como uma grandeza varia dependendo da variação de outra. Matematicamente, dizemos que uma função é uma relação entre os elementos de dois conjuntos, em que para cada elemento de um conjunto é associado apenas um elemento do outro conjunto.

Normalmente escrevemos f: D → B para informar que f leva os elementos do conjunto D em elementos do conjunto B. Chamamos o conjunto origem D de domínio de f, ou seja, o conjunto dos valores que a variável independente de f pode assumir. Quando o conjunto D não é explicitado, convenciona-se tomar o maior subconjunto possível para o qual f está definida. O conjunto B é o chamado contradomínio de f, e é lá que a função f identifica os possíveis valores para a variável dependente. Já o conjunto f (D), constituído de todos os possíveis valores de f (x) para x ∈ D, é chamado de imagem de f.

Essa denominação é bastante gráfica, pois se D e B forem subconjuntos do conjunto dos números reais R a imagem de f é a projeção do gráfico de f sobre o eixo das ordenadas (veja uma possível ilustração na Figura 2). Há várias formas de descrever como essa correspondência é feita. Essa descrição pode ser verbal, feita por meio de um texto que explica como as variáveis se relacionam, ou por meio de uma tabela, mostrando alguns valores significativos que a variável dependente assume conforme o valor da variável independente. Além disso, uma função pode ser representada por meio de uma fórmula matemática, ou então por meio de um desenho ou gráfico.

A idéia de desenhar o comportamento das funções em um plano está associada à necessidade de representar figuras tendo alguma referência espacial. Com o uso dessa representação, passou-se a utilizar um plano com duas retas graduadas ortogonais destacadas, uma para representar os valores de x e outra os valores de y. Ou seja, para cada ponto P, precisamos ter um par de números indicando sua posição: o número x, que inicialmente era chamado de “corte” do ponto P, e depois ficou conhecido como abscissa (do latim “cortar”); e um segundo número y (conhecido como ordenada). Os termos abscissa, ordenada e coordenadas foram usados pela primeira vez por Leibniz em 1692.

O plano para representar posições recebeu posteriormente o nome de plano cartesiano, em homenagem a Descartes, que em 1637 teve a idéia de tratar as curvas geométricas por meio de expressões algébricas, originando assim a Geometria Analítica. No plano cartesiano, as duas retas de referência recebem o nome de eixos coordenados, como na Figura 1.

Figura 2. Ilustração de possível condição de domínio e imagem de uma função f.

Vejamos agora um exemplo de uma função representada de diversas formas:

a) Registro verbal: Uma formiga se move sobre uma régua em linha reta na direção crescente dos centímetros, com velocidade constante de 2 cm por segundo. Supondo que, quando começamos a observar a formiga, ela se encontra a 4 cm da origem, onde ela estará após 5 segundos?

b) Tabela:

 

c) Fórmula algébrica: Chamando de t o tempo de percurso da formiga e de S sua posição, temos que para o valor t = 0 s, a formiga está na posição S = 4 cm. A cada segundo, somam-se 2 cm à sua posição. Assim, para t = 1 s, temos S = 2 + 4 = 6 cm. Para t = 2 s, temos S = 2 x 2 + 4 = 8 cm. Generalizando esse procedimento, vemos que a fórmula para o deslocamento da formiga é:

S = 2t + 4

d) Gráfico: No caso, podemos obter o valor desejado: após 5 s de passeio a formiga está na posição 12 cm. Observe que a linguagem gráfica às vezes pode trazer informação adicional. No caso da formiga, não foi informado o que ocorria antes de começarmos a observar, ou seja, no tempo “negativo” que veio antes do início da observação (ou o que viria depois da observação). Além disso, se a informação fosse só a fornecida pela tabela, não teríamos condições de saber exatamente qual é a função. Existem situações em que não é possível obter determinada representação para uma dada função. Em outras situações, pode ocorrer que uma certa representação seja muito mais útil que as demais. Por isso é importante conhecer todas.

