Comparação entre a modelagem numérica e experimental

Gestão e Fiscalização de Obras e Projetos

1 COMPARAÇÃO ENTRE A MODELAGEM NUMÉRICA E EXPERIMENTAL DA DEFORMAÇÃO POR FLUÊNCIA EM VIGAS DE CONCRETO ARMADO

RESUMO

A fluência nas peças de concreto armado é apontada como uma das possíveis causas de casos relatados de destacamentos de argamassa de revestimento e esmagamento de fiadas em alvenaria de vedação vertical em edifícios. Os projetos estruturais têm sido elaborados com parâmetros majoradores de deformação por fluência, tentando minimizar a interação entre a estrutura e as alvenarias. Este trabalho comparou o comportamento de vigas biapoiadas de concreto armado submetidas ao fenômeno da fluência, modeladas pelo Método dos Elementos Finitos (MEF) e calculadas tendo como referência a NBR6118 com vigas ensaiadas experimentalmente. Foram analisados quatro grupos de vigas denominados A, B, C e D com características geométricas iguais, porém com propriedades físicas diferentes. As modelagens foram realizadas nos programas ADINA e DIANA, com modelos tridimensionais. Foram consideradas as tensões de compressão para o estudo do fenômeno. As vigas têm seção transversal retangular, têm comprimento longitudinal de 6m e apenas as armaduras longitudinais são consideradas. O carregamento foi considerado concentrado e aplicado no meio do vão com valor de 2 kN, sendo que nas análises também foi considerado o peso próprio das vigas. Os principais parâmetros considerados na modelagem das vigas foram:
a)Período para o estudo da fluência de 140 dias;
b) consideração da parcela de não-linearidade física do material, caracterizando a perda de rigidez em sua seção transversal.
A avaliação foi realizada comparando os resultados obtidos na modelagem numérica com dados obtidos a partir de ensaios experimentais disponíveis na literatura e, também, com resultados providos a partir de cálculos baseados na NBR 6118/2003. Pode-se concluir que comparadas, todas as curvas apresentaram um bom comportamento qualitativo, ou seja, todas caracterizaram de forma adequada o comportamento assintótico do fenômeno estudado. Entretanto, devido a possíveis problemas ocorridos no ensaio experimental e a validade parcial dos métodos de cálculo da fluência utilizados na análise numérica, não foi possível estabelecer, quantitativamente, a eficiência e a eficácia destes programas quando requeridos a calcular a deformação por fluência em vigas de concreto armado.

2 INTRODUÇÃO

O concreto, como segundo material de maior consumo mundial depois da água, requer uma atenção importante. Bastante difundido e popularmente conhecido esse material exige uma série de cuidados (adensamento, cura, etc...) que precisam ser levados em consideração para que, no futuro, não venham ocorrer problemas patológicos (METHA & MONTEIRO [1994]).
A durabilidade de estruturas em concreto armado e protendido vem despertando, nos últimos anos, bastante interesse no meio acadêmico e técnico. Conceber e construir estruturas em concreto que atendam à segurança, estabilidade e aptidão em serviço durante o período correspondente à sua vida útil é um dos mais importantes objetivos a serem alcançados pelos engenheiros. Segundo a NBR 6118 2003] entende-se por vida útil de projeto o período de tempo durante o qual se mantêm as características das estruturas de concreto desde que atendidos os requisitos de uso e manutenção prescritos pelo projetista e pelo construtor, bem como de execução dos reparos necessários decorrentes de danos acidentais.
O desenvolvimento de novas tecnologias e a necessidade de aperfeiçoamento de novas técnicas vem exigindo que os engenheiros civis busquem novos métodos para tornar cada vez mais seguros e economicamente viáveis os projetos de estruturas de concreto.
As aplicações do concreto em estruturas complexas e grandiosas no Brasil e no mundo são imensuráveis. A importância de um conhecimento mais aprofundado do comportamento de tais estruturas e, principalmente, seu comportamento futuro, aguçam a necessidade de um estudo mais aprofundado das mesmas (NEVILLE [1997]). Assim, o tema abordado neste estudo tem como um de seus objetivos aprimorar o conhecimento do comportamento de estruturas de concreto, no que diz respeito a suas deformações e deslocamentos com o passar do tempo.
O comportamento do concreto é caracterizado por uma complexa relação entre tensão, deformação e tempo. Na aplicação de um carregamento em uma estrutura de concreto, ocorre em primeiro instante, uma deformação instantânea, a qual é seguida de um acréscimo de deformação ao longo do tempo. A deformação no concreto ao longo do tempo devido a uma tensão constante denomina-se fluência. O conhecimento de tal fenômeno foi citado pela primeira em 1907 por Hatt.
Uma vez definido que existam tais deformações, é provável que se as mesmas não forem consideradas de forma correta, isto possa causar patologia a ponto de danificar de forma considerável estruturas em geral.

3 Objetivos

Esse trabalho tem como objetivo principal comparar os valores obtidos para o deslocamento (flecha) devido à fluência, em vigas biapoiadas de concreto armado, por meio da modelagem numérica de dois programas baseados no Método dos Elementos Finitos (MEF) e por meio de ensaios experimentais, citados em FIGUEIREDO [2003]. Esta comparação foi realizada com dados de deslocamentos obtidos pela simulação do fenômeno da fluência em vigas de concreto armado, modeladas nos programas, e com os resultados de deslocamentos obtidos por meio de ensaios experimentais. Os ensaios experimentais foram realizados no Centro de Pesquisa e Desenvolvimento em Construção Civil (CPqDCC) da Escola Politécnica da Universidade de São Paulo (EPUSP).
O objetivo dessas comparações é tentar fornecer aos usuários de tais programas a idéia de quanto eficaz e eficiente os mesmos são quando requeridos a modelar o fenômeno da fluência em estruturas de concreto armado. Foi realizado também o procedimento de cálculo da fluência, nas vigas de concreto armado, tendo como referência a norma brasileira de concreto NBR 6118/2003. Os resultados de deformação e de deslocamento, encontrados pelo cálculo da NBR 6118, também serão comparados com os resultados provenientes das modelagens numéricas assim como dos ensaios experimentais.

