Qualidade e Processos de Bobinagem de Motores de Indução de Baixa Tensão

Enrolamento de Motor

1 Evolução do Motor Elétrico

O desenvolvimento de condutores esmaltados, dos papéis ou filmes isolantes sintéticos, das chapas magnéticas, das ligas de alumínio e dos materiais plásticos, contribuíram ativamente para a redução da relação peso potência dos motores elétricos. Pode-se observar que o motor actual tem apenas 8 % do peso do seu antecessor em 1891. A redução do peso dos motores conduziu a que estes tivessem um menor tamanho (para uma mesma potência) de aproximadamente 20 % a cada década, com excepção das últimas décadas onde a redução foi menos acentuada. Esta evolução tecnológica é caracterizada principalmente, pelo desenvolvimento de novos materiais isolantes, que suportam temperaturas mais elevadas.

2 Máquinas Elétricas Rotativas

Introdução

No acionamento de cargas mecânicas utilizam-se motores eléctricos, que são máquinas capazes de promover uma transformação de energia eléctrica em energia mecânica. É grande a variedade de máquinas eléctricas existentes actualmente na indústria, no comércio e para aplicações domésticas. Consequentemente, a diversidade de tarefas a efectuar, as condições de utilização, características dos locais tipos de corrente eléctrica e exigências económicas impõem, caso a caso, características especificas para cada máquina. No domínio das máquinas eléctricas a primeira a ser utilizada foi a de corrente contínua, já que a distribuição de energia inicialmente era feita em C.C. A generalização da utilização das máquinas eléctricas em corrente alternada deu-se com a descoberta do transformador, dispositivo este que apenas funciona em corrente alternada o que conduziu a que o transporte de energia fosse feito maioritariamente em corrente alternada. Actualmente a esmagadora maioria das máquinas rotativas é alimentada em corrente alternada. Há casos no entanto em que a máquina de corrente contínua desempenha ainda um papel importante.

Existem diversos factores eléctricos e mecânicos que condicionam a escolha de uma determinada máquina elétrica rotativa de entre os quais destacam-se:

Aspectos elétricos:

  • Tipo de corrente de alimentação (contínua ou alternada)
  • Tensão utilizada
  • Frequência ou gamas de frequência
  • Potência útil
  • Corrente estipulada
  • Corrente de arranque
  • Rendimento
  • Factor de potência

Aspectos mecânicos:

  • Velocidade ou gamas de velocidade
  • Binário de arranque
  • Binário resistente
  • Factor de serviço
  • Sistemas de refrigeração
  • Aspectos construtivos diversos

Estes aspectos são extremamente importantes quando se pretende escolher uma máquina, nomeadamente na questão da diminuição da corrente de arranque, facilidade de controlo da velocidade de rotação e quanto ao valor do binário de arranque necessário para arrancar uma determinada carga. Como se pode constatar pela figura 2.1 existe uma grande diversidade de máquinas eléctricas rotativas quanto à sua constituição e função.

Classificação das máquinas eléctricas rotativas

Motor de indução Trifásico:

O motor de indução trifásico é a máquina de corrente alternada mais utilizada nos sistemas de accionamento electromecânicos. Isto deve-se às suas