2 SIMETRIAS:

TRANSLAÇÃO, ROTAÇÃO, REFLEXÃO:

Encontramos vários exemplos de figuras simétricas na natureza. Muitos seres vivos têm uma configuração simétrica. Uma idéia de figuras simétricas é a encontrada nas gravuras abaixo. Se dobrarmos a folha de papel ao longo das retas tracejadas, a figura se sobrepõe. Estas retas são chamadas de eixos de simetria. Muitas vezes nem percebemos, mas há várias figuras simétricas na natureza. Veja os eixos de simetria indicados abaixo.

Esse tipo de simetria é chamado de especular, por lembrar a reflexão do espelho. Há outras formas de simetria que são bastante interessantes. Para isso vamos pensar um pouco nos movimentos que podemos fazer com uma figura em um plano. Podemos definir uma transformação geométrica em um plano como uma correspondência um a um entre pontos do plano. Assim, por meio de uma transformação, os pontos de uma dada figura no plano correspondem a uma outra figura (sua imagem) no mesmo plano. As transformações que não alteram as distâncias entre os pontos relacionam figuras congruentes, e são ditas transformações isométricas.

Por não distorcer as imagens, essas transformações são chamadas de movimentos rígidos no plano. As transformações isométricas de um plano são translação, reflexão e rotação, e todas as combinações entre esses movimentos. Translação é a transformação em que todos os pontos de uma figura se deslocam numa mesma direção, sentido e de uma mesma distância. Essa direção pode ser horizontal, vertical ou uma combinação delas. Reflexão em relação a alguma reta m, que pode ser chamada de eixo de reflexão ou de simetria, é a transformação que a cada ponto P associa o seu simétrico P’ em relação a m, isto é, m é a mediatriz do segmento PP’. Se dobrarmos a folha de papel ao longo de m, os pontos P e P’ se sobrepõe. Rotação é o giro da figura em torno de algum ponto e de um determinado ângulo. Veja exemplos de transformações sobre o desenho da figura abaixo:

Esses movimentos, bem como suas combinações, geram padrões que são muito utilizados na arte, na arquitetura e na decoração. Considerar esses movimentos no plano pode ser útil para compreendermos as funções matemáticas. Por outro lado, as funções podem nos ajudar a compreender e representar melhor essas e outras transformações.

3 DESENHANDO COM FUNÇÕES:

Os quatro quadrantes em que um plano cartesiano fica dividido por seus dois eixos oferecem várias oportunidades de aplicar a idéia de transformações a desenhos de funções. Para entender como funciona, vamos pensar em um ponto P representado por um par (x,y). Se os números x e y forem positivos não nulos, então o ponto está representado no primeiro quadrante. O que ocorre se tomarmos o ponto Q representado pelo par (-x,y)? O ponto terá a mesma ordenada y que o ponto P, mas vai ocupar o lugar simétrico ao ponto P em relação ao eixo y. Se tomarmos o ponto T (x,-y), esse ponto é simétrico a P em relação ao eixo x. Já um ponto S (-x,-y) está no terceiro quadrante.

Ele pode ser obtido a partir de P por meio de uma rotação em torno da origem (0,0) e de ângulo 180°. Note que S pode também ser obtido a partir de P por duas sucessivas reflexões em relação aos eixos coordenados. Veja a ilustração abaixo:

Estas mesmas relações podem ser empregadas quando fazemos algumas operações com a função ou com a variável independente. Se uma função f : R →R possui uma representação gráfica como segue, vejamos o que ocorre quando tomamos y = f (x), y = f (–x), y = –f (x), e y = –f (–x).

Observe a figura abaixo. Nela estão desenhados os gráficos de y = f (x), y = f (–x), y = –f (x), e y = –f (–x). Em cada gráfico identifique o domínio e a imagem, observando as alterações em comparação ao domínio e imagem de y = f (x).