4 JUSTIFICATIVA

Patologias no comportamento das alvenarias de vedação têm sido, nos últimos anos, apontados como uma das principais ocorrências do pós-obra nos edifícios constituídos em estruturas de concreto armado. O volume de casos relatados de destacamentos de argamassa de revestimento, de esmagamento de fiadas de encunhamento e outros, têm sido a causa de sérios prejuízos ao setor da construção civil. Além disso, há muito desgaste na relação de confiança entre os construtores e seus clientes finais, que não conseguem conviver com tais fenômenos sem sentiremse inseguros e, até enganados. Este tema foi abordado em um ciclo de debates ocorrido no 46º IBRACON do ano de 2004 na cidade de Florianópolis. Neste ciclo discutiu-se à respeito de possíveis patologias ocorridas em estruturas de concreto devido ao fenômeno da fluência
A ocorrência da fluência nas peças de concreto é considerada como uma das principais causas do fenômeno. Por outro lado, o mecanismo de distribuição das deformações entre a estrutura de concreto, as vedações e a grandeza esperada para a intensidade das deformações tem apresentado resultados muito variáveis. Tendo em vista essas dificuldades, os projetos estruturais têm sido elaborados com parâmetros conservadores de deformação por fluência. Estes parâmetros visam minorar a interação entre a estrutura e as alvenarias, associado a um rigor muito grande quanto ao tempo de fixação e quantidades de re-escoramentos. Deste modo, aumenta-se o custo das estruturas de concreto armado reduzindo sua competitividade sem, no entanto, resolver de forma definitiva o problema.

. ORGANIZAÇÃO DO TEXTO

No segundo capítulo são mostrados conceitualmente alguns tipos de deformação que ocorrem no concreto. Neste capítulo também é feita uma abordagem teórica sobre o comportamento da fluência em estruturas de concreto. O capítulo terceiro vem mostrar alguns dos principais fatores que afetam a fluência no concreto. Nele é mostrado como e o quanto cada um desses fatores influenciam de forma bastante significativa na deformação por fluência em estruturas de concreto armado. O quarto capítulo relata sobre os aspectos reológicos e como esses podem ser aplicados ao material concreto. Nele são mostrados quais os tipos de modelos reológicos básicos que podem ou não ser associados para tentar simular o real comportamento do mesmo.
No capítulo cinco é discutido como se caracterizada uma função e um coeficiente de fluência, e qual a melhor forma de utilização dos mesmos. Serão também mostrados e discutidos alguns dos métodos para a análise da fluência citados na literatura e utilizados neste trabalho No sexto capítulo é apresentada a formulação para o cálculo da deformação ao longo do tempo (fluência) segundo a norma brasileira NBR 6118/2003. Também e feita uma descrição da realização de ensaio para a determinação do fenômeno da fluência para concreto endurecido segundo a NBR 8224/1983. Além disso, é mostrado como deve-se efetuar o cálculo para a consideração da perda de rigidez devido à fissuração em estruturas lineares de concreto armado.
O capítulo sete mostra a caracterização do material estudado, ou seja, o que foi levado em consideração para a análise das vigas neste trabalho. Além disso, esse capítulo também vem mostrar de forma sucinta como foi feita a realização do ensaio experimental bem como as irregularidades ocorridas no mesmo. No oitavo capítulo é apresentado, simplificadamente, o comportamento da deformação por fluência no Método dos Elementos Finitos (MEF). Também serão apresentadas as considerações utilizadas nos programas que foram usados para a determinação da fluência nas vigas em estudo. Será apresentada também a descrição das modelagens geométricas e por fluência em ambos os programas e as considerações que foram utilizadas em cada software para a descrição do fenômeno.
Os quatro últimos capítulos contêm as comparações dos resultados, a conclusão, a proposta para o próximo trabalho e as referências bibliográficas, respectivamente.

TIPOS DE DEFORMAÇÕES NO CONCRETO

A princípio, devido à aplicação de um carregamento, ocorre uma deformação imediata, que é totalmente dependente da intensidade da tensão aplicada. Esta deformação se dá em regime elástico, proveniente de uma relação entre tensão e deformação definida pela Lei de Hook, formulada em 1678, na qual para toda tensão existe uma deformação que varia em regime linear. Contudo, o concreto não é um material verdadeiramente elástico e nem suas deformações são uniformes ao longo da peça, podendo assim haver uma variação de tensão de ponto a ponto.
Em verdade, a hipótese de considerar o módulo de elasticidade constante para diversos materiais (princípio básico da Teoria da Elasticidade), o que inclui o concreto, só é considerada válida e de maneira aproximada, se levadas em conta regiões com baixas tensões e um período curto de carregamento. Além da deformação dita elástica, em quaisquer outras condições pode haver o aparecimento de deformações plásticas, onde sua importância, levando em conta a distribuição de tensões, não pode ser desprezada.
NEVILLE [1997] classifica três tipos principais de deformações ao longo do tempo: deformação elástica instantânea ou imediata, deformação elástica retardada e deformação lenta ou por fluência. A deformação elástica instantânea ou imediata, é aquela que ocorre simultaneamente ou imediatamente após a introdução de um carregamento. Neste caso, é considerado que exista uma total reversibilidade da deformação, porém, isso só será válido se a aplicação de carga e descarga for feita em um curto intervalo de tempo: Ao aumentar o intervalo de tempo para um ciclo de carga e descarga, haverá um aumento considerável no módulo de elasticidade do material com o tempo, esse aumento acarretará em uma reversibilidade parcial da deformação, classificada como deformação parcial ou deformação elástica retardada. Essa deformação ocorre com uma velocidade muito menor do que a da deformação elástica imediata. No entanto, existe ainda uma outra parcela de deformação que se desenvolve com o tempo e que se processa muito mais lentamente. A chamada deformação lenta ou por fluência.

DEFORMAÇÃO ELÁSTICA

Entende-se por deformação elástica toda deformação instantânea, reversível e que cause variação de volume. Ela ocorre pela deformação dos átomos em resposta ao esforço aplicado. Quando é retirada a carga, os átomos retornam à sua posição de repouso. É importante ressaltar que toda deformação elástica é linear, isto é, a deformação é proporcional a tensão aplicada. Para o concreto é salientado que, após o descarregamento em estruturas usuais, parte desta deformação permanece, ou seja, não ocorrerá uma total reversibilidade da mesma.
Como já citado, existe uma relação entre tensão e deformação (lei de Hook); dessa relação a deformação é obtida em função da tensão aplicada e do módulo de elasticidade do concreto no instante da aplicação do carregamento. É importante frisar que a deformação elástica dita imediata ocorre simultaneamente ou imediatamente após a aplicação da carga e depende fundamentalmente da intensidade da mesma.