Dado o gráfico de uma função, podemos fazer translações, rotações e reflexões. Você verá exemplos disso ao estudar algumas funções específicas neste módulo. O que ocorre com o gráfico de uma função se somamos ou subtraímos a ela uma constante? Em y = f (x), se somamos ou subtraímos uma constante à variável dependente y, faremos seu gráfico deslocar-se pelo plano cartesiano. Observe o desenho abaixo e tire suas conclusões.

 

Figura 10. Gráfico de y = f(x) e translações verticais.

Observe agora o que ocorre quando somamos ou subtraímos uma constante à variável independente em y = f (x). Tire suas conclusões.

4 Retas e parábolas:

DESENHANDO RETAS:

AS FUNÇÕES POLINOMIAIS DO PRIMEIRO GRAU:

Uma função polinomial de primeiro grau é da forma y = ax + b, onde a e b são constantes, x é a variável independente, y é a variável dependente e a ≠ 0. Observemos que, se a = 0, temos y = b, que é uma função constante. O gráfico de y = b é uma reta horizontal, ou seja, uma reta paralela ao eixo das abscissas, pois para qualquer valor de x, o valor de y é sempre o mesmo: b. Nesse caso, a função y = b é uma função polinomial de grau zero. Quando a ≠ 0, o gráfico de y = ax + b é uma reta não horizontal mas também não vertical – lembre que uma reta vertical não pode ser gráfico de uma função. Vamos entender porque o gráfico de y = ax + b é uma reta.

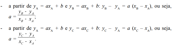
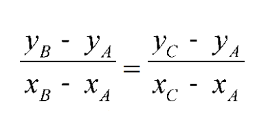
Seja A = (xA, yA) um ponto do gráfico, isto é, de yA = axA + b. Se B = (xB, yB) e C = (xC, yC) são outros dois pontos do gráfico não coincidentes e distintos de A, temos: yB = axB + b e yC = axC + b. É preciso observar que, em se tratando de três pontos distintos do gráfico de uma função, as abscissas de A, B e C são duas a duas distintas. Então, temos:

Assim, na figura acima, observamos que os triângulos ABP e ACQ são semelhantes pelo caso LAL de semelhança, pois possuem um ângulo reto e os lados adjacentes a esse ângulo respectivamente proporcionais, já que

Dessa maneira, o ângulo de vértice no ponto A no primeiro triângulo é congruente ao ângulo de vértice no ponto A no segundo triângulo, ou seja, o ponto C está alinhado com os pontos A e B. A reta que contém esses pontos é aquela cujo coeficiente angular é precisamente a, que é a medida da tangente trigonométrica do ângulo de inclinação a da reta ângulo que a reta forma com o semi-eixo horizontal positivo. Por quê? Justifique. Uma vez que o raciocínio feito para A, B e C pode ser repetido para qualquer ponto do gráfico da função y = ax + b, concluímos que o gráfico é, de fato, uma reta. A partir do gráfico da função mais simples desse tipo, que é y = x, podemos entender o gráfico de qualquer outra função desse mesmo tipo.

Dessa maneira, variando o coeficiente a > 0 em y = ax, observamos que o ângulo de inclinação da reta varia: se a > 1, o ângulo é maior que 45°; se 0 < a < 1, o ângulo é menor que 45°.

Se o coeficiente a é negativo, o raciocínio é semelhante. Examinamos inicialmente o caso em que a = –1. O gráfico de é a reflexão do gráfico de y = x com relação ao eixo horizontal.

Dessa maneira, o coeficiente a < 0 em y = ax também faz mudar o ângulo de inclinação da reta: se a < –1, temos a reta numa posição mais próxima da vertical; se –1 < a < 0, a reta se encontra numa posição mais próxima da horizontal.

Observe que o gráfico de cada uma dessas funções é simétrico relativamente ao eixo x, ao da função que tem o mesmo coeficiente, mas com sinal positivo, na Figura 16. Uma vez entendida a ação do coeficiente a, precisamos entender qual o papel do coeficiente b na equação y = ax + b. Basta observar um caso simples e, a partir daí, a generalização é imediata. De fato, comparando os gráficos de y = x e de y = x +1, observamos que, ao fazer o segundo gráfico, para um mesmo valor de x a ordenada foi acrescida de uma unidade quando comparada àquela do ponto correspondente no gráfico de y = x. Por isso, no gráfico de y = x + 1 ocorreu uma translação vertical de uma unidade quando comparado ao gráfico de

Para qualquer outro valor do coeficiente b acontece algo análogo: se b > 0 há uma translação vertical para cima; se b < 0 há uma translação vertical para baixo.

Assim, para obter o gráfico, por exemplo, da função y = – 3/2 x  +2/3 , fazemos vários gráficos intermediários a fim de entender os movimentos ocorridos, a partir do gráfico de y = x.

5 DESENHANDO PARÁBOLAS:

AS FUNÇÕES POLINOMIAIS DO SEGUNDO GRAU:

A função polinomial do segundo grau, ou função quadrática, mais simples, é dada pela expressão y = x2 e tem por gráfico uma curva denominada parábola. Como sempre, x é a variável independente e y é a variável dependente.

A partir do gráfico dessa função, podemos entender o gráfico de qualquer função polinomial do segundo grau, dada por y = ax2 + bx + c, onde a, b e c são constantes, sendo que a é não nulo. O que acontece se o coeficiente a é zero? Entretanto, como veremos a seguir, precisamos escrever a função num outro formato: y = a(x + m)2 , onde a, m e k são constantes, a ≠ 0, que se relacionam com a, b e c, dados inicialmente, o que também será detalhado mais adiante. Como fizemos no caso das funções de primeiro grau, vamos entender primeiro qual é a ação do coeficiente a. Para tanto, vamos examinar o caso das funções do tipo y = ax2 , com a ≠ 0. Primeiramente, se a > 0, observe na figura abaixo: para cada valor não nulo da abscissa x, o valor da ordenada correspondente é, respectivamente,

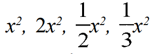
Além disso, para x = 0 temos sempre x = 0, o que significa que todas as curvas passam pela origem. Dessa maneira, o coeficiente a > 0 em y = ax2 faz mudar o ângulo de inclinação da curva2 : se a > 1, o ângulo aumenta (a parábola fica mais “fechada”), se 0 < a < 1, o ângulo diminui (a parábola fica mais “aberta”).

Se o coeficiente a é negativo, a situação é, de certa maneira, semelhante. Examinemos inicialmente o caso em que a = –1. O gráfico de y = –x2 é a reflexão do gráfico de y = x2 com relação ao eixo horizontal. Por quê?

Também agora, se a < 0, observe na figura abaixo: para cada valor não nulo da abscissa x, o valor da ordenada correspondente é, respectivamente, –x2 ,

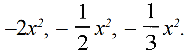
Além disso, como antes, para x = 0 temos sempre y = 0, o que significa que todas as curvas passam pela origem. Dessa maneira, o coeficiente a < 0 em y = ax2 , como antes, faz mudar o ângulo de inclinação da curva: se a < – 1, a parábola fica mais “fechada”, se –1 < a < 0, a parábola fica mais “aberta”.

Vamos agora analisar o caso de funções do tipo y = ax2 + k, a ≠ 0. Para tanto, na figura abaixo estão os gráficos de funções desse tipo para alguns possíveis valores de k.

Novamente, basta observar um caso simples e, a partir daí, a generalização é imediata. De fato, comparando os gráficos de y = x2 e de y = x2 + 1, observamos que no segundo gráfico ocorreu uma translação vertical de uma unidade, pois para um mesmo valor de x, a ordenada do ponto, no segundo gráfico, foi acrescida de uma unidade quando comparada àquela do ponto correspondente no gráfico de y = x2 . Para qualquer outro valor do coeficiente k acontece algo análogo: se k > 0 há uma translação vertical para cima; se k < 0 há uma translação vertical para baixo. Qual é o vértice de uma parábola dada por y = ax2 + k, a ≠ 0? Analisemos agora o caso da função y = a(x + m)2 , a ≠ 0. Vamos examinar os gráficos das funções y = x2 , y = (x + 1)2 e y = (x – 2)2 , pois o entendimento de casos particulares vai nos levar imediatamente à generalização necessária.