DEFORMAÇÃO PLÁSTICA

A deformação plástica é considerada instantânea, irreversível e sem variação de volume do material. Após o material apresentar deformação inicial ou instantânea, acima de um determinado valor de carregamento, começam a ocorrer escorregamentos relativos dos átomos e das moléculas do material. Estes escorregamentos dão origem à deformação plástica. Como não ocorre deformação na ligação dos átomos, isto é, não ocorre deformação das ligações interatômicas, não existe variação de volume e, como ocorre também uma mudança na posição relativa dos átomos da estrutura, as deformações são irreversíveis, ou seja, com a retirada do carregamento à parcela de deformação plástica não é mais recuperada. O material fica deformado permanentemente.

DEFORMAÇÃO LENTA OU FLUÊNCIA

Enquanto as deformações elástica e plástica ocorrem simultaneamente à aplicação da carga em todos os materiais, alguns materiais usados na engenharia civil podem sofrer uma deformação adicional se o carregamento for mantido por tempo suficientemente longo. Trata-se da deformação lenta ou fluência. Ela possui dois componentes: um componente elástico e outro viscoso. A velocidade dessa deformação varia de acordo com o tipo material.
De fato, com o carregamento de um corpo de concreto, verifica-se uma deformação imediata ou instantânea que, com o passar do tempo, tende a aumentar assintoticamente para um valor final, alcançado na prática após dois ou três anos (RÜSCH [1981]). O concreto é considerado como um dos poucos materiais onde a influência da deformação lenta é significativa. No aço (utilizados para concreto armado) esta influência é geralmente desprezível. Segundo GRAVINA [1956], “a deformação final, soma das deformações imediatas e por fluência, pode, em condições desfavoráveis, atingir um valor de 4 a 5 vezes maior que a deformação instantânea”.
É correto afirmar que são vários os fatores que influenciam na deformação lenta do concreto e, alguns desses, estão inteiramente ligados a propriedades deste material. Destas influências, pode ser levado em consideração que a fluência está ligada à secagem do concreto no tempo. RÜSCH [1981] cita que a fluência do concreto deve ser atribuída à migração de água, causada pela carga externa, para as camadas de água absorvida da estrutura do gel, bem como o efeito das tensões capilares, ou seja, ao se aplicar carga em um corpo de concreto, existe uma distribuição da mesma pelo esqueleto do sólido e pelas águas dos poros.
GRAVINA [1956] afirma que devido às dimensões muito pequenas dos canais, a água não escoa imediatamente após a aplicação da carga. Sua distribuição sobre a camada líquida gera uma variação no estado de tensão da mesma e, portanto, perturba o equilíbrio higrométrico. As tensões de compressão exercidas na camada de água tendem a diminuir gradativamente, resultando no desaparecimento completo das mesmas, assim, as tensões que anteriormente eram resistidas pela camada de
água, passam a ser agora resistidas gradativamente pelo esqueleto do sólido. Esta migração de esforços termina ao se alcançar novamente o equilíbrio higroscópico, quando a carga passa a ser resistida totalmente pelo esqueleto sólido e se restabelece na água o mesmo estado de tensão que existia antes de aplicar o esforço. RÜSH [1981] mostra as deformações medidas em um ensaio de fluência, em um concreto com aplicação de carga aos 28 dias de idade. O concreto foi descarregado após um ano e novamente carregado após dois anos, Figura
No instante do carregamento ocorreu a deformação elástica εe1; após 1 ano, a deformação havia aumentado de um valor εφ1, sob o efeito contínuo da carga. No descarregamento, a deformação diminuiu imediatamente de aproximadamente εe1. No ano seguinte, ocorreu uma recuperação na deformação, que é explicada devido ao efeito da deformação lenta reversível. Com o novo carregamento aparece uma nova deformação elástica εe2 e uma outra deformação devido à fluência εφ2. Ο valor da deformação lenta é composto por uma parcela de elasticidade retardada e por uma outra parcela correspondente à fluência.
METHA & MONTEIRO [1994] conceituam como fluência básica todo aumento de deformação ao longo do tempo com tensão constante e sob condições de umidade relativa de cem por cento (100%). Esta condição geralmente surge em estruturas de grande porte onde a retração por secagem pode ser desprezada. Quando o concreto está sob carga e simultaneamente exposto a condições de baixa umidade relativa, a deformação total é maior que a soma da deformação elástica, da deformação por retração livre e da deformação por fluência básica (sem secagem), a esta diferença de deformação é dado o nome de fluência por secagem. A fluência total é a soma das fluências básica e por secagem, entretanto, os autores citam que é comum ignorarmos essa distinção entre fluências básica e por secagem e conceituarmos como fluência à deformação sob carga constante, além da soma da deformação elástica e da deformação livre por secagem, Figura 2.3.
Em condições normais de carregamento, a deformação instantânea registrada depende da velocidade da aplicação da carga e inclui, portanto, não apenas a deformação elástica, mas também uma parte da fluência. Como o módulo de elasticidade do concreto aumenta com a idade, a deformação elástica diminui progressivamente e, a rigor, a fluência deveria ser tomada como a deformação que excede a deformação elástica no momento em que a mesma está sendo determinada. Em verdade, é difícil na maioria das vezes fazer a distinção entre a deformação elástica e a fluência inicial por fluência, porém, não existe muita importância em âmbitos práticos em tal distinção. Para fins práticos, se faz uma diferenciação arbitrária: a deformação que ocorre imediatamente ou simultaneamente à aplicação do carregamento é considerada elástica e o aumento subseqüente dessa deformação devido a carga constante é considerado como fluência.