É preciso observar que em y = (x + 1)2 o valor x = –1 exerce o mesmo papel que x = 0 em y = x2 , que é o de zerar a variável dependente y. O mesmo acontece com x = 2 em y = (x – 2)2 . Uma análise relativa a todos os outros valores das abscissas nos mostram que o gráfico de y = (x + 1)2 sofreu uma translação horizontal de –1 unidade (isto é, de uma unidade para a esquerda), enquanto que o gráfico de y = (x – 2)2 sofreu uma translação horizontal de duas unidades (ou seja, de duas unidades para a direita) quando comparados ao gráfico da função mais simples y = x2 .

Evidentemente, para qualquer outro valor de m, a análise é semelhante. Vejamos então como fazer o gráfico de, por exemplo,

fazendo os vários gráficos intermediários a fim de entender os movimentos ocorridos, a partir do gráfico de y = x2 .

6 COORDENADAS DO VÉRTICE DE UMA PARÁBOLA:

COMPLETANDO QUADRADOS:

Como vimos, o gráfico de y = x2 é uma parábola cujo vértice é o ponto (0,0), enquanto que o gráfico de

uma parábola cujo vértice é o ponto 

Assim, quando a função quadrática está dada no formato em que são visíveis as translações horizontal e vertical em relação ao gráfico de y = x2 , automaticamente temos as coordenadas do vértice da parábola correspondente. A questão toda está centrada no seguinte problema: dada uma função polinomial do segundo grau y = ax2 + bx + c, como é possível reescrevê-la de maneira tal que seu gráfico possa ser enxergado como resultado de movimentos realizados no gráfico de y = x2 ? Vejamos por meio de um exemplo inicial como é possível resolver esse problema.

Seja y = x2 – 4x + 5. Essa expressão pode ser reescrita da seguinte maneira: y = x2 – 4x + 5 = x2 – 4x + 4 + 1, pois 4x = 2 . x . 2. Assim, y = x2 – 4x + 5 = (x – 2)2 + 1, de onde podemos observar a translação horizontal de duas unidades e a translação vertical de uma unidade, em comparação ao gráfico de y = x2 . Esboce o gráfico da função y = x2 – 4x + 5. Qual o vértice da parábola obtida?

Vejamos agora um exemplo um pouco mais “difícil”:

 

O processo desenvolvido é denominado completamento de quadrados, pois a grande questão foi a de obter o quadrado de uma soma ou de uma diferença. Completar quadrados é útil para escrever a expressão da função polinomial de segundo grau de maneira que a compreensão de seu gráfico a partir da função mais simples y = x2 seja imediata, facilitando, em particular, a determinação das coordenadas do vértice da parábola, evitando a necessidade de decorar fórmulas. A fim de resolver o problema geral colocado, precisamos fazer o mesmo cálculo, mas de maneira formal, com coeficientes literais.

É bom observar que as coordenadas do vértice estão automaticamente determinadas na última expressão escrita, além de estarem claramente explícitas as translações horizontal e vertical e a mudança de inclinação em relação ao gráfico da função mais simples y = x2 . Além disso, nessa última expressão é possível perceber a maneira pela qual se relacionam a, m e k com a, b e c, conforme havíamos anunciado. Escreva a, m e k em função de a, b e c.

QUEM PRECISA DE FÓRMULAS?

Em Matemática, muitas vezes, você acaba decorando procedimentos e, portanto, regras ou fórmulas, de tanto utilizá-las. Mas esse não é o principal objetivo. Os raciocínios envolvidos, as estratégias utilizadas e os atalhos buscados envolvem criatividade e esperteza. E aí se encontra um interessante objetivo presente em qualquer curso de Matemática: resolver problemas tentando minimizar esforços, de maneira significativa. A determinação das raízes de uma equação polinomial de segundo grau é exemplo de uma situação na qual o fato de saber uma fórmula decorada, sem significado, é desnecessário. Observe que, completando quadrados, imediatamente é possível encontrar as raízes da equação.