5 REVERSIBILIDADE

O problema da natureza da fluência é bastante complexo. A principal causa do fenômeno é a pasta de cimento hidratado (C-S-H). A fluência está relacionada com a movimentação interna de água absorvida ou intercristalina como já mencionado, isto é, percolação interna. METHA & MONTEIRO [1994] cita que ensaios de Glucklich* mostraram que um concreto do qual foi removida toda água evaporável não apresentou praticamente nenhuma fluência.
É possível que ocorra a percolação interna da água das camadas absorvidas para os vazios como os poros capilares. Uma evidência indireta do papel desses vazios é a relação entre a fluência e a resistência da pasta de cimento hidratado: aparentemente a fluência é uma função dos espaços não preenchidos e pode-se especular dizendo que são os vazios do gel que determinam tanto a resistência quanto a fluência. Neste último caso, os vazios podem ser relacionados com a percolação. O volume desses vazios é, naturalmente, uma função da relação água/cimento e éinfluenciado pelo grau de hidratação. RÜSH [1981].
É razoável imaginar que, depois de vários anos sob carregamento, a espessura das camadas de água absorvida possa ser reduzida a tal ponto que mais nenhuma redução seja possível sob a mesma tensão, e se registrou fluência mesmo após 30 anos. Portanto, é provável que a parte lenta da fluência, a longo prazo, seja devida a outras causas e não somente a percolação da água. Isso pode sugerir escoamento ou escorregamento viscoso entre as partículas de gel. Esses mecanismos são compatíveis com a influência da temperatura sobre a fluência e podem explicar também a parcela nitidamente irreversível da fluência em longo prazo. NEVILLE [1997]. NEVILLE [1997] também cita que foi desenvolvido por McHenry um tratamento possível da recuperação parcial da fluência a partir do princípio da superposição de deformações. Esse tratamento estabelece que as deformações produzidas no concreto a qualquer tempo t por um incremento de tensão aplicado em um momento qualquer t0, são independentes dos efeitos de qualquer tensão aplicada antes ou depois de t0. Segue então que, se a tensão é removida à idade t1, a recuperação resultante da fluência será igual à fluência de um elemento semelhante submetido a uma tensão igual de compressão à idade t1. A Figura 2.4 ilustra essa afirmativa, e pode ser visto que a recuperação é representada pela diferença entre a tensão real em qualquer momento e a tensão que existiria no mesmo momento se o elemento continuasse submetido à tensão de compressão inicial.
Um aspecto relevante citado por METHA & MONTEIRO [1994] é que o comportamento típico do concreto na molhagem e na secagem ou no carregamento e descarregamento é bastante semelhante, figuras 2.5 e 2.6. Tanto o fenômeno de retração por secagem quanto o de fluência no concreto apresentam um grau de irreversibilidade que possui importância prática. A Figura 2.5 mostra que após a primeira secagem, o concreto não retornou a sua dimensão original mesmo depois de molhado. A retração por secagem, portanto, foi classificada em retração reversível, que é a parte da retração total reproduzível em ciclos de molhagem-secagem; e retração irreversível, que é a parte da retração total na primeira secagem que não pode ser reproduzida em ciclos subseqüentes de molhagem-secagem.
Quando a amostra é descarregada, a recuperação instantânea ou elástica é aproximadamente da mesma ordem da deformação elástica resultante da primeira aplicação da carga. recuperação instantânea é seguida por uma redução gradual da deformação chamada recuperação da fluência. Embora a recuperação da fluência ocorra mais rapidamente que a fluência, a reversão da deformação por fluência não é total. Analogamente a retração por secagem, Figura 2.5, esse fenômeno é definido pelos termos correspondentes, fluência reversível e irreversível.
No próximo capítulo serão comentados alguns fatores que influenciam, de forma significativa, no desenvolvimento da deformação por fluência. Esses fatores são, por exemplo, a umidade, a temperatura, os materiais, a geometria da peça, os aditivos e adições, entre outros. A importância do conhecimento de como tais fatores influenciam na deformação por fluência do concreto é de vital importância, pois, serão estes mesmos fatores que irão ditar como irá se comportar a estrutura, em relação a sua deformação por fluência, ao longo do tempo. Tais fatores se encontram apresentados no próximo capítulo.

6 FATORES QUE AFETAM A FLUÊNCIA NO CONCRETO

Verifica-se, na prática, que a fluência depende de vários fatores relacionados entre si. Essa interligação proporciona uma abordagem um pouco complexa. Sendo assim, este capítulo abordará de forma bastante simples e restrita alguns dos principais fatores que afetam a fluência no concreto. Algumas características da fluência decorrem das propriedades intrínsecas das misturas, outras das condições externas. As variações da umidade na pasta endurecida de cimento, que essencialmente é quem controla as deformações de retração por secagem e de fluência no concreto, são influenciadas por numerosos fatores simultâneos inter-relacionados (METHA & MONTEIRO [1994].

MATERIAIS E DOSAGEM

Segundo NEVILLE [1997], deve ser notado que realmente é a pasta de cimento hidratado que apresenta fluência, sendo o papel do agregado basicamente o de contenção; os agregados não são sujeitos à fluência quando submetidos às tensões usuais no concreto. Assim, o autor afirma que a fluência é uma função do teor, em volume, da pasta de cimento no concreto, mas a dependência não é linear . Existe uma relação entre a fluência do concreto, o teor em volume de agregados e o teor em volume de cimento não hidratado. Essa função é descrita da seguinte forma:

METHA & MONTEIRO [1994] relatam que a granulometria, dimensão máxima, forma e textura do agregado também são fatores bastante significativos para a fluência no concreto que geralmente é caracterizada pela influência direta do módulo de deformação do agregado. Existem alguns fatores físicos do agregado que exercem uma forte representatividade sobre a fluência, um dos mais importantes deles é o módulo de elasticidade, NEVILLE [1997]. NEVILLE [1997] mostra resultados muito importantes em concretos com idade após 20 anos de conservação, mantidos a 50% de umidade relativa e a 21ºC, Figura 3.1.

A EQUIPE DE FURNAS [2000] afirma que na maioria de suas investigações a fluência foi estudada, experimentalmente, com o objetivo de se determinar uma dependência com as diversas propriedades do concreto. Desse modo foi constatado que a fluência diminui com o aumento do diâmetro máximo do agregado (Dmáx). A fluência varia com a forma do agregado e esta será maior para concretos com agregados britados. Foi constatado que a fluência do concreto aumentou 2,5 vezes quando um agregado com alto módulo de elasticidade foi substituído por um agregado com baixo módulo de elasticidade.

UMIDADE DO AR E TEMPERATURA

NEVILLE [1997] afirma que um dos fatores mais importantes que atuam sobre a fluência é a umidade relativa do ar que envolve o concreto, isso quer dizer que para se obter uma menor fluência, o concreto deve, teoricamente, ser exposto em ambientes com altos níveis de umidade. Isso é ilustrado na Figura 3.2 para peças curadas a umidade relativa de 100% e depois carregadas e expostas a diversas umidades.

Segundo METHA & MONTEIRO [1994] espera-se que um aumento na umidade atmosférica torne mais lenta a taxa relativa do fluxo de umidade do interior para as superfícies externas do concreto. À umidade relativa de 100%, admite-se que o coeficiente de fluência seja 1, aumentando para 2 à uma umidade relativa de 80% e 3 à umidade relativa de 45%. A influência da umidade relativa é muito menor, ou nenhuma, no caso de elementos que tenham atingido o equilíbrio higroscópico com o meio antes da aplicação da carga.

Com relação à temperatura, a fluência será tanto maior quanto maior for a temperatura durante o carregamento. METHA & MONTEIRO [1994] relatam que se uma peça de concreto é exposta a uma temperatura maior que a ambiente como parte processo de cura, antes de ser carregada, a resistência aumentará e a deformação por fluência será um tanto menor do que de um concreto armazenado a uma temperatura mais baixa. Por outro lado, a exposição à alta temperatura, durante o período em que o concreto está sendo carregado, pode aumentar a fluência.

Para temperaturas abaixo de 5ºC, a deformação lenta praticamente cessa. Por outro lado, para temperaturas acima de 20ºC a fluência aumenta. Este fato é notado principalmente em pontes, nas quais o concreto do tabuleiro, sobre o qual existe uma camada de asfalto, atinge temperaturas acima de 40ºC quando exposto à radiação solar durante um longo tempo, EQUIPE DE FURNAS [2000].

ADIÇÕES E ADITIVOS

Os aditivos e adições também influenciam o resultado final da deformação lenta. METHA & MONTEIRO [1994] comentam que tais aditivos ou adições como cloreto de cálcio, escória granulada e pozolanas tendem a aumentar o volume de poros finos no produto da hidratação do cimento. Uma vez que a fluência no concreto é associada diretamente à água contida em pequenos poros (de 3 a 20nm), concretos contendo adições capazes de refinar estes poros, normalmente apresentam retração por secagem e fluência maiores. Aditivos redutores de água e retardadores de pega, que são capazes de causar uma melhor dispersão de partículas de cimento anidro na água, também levam a um refinamento dos poros no produto de hidratação. Em geral, espera-se que aditivos que aumentem a retração por secagem aumentem a fluência, METHA & MONTEIRO [1994].

NEVILLE [1997] afirma que o efeito da resistência do concreto no momento de aplicação da carga sobre a fluência vale também quando se usam diferentes materiais cimentícios. De outro modo não seriam possíveis generalizações sobre a fluência de concretos com cinzas volantes ou escórias granuladas de alto forno, pois a literatura relata pesquisas feitas em diferentes condições de ensaio. Pode-se dizer com confiança que o modelo da evolução da fluência e da recuperação não é alterado pela presença de cinza volante classe C ou Classe F, escoria granulada de alto forno ou sílica ativa, ou mesmo uma combinação desses materiais.

No entanto, pode haver algum efeito da pasta de cimento sobre a fluência resultante da inclusão de vários materiais cimentícios. O efeito sobre a fluência por secagem, onde são importantes a permeabilidade e a difusividade da pasta de cimento hidratado, pode ser diferente do efeito sobre a fluência básica. Por exemplo,o uso de escória de alto forno pode levar a uma fluência básica menor, porém com aumento da fluência por secagem. Deve ser lembrado que os diferentes materiais cimentícios têm diferentes velocidade de reação e, portanto, aumentos de resistências diferentes enquanto o concreto estiver sob carga.

GEOMETRIA DA PEÇA

A espessura de uma peça de concreto tem grande influência no valor e na variação da fluência. As peças espessas apresentam um menor valor de fluência em comparação com as delgadas, isso se deve ao fato de que a secagem no interior é mais demorada do que na parte externa da peça. À uma umidade relativa mantida constante, tanto a forma quanto o tamanho da peça influenciam diretamente na magnitude da retração e da fluência, EQUIPE DE FURNAS [2000].

METHA & MONTEIRO [1994] classificam por espessura teórica ou efetiva os parâmetros de tamanho e forma da peça usados para expressar uma única quantidade, que é igual a área da seção dividida pelo semiperímetro em contato com a atmosfera. Essa relação entre espessura teórica e coeficiente de fluência é mostrada na Figura 3.3

INTENSIDADE DO CARREGAMENTO

Quanto maior for a intensidade da carga aplicada numa estrutura de concreto maior será sua deformação por fluência, ou seja, a fluência é proporcional à carga aplicada para tensões variando entre 40% e 50% da resistência a compressão do concreto. Deve-se também lever em consideração o tempo de sua aplicação.

EFEITOS DA FLUÊNCIA SOBRE AS ESTRUTURAS

A deformação por fluência afeta de forma bastante significativa o deslocamento vertical (flecha) e, muitas vezes também, a distribuição de tensões em estruturas de concreto armado ou protendido. No caso de concreto simples a fluência não altera a resistência do material, embora sob tensões muito elevadas possa abreviar a aproximação de deformação limite na qual ocorre a ruptura. Isto pode ocorrer quando a carga aplicada for superior a um valor entre 85% e 90% da carga limite (resistência do material), NEVILLE [1970].Para o concreto massa a fluência também é um parâmetro muito importante, pois o seu efeito resulta na relaxação das tensões de origem térmicas oriundas do resfriamento do concreto.

O concreto, logo após lançado, sofre uma elevação de temperatura devido ao desenvolvimento do calor gerado pelas reações exotérmicas de hidratação do cimento, atinge a temperatura máxima e inicia o resfriamento para entrar em equilíbrio térmico com o ambiente. Na fase de aquecimento não existe a possibilidade de fissuração, pois as tensões iniciais são de compressão. Com o passar do tempo, devido ao resfriamento, estas tensões de compressão são aliviadas e instalam-se tensões de tração. Esse fenômeno pode provocar fissuras antes mesmo que a temperatura tenha se equilibrado com o ambiente, EQUIPE DE FURNAS [2000].

A relevância em se fazer comentários sobre as propriedades que influenciam a deformação por fluência neste capítulo vem do fato de que, tanto a norma NBR 6118/2003 como o programa DIANA levam em consideração estas propriedades no desenvolvimento de seus cálculos para o estudo da fluência. Como ambos serão utilizados para a elaboração deste trabalho, achou-se de maneira fundamental o comentário destas propriedades. Nos próximos capítulos serão descritas algumas representações matemáticas que descrevem o fenômeno da fluência.