PARÁBOLAS ATRAVÉS DE DOBRADURAS:

Muito embora você estude as secções cônicas no contexto de Geometria Analítica, vamos propor aqui uma atividade interessante envolvendo as parábolas, já que as utilizamos amplamente. Essa atividade consiste na construção de uma parábola através de dobradura. É conveniente realizá-la em papel vegetal, por ser um papel que possui a consistência adequada. Em sua folha, desenhe uma reta e um ponto não pertencente a ela. Em seguida, dobre o papel de modo que o ponto fique sobre a reta; desdobre-o e dobre-o novamente com a mesma condição: o ponto deve ficar sobre a reta. Faça isso muitas vezes, até você encontrar o resultado esperado: a parábola construída por meio de suas tangentes5 . Evidentemente, é preciso mostrar que de fato isso é verdade: ou seja, cada uma das retas construídas – as dobras – é uma reta tangente, isto é, possui um ponto que satisfaz a definição de parábola e esse é o único ponto da reta com tal propriedade.

1) Existe um ponto que satisfaz a definição de parábola:

 

Basta observar que a “dobra” é a mediatriz do segmento FD6 e o ponto T é a intersecção da dobra com a perpendicular a d pelo ponto D. Sendo assim, pela congruência dos dois triângulos determinados, concluímos que os segmentos TF e TD são congruentes, logo T pertence à parábola.

2) O ponto T é o único ponto que satisfaz a definição de parábola e que se encontra na “dobra”.

De fato, se existisse outro ponto T’ na mesma “dobra”, teríamos novamente que os segmentos T’F e T’D seriam congruentes pela definição de mediatriz. Mas T’D>T’D’, pois T’D é a hipotenusa do triângulo retângulo T’D’D. Assim sendo, T’ não pertence à parábola. Examine a sua curva construída no papel vegetal. Observe que a reta dada inicialmente é a diretriz d e que o ponto dado é o foco F. Observe também que o vértice de sua parábola se encontra na reta perpendicular, traçada por F, à diretriz d. Mais uma observação importante é o fato de que essa perpendicular é justamente o eixo de simetria da parábola. Como exemplo de determinação do foco e da diretriz do gráfico de uma função polinomial do segundo grau, utilizando não fórmulas decoradas, mas a definição de parábola, vamos examinar o caso de y = x2 .

Uma vez que o vértice da curva é o ponto O = (0, 0) – não esqueça que o vértice, sendo um ponto da curva, precisa satisfazer a propriedade que caracteriza a parábola – a fim de determinar o foco e a diretriz, vamos procurar um ponto F = (0, p) e uma reta y = – p, pois dessa forma a distância de O a essa reta é p, e a distância de O a F também é p. O parâmetro p precisa ser determinado a fim de encontrar F e d. Para tanto, vamos impor a condição: a distância de qualquer ponto P = (x, y) da curva ao ponto F seja a mesma do que a distância do ponto P à reta diretriz d.

7 Algumas outras funções e seus gráficos:

A FUNÇÃO MÓDULO DE UM NÚMERO REAL:

O conceito de módulo de um número real está associado à idéia de distância de um ponto da reta à origem. Como existe uma correspondência biunívoca entre os pontos da reta e os números reais, pensar na distância de um ponto à origem ou pensar no módulo de um número é exatamente a mesma coisa. Dessa maneira, |5| = 5 e |–5| = 5, pois o número 5 está a uma distância de 5 unidades da origem, e o ponto –5 também está a 5 unidades da origem. De modo geral, definimos o módulo de um número real a da seguinte maneira:

  • se a > 0, |a| = a;
  • se a < 0, |a| = – a;
  • se a = 0, |0| = 0.