7 MODELOS REOLÓGICOS

Entende-se por modelos reológicos todos aqueles que simulam o comportamento de um determinado material ao longo do tempo. A reologia constitui-se no estudo do comportamento dos materiais por meio de modelos de representação, onde são levados em conta fenômenos como elasticidade, viscosidade e plasticidade A idéia de simular o comportamento das deformações do concreto ao longo do tempo já vem sendo estudada por vários anos. Diversas tentativas foram realizadas para simular essas deformações por vários modelos reológicos constituídos de elementos de mola ou amortecedor. Cada um desses elementos representa uma deformação característica específica de um dado componente ou de uma fase do concreto.
Essa aproximação é, na maioria das vezes, empírica e seu sucesso depende da habilidade em atribuir a uma parte da deformação no concreto um dado elemento do modelo. Em outra tentativa, o número de elementos reológicos é combinado simplesmente para aproximar ensaios reais de deformação sem considerar o seu significado físico, NEVILLE [1983]. Outra aproximação considera um pouco mais que um ajuste de equações e sua utilidade encontra-se principalmente em facilitar uma solução de equações diferenciais envolvendo tempo, tensão e deformação ou suas derivadas parciais. A solução dessas equações considera a deformação como uma função da tensão e do tempo (i.e., equação da fluência) ou a tensão como uma função da deformação e do tempo (i.e., equação de relaxação).

VISCOELASTICIDADE

O estudo da viscosidade é bem difundido em mecanismos relacionados a líquidos, porém, existem estudos atuais onde estas considerações são aplicadas também em materiais sólidos. A viscosidade nos sólidos trata-se de um fenômeno caracterizado pelo aparecimento de deformações não imediatas, ou também chamadas de deformações dependentes do tempo. Tais deformações não aparecem simultaneamente com a aplicação de tensões, mas sim com o decorrer do tempo. O comportamento de um material viscoelástico sob carregamento uniaxial pode ser bem representado por meio de modelos compostos de elementos de mola e de um cilindro com êmbolo perfurado, imerso em um líquido viscoso chamado de amortecedor, conforme esquematizado na Figura 4.1. Esses modelos são particularmente úteis do ponto de vista didático.
METHA & MONTEIRO [1994] classificaram dois experimentos que podem ser estudados para o comportamento viscoelástico unidimensional do concreto:
• o ensaio de fluência, no qual a tensão é mantida constante, e é registrado o aumento de deformação ao longo do tempo;
• o ensaio de relaxação, no qual a deformação é mantida constante, e é registrada a diminuição da tensão ao longo do tempo.

MODELOS REOLÓGICOS BÁSICOS

Para uma melhor obtenção de resultados, no que se refere à deformação de materiais sólidos como o concreto, é necessário que sejam caracterizados modelos mais refinados que, de forma mais realista, definam o comportamento de tais materiais. Os modelos reológicos básicos são definidos por relações matemáticas simples e suas combinações dão origem a modelos mais complexos, permitindo com isso a obtenção de modelos de representação para tais materiais. O comportamento viscoelástico dos materiais pode ser eficientemente estimado pela criação de modelos reológicos baseados em dois elementos fundamentais:
• um segmento de mola definido na Figura 4.1 (a);
• um segmento de pistão lubrificado definido na Figura 4.1 (b).
As deformações obtidas no segmento de mola são classificadas como elásticas e as deformações definidas pelo segmento de pistão lubrificado são definidas como viscosas. Os corpos que apresentam essas propriedades são tratados na literatura como sólido Hookneano e Líquido Newtoneano, respectivamente. Para o segmento de mola, que representa um corpo elástico perfeito, uma vez que a deformação é totalmente reversível, a relação entre tensão e deformação é expressa pela lei de Hook:
σ (t) = E.ε (t)
A resposta da mola à tensão é imediata e, durante o ensaio de fluência, quando a tensão σo é mantida constante a deformação será σo/E e constante ao longo do tempo como mostrado na Figura
O pistão lubrificado, representado pelo elemento amortecedor, pode ser visualizado como um macaco que desloca um fluido viscoso em um cilindro com fundo vazado. Usando a lei de Newton para a viscosidade temos:
σ (t) =η.ε&(t)
onde:
η é o coeficiente de viscosidade do fluido;
A lei de Newton estabelece que a taxa de deformação sobre a relaxação é proporcional à tensão; em conseqüência, para um experimento de fluência, o amortecedor irá deformar a uma taxa constante, como mostra a Figura 4.3. Entretanto, para um experimento de relaxação, com a aplicação de uma deformação instantânea constante, a tensão variará com o tempo.
Elementos reológicos básicos acabam sendo utilizados de maneira que, por meio de suas combinações em série ou em paralelo possa retratar de forma mais realista mecanismos viscoelásticos.
O modelo de Maxwell é representado por uma mola de um amortecedor, ambos conectados em série, Figura 4.4. A deformação do modelo é dada pela soma das deformações elástica e viscosa, sendo a tensão igual para os dois elementos. As seguintes equações se aplicam ao modelo:
Onde e v e v σ ,σ ,σ ,ε ,ε ,ε são, respectivamente, as tensões total, elástica e viscosa e a deformação total, elástica e viscosa.
a e a deformação total, elástica e viscosa. e v e v σ ,σ ,σ ,ε ,ε ,ε O modelo prevê um aumento da deformação sem limites. Isto é uma característica de muitos fluidos e, por essa razão, o material descrito na equação é conhecido como fluido de Maxwell. Se após o experimento de fluência, o sistema é descarregado no tempo t1, a deformação elástica na mola recupera-se instantaneamente, enquanto que a deformação permanece no amortecedor. A Figura 4.5 apresenta a curva Deformação-Tempo.

8 MODELO VISCOELÁSTICO DE KELVIN-VOIGT

O modelo de Kelvin-Voigt é representado por uma mola de um amortecedor, ambos conectados em paralelo (Figura 4.6). A deformação do modelo é igual para os dois elementos, sendo que a tensão total é dada pela soma das tensões elástica e viscosa. Assim, as seguintes equações se aplicam ao modelo:
Como foi discutido anteriormente, o modelo de Maxwell mostra uma taxa de deformação constante sob tensão constante, o que pode se adequar para fluidos, mas não para sólidos. Já o modelo de Kelvin-Voigt não mostra a deformação permanente após o descarregamento, caracterizando uma deformação elástica. Assim, a conclusão tirada é que ambos os modelos não representariam de forma correta a deformação por fluência no concreto. Deste modo, foi desenvolvido um modelo chamado de modelo de três parâmetros ou modelo de Boltzmann que será descrito a seguir.

MODELO VISCOELÁSTICO DE TRÊS PARÂMETROS

Na tentativa de explicar o fenômeno da fluência no concreto, surgiram diferentes modelos viscoelásticos. Para uma melhor representação desse fenômeno no concreto, Boltzmann criou um modelo que leva em consideração a capacidade de simular deformações elásticas instantâneas, além de ficar caracterizado a igualdade das tensões nos trechos elásticos e viscoelástico. O modelo viscoelástico de Boltzmann é representado pelo arranjo em série do modelo de Kelvin-Voigt com uma mola como mostra a Figura 4.8. A deformação da mola e do elemento de Kelvin-Voigt, respectivamente. Assim, as seguintes equações se aplicam ao modelo de Boltzmann:
Porém, esse modelo assim como os outros dois citados anteriormente, possui uma limitação: a representação do modelo de três parâmetros ou modelo de Boltzmann não caracteriza de forma adequada a deformação por fluência quando na estrutura ocorrer um descarregamento.
A Figura 4.9 apresenta a curva de Deformação-Tempo que representa o fenômeno da fluência, porém, como já dito anteriormente, essa representação só é bem aceita para casos onde não haja descarregamento.

MODELO VISCOELÁSTICO DE BURGER

Este modelo foi criado para melhor caracterizar a irreversibilidade da deformação por fluência em modelos reológicos. O modelo viscoelástico de Burger é composto por um modelo de Maxwell em série com um modelo de Kelvin-Voigt. A Figura 4.10 mostra a representação do modelo por meio de segmentos de mola e amortecedor
A mola e o amortecedor do modelo de Maxwell são considerados como dois elementos individuais, sendo as deformações ε M e ε K a deformação do elemento de Maxwell e do elemento de Kelvin, respectivamente. Deste modo, as seguintes equações se aplicam ao modelo de Burger:
Onde são, respectivamente, as tensões total, do elemento de Maxwell e do elemento de Kelvin e M K σ,σ ,σ 1 2 3 ε,ε , ε e ε são, respectivamente, as deformações total, deformação da mola do elemento de Maxwell, deformação do amortecedor do elemento de Maxwell e deformação do elemento de Kelvin e são respectivamente, o módulo de deformação do modelo de Maxwell e o módulo de deformação do modelo de Kelvin e 1 E2 E e 1 2 η e η são as viscosidades do modelo de Maxwell e do modelo de Kelvin, respectivamente.
O modelo de Burger é um modelo que caracteriza tanto no carregamento quanto no descarregamento o comportamento correto da deformação no tempo para o concreto.A representação gráfica deste modelo é mostrada na Figura 4.11.
A utilização desse modelo somente se faz necessária se na caracterização do ensaio for preciso medir a deformação devido ao descarregamento da estrutura, pois é um modelo especifico para caracterizar tal comportamento. Não havendo a necessidade de verificar as deformações devido ao descarregamento, o modelo de Boltzmann pode ser aplicado gerando bons resultados com o mínimo de complexidade no que diz respeito ao equacionamento matemático.
As propriedades mecânicas do concreto mudam com o tempo devido à reação de hidratação. Entretanto, nos modelos apresentados aqui, tanto o módulo de elasticidade (E) como o coeficiente de viscosidade (η), se mantiveram constantes ao longo do tempo. Em conseqüência disso, as respostas obtidas pelos modelos apresentados anteriormente têm sucesso limitado. Nos próximos capítulos serão apresentados três tipos de representação do fenômeno da fluência por meio de modelos matemáticos, são eles: função de fluência e coeficiente de fluência, equações algébricas e diferenciais e a formulação e o ensaio proposto por normas, NBR 6118/2003 e NBR 8224/1983, respectivamente.

9 FUNÇÃO DE FLUÊNCIA E COEFICIENTE DE FLUÊNCIA

Neste capítulo será discutido como se caracteriza uma função de fluência e um coeficiente de fluência, e qual a melhor forma de utilização para os dois. Vários são os fatores que afetam a fluência no concreto, como mostrado no Capítulo 3. A representação de cada um desses fatores para uma formulação que possa reproduzir de forma precisa tal fenômeno, leva a uma significativa dificuldade. De forma mais prática, a utilização de métodos aproximados e simplificados para análise da fluência vem demonstrando valores bastante satisfatórios, NEVILLE [1983]. A importância em ressaltar as características de tal função, deve-se à utilização similar da mesma no equacionamento proposto pela NBR 6118 [2003], apresentado posteriormente no Capítulo 6.
O objetivo da função de fluência é representar, de forma mais clara, o comportamento do concreto quando comparado a ensaios experimentais. Assim, a função de fluência pode ser descrita como uma função que relaciona a deformação total sofrida pelo concreto em uma determinada idade t, devido à aplicação de um carregamento constante no instante t0. METHA & MONTEIRO [1994] comentam que em algumas décadas atrás, o ajuste de curvas de fluência era feito manualmente, deste modo, os pesquisadores usavam a intuição e a experiência para selecionar funções simples. Hoje, com o avanço da tecnologia, qualquer computador pessoal pode fazer o ajuste dessas curvas.
CREUS [1986] cita que as propriedades da fluência são usualmente determinadas pela medida ao longo do tempo da deformação de corpos-de-prova cilíndricos ou prismáticos sob carregamento à compressão constante. A função de fluência Φ∗ é determinada como a diferença por unidade de tensão entre a deformação no carregamento e no descarregamento, considerado como um único efeito de tensão
Para o estudo da variação no desenvolvimento da fluência, é necessário obter uma função que descreva tal deformação para um determinado tempo t, após aplicação de uma carga unitária e constante no instante t0, onde t > t0. Assim, de maneira genérica, a função de fluência é representada esquematicamente na equação
A Figura 5.1 representa a curva da função de fluência, onde é mostrada a evolução da mesma com o passar do tempo.
Entretanto, testes mostraram que a deformação por fluência (εc) pode ser, de maneira aproximada, proporcionalmente dependente da deformação elástica (εe). Esta relação linear tem se mostrado bastante satisfatória em elementos estruturais submetidos à compressão ou tração, e também para flexão, desde que sob tensões normais de serviço (0,4 a 0,5 do fck). Tensões para o concreto acima desse valor estarão associadas a um relativo aumento de fluência. A relação entre a deformação por fluência e a deformação elástica, é definida como coeficiente de fluência φ como segue abaixo:
Relacionando as equações (5.1a) e (5.2a) podemos, deste modo, encontrar uma correlação entre a função de fluência e o coeficiente de fluência como:
Alguns dos métodos usados para a análise da fluência (como os métodos de “taxa de fluência” e “taxa do fluxo de fluência”) dependem completamente de uma formulação particular da função de fluência, considerando que outros métodos podem usar qualquer função de fluência ou até mesmo curvas de ensaios experimentais que não são prontamente expressas por uma única função de fluência.
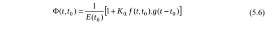
NEVILLE [1983] também explica que existem duas escolas de pensamento considerando a formulação de função de fluência. A primeira tenta representar curvas de fluência do concreto, obtidas experimentalmente, como produto de funções da idade da aplicação da carga e do tempo de duração do carregamento. Essa interpretação de cálculo da função de fluência é caracterizada como métodos produtórios. A representação deste método é dada pela equação 5.6
A segunda escola leva em consideração que a fluência é a soma de duas parcelas (ou mais), isto é, uma parcela considerada lenta reversível e uma outra parcela considerada lenta irreversível. Uma característica especial desta formulação é a consideração de que a parcela lenta reversível é assumida como independente da idade de aplicação do carregamento e da idade do concreto e a parcela considerada lenta irreversível é representada por um conjunto de curvas paralelas, ou seja, para qualquer instante t a velocidade de desenvolvimento da fluência no concreto é independente da idade de aplicação do carregamento. Estas suposições são chamadas de métodos somatórios e correspondem a seguinte formulação de uma função de fluência:

MÉTODOS PARA ANÁLISE DA FLUÊNCIA

Tentar simular o comportamento do concreto é muito difícil, não somente pela complexidade de suas propriedades, como também porque o concreto é geralmente utilizado armado (armadura ativa ou passiva). Desta maneira aqui são apresentados alguns métodos diferenciados de cálculo de deformações devido à fluência, que vieram ao longo do ultimo século a serem desenvolvidos e aprimorados por pesquisadores, os quais serão devidamente descritos a seguir. Existem vários métodos de análise da fluência. Estes por sua vez podem ser divididos em Métodos Algébricos e Métodos das Equações Integrais.

MÉTODOS ALGÉBRICOS

Estes métodos algébricos admitem apenas aproximações na fase da análise estrutural em uma função de fluência dada.

MÉTODO INCREMENTAL

Este método tem aplicação genérica e independe do tipo da função de fluência e da forma de evolução nas variações de tensão. É adequado para os casos em que ocorrem variações aleatórias das tensões e deformações, OYAMADA [1998]. Sua formulação consiste em subdividir o tempo total de análise em pequenos intervalos, que deverão ser crescentes com o tempo. O total de deformação no final de um intervalo será a soma das deformações devidas aos incrementos de tensão, que são aplicados durante os intervalos anteriores. Entretanto, se houver uma variação brusca de tensão aplicada, um intervalo de duração zero deverá ser introduzido de forma que a função de fluência seja o inverso do módulo de elasticidade. Para melhores resultados, em casos de variação contínua de tensão, um intervalo de tempo deve ser escolhido de forma que o seu comprimento seja aproximadamente igual ao da escala logarítmica de tempo.

MÉTODO DO MÓDULO EFETIVO

Proposto por FABER em 1927, o método do módulo efetivo consiste em analisar a fluência por meio da redução do módulo de elasticidade do concreto a partir de um fator que relaciona o coeficiente de fluência em um tempo t para um concreto carregado em um tempo t0. O módulo de elasticidade fictício (Ee) de um concreto submetido à tensão constante é dado pela seguinte expressão (OYAMADA [1998]):
Este módulo de elasticidade fictício é usado apenas nas análises elásticas. Deste modo, a deformação por fluência na idade t depende exclusivamente do valor da tensão naquele instante, não considerando, portanto, o histórico de tensões. Assim, é dedutível que o método do módulo efetivo dá bons resultados somente quando a tensão do concreto não varia significativamente durante o período de observação e quando a influência da idade do concreto não é expressiva, caso em que o concreto se apresenta em idades avançadas. Quando consideradas situações de tensões decrescentes, as deformações são subestimadas e, em situação inversa, as deformações são superestimadas. Havendo remoção de tensão aplicada, temos uma completa recuperação das deformações OYAMADA [1998].

MÉTODO DE TROST-BAZANT

Este é um método prático para a determinação das deformações devidas às variações nas tensões aplicadas, ou tensões devidas às variações nas deformações aplicadas, foi proposto por TROST em 1967 e posteriormente aperfeiçoado por BAZANT em 1980 com a introdução do coeficiente de envelhecimento, e denominouo de método do módulo efetivo ajustado pela idade do concreto (OYAMADA [1998]). Após a definição do método do módulo efetivo (Ee) ocorreu, por TROST, uma pequena modificação no mesmo, onde o módulo de elasticidade (Eea) seria equivalente ao módulo efetivo, porém com uma singela correção no coeficiente de fluência conforme mostrado na seguinte expressão:
OYAMADA [1998] também cita que em seu trabalho original, TROST determinou um valor numérico para o coeficiente de envelhecimento, com base na função de fluência do CEB 1964 e com duas hipóteses: que a variação da deformação em conseqüência da alteração nas tensões segue a função de fluência e a que o módulo de elasticidade é constante. Assim, TROST observou que o coeficiente de envelhecimento depende do coeficiente de fluência e da idade do concreto quando aplicado à carga. O tempo de duração do carregamento tem apenas uma pequena influência na determinação do χ, podendo ser até desprezado (OYAMADA [1998]).
deformação em conseqüência da alteração nas tensões segue a função de fluência e a que o módulo de elasticidade é constante. Assim, TROST observou que o coeficiente de envelhecimento depende do coeficiente de fluência e da idade do concreto quando aplicado à carga. O tempo de duração do carregamento tem apenas uma pequena influência na determinação do χ, podendo ser até desprezado (OYAMADA [1998]).