Podemos definir uma função que, a cada número real x associa o módulo de x, ou seja, a distância de x à origem. Temos assim:

Com efeito, para os valores positivos ou zero da variável independente x, o valor da variável dependente y é o mesmo que x, pois y = x; para valores negativos de x o valor de y é –x, pois y = –x. Dessa forma, o gráfico é formado por duas semi-retas de mesma origem. Outra maneira interessante de olhar para o gráfico de y = |x| é considerar que ele coincide com a reta y = x para valores de x positivos ou zero, enquanto para valores negativos de x, tomamos a semi-reta “rebatida”, pois, nesse caso, |x| = – x. Esta semi-reta “rebatida”, evidentemente, é simétrica à original em relação ao eixo horizontal.

Essa última consideração nos permite entender rapidamente como será o gráfico de y = |f (x)| para uma dada função f conhecida. De fato,

e, portanto, seu gráfico:

  1. coincide com o gráfico de f para todos os valores da variável independente x nos quais a variável dependente é positiva ou zero;
  2. é o “rebatido” ou o simétrico do gráfico de f em relação ao eixo horizontal, para todos os valores da variável independente x nos quais a variável dependente é negativa.

Tudo o que vimos até aqui nos permite resolver um grande número de problemas, como diversas inequações.

Seja, por exemplo, a inequação |1–|2x – 1|| > |1 – 3x| – 3.

Inicialmente, vejamos a situação graficamente, esboçando os gráficos das funções envolvidas na inequação dada, ou seja, y = |1 – |2x – 1|| e y = |1 – 3x| – 3.

Precisamos encontrar as intersecções entre os gráficos das duas funções. Para tanto, basta resolver as equações:

1) – (1 – (– (2x – 1))) = 1 – 3x – 3 ou seja, – 2x = – 3x – 2

2) – (1 – (2x – 1)) = – (1 – 3x) – 3 ou seja, 2x – 2 = 3x – 4

Há vários raciocínios em termos de gráficos originais e rebatidos para chegar às duas equações. Confira com cuidado! Da primeira equação, obtemos x = – 2 e, da segunda, x = 2, que fornecem as abscissas dos pontos de intersecção dos dois gráficos. Como a inequação proposta |1 – |2x – 1|| ≥ |1 – 3x| – 3, “exige” que o gráfico da função do primeiro membro esteja acima ou coincidente com o gráfico da função do segundo membro, o conjunto solução é: S = { x ∈ R: – 2 ≤x ≤ 2} ou, em notação de intervalo, S = [–2, 2]. Como outro exemplo, vamos resolver a inequação |3x + 4| < |2x2 + 4x – 3|. Em primeiro lugar, vamos esboçar os gráficos das funções envolvidas, antes separadamente, depois no mesmo sistema de eixos cartesianos.

Observe que construímos esses gráficos a partir dos gráficos das funções mais simples, y = x e y = x2 , respectivamente. Identifique, nas figuras abaixo, cada um dos gráficos desenhados.

Colocando os dois gráficos no mesmo sistema de eixos, temos:

A fim de resolver a inequação |3x + 4| < |2x2 + 4x – 3|, vamos inicialmente determinar as intersecções dos dois gráficos. Embora nem todas estejam visíveis na figura, precisamos investigar a ocorrência de intersecções em:

  • Original da função do primeiro grau com original da função do segundo grau: 3x + 4 = 2x2 + 4x – 3
  • Original da função do primeiro grau com rebatida da função do segundo grau: 3x + 4 = – (2x2 + 4x – 3)
  • Rebatida da função do primeiro grau com original da função do segundo grau: – (3x + 4) = 2x2 + 4x – 3
  • Rebatida da função do primeiro grau com rebatida da função do segundo grau: – (3x + 4) = – (2x2 + 4x – 3)

Na realidade, essas quatro equações ficam reduzidas apenas a duas:

3x + 4 = 2x2 + 4x – 3 e 3x + 4 = – (2x2 + 4x – 3). Por quê?

Como é preciso que |3x + 4| < |2x2 + 4x – 3|, estamos buscando os valores de x para os quais o gráfico de y = |3x + 4| fica abaixo do gráfico de y = |2x2 + 4x – 3|.

Logo, o conjunto solução é dado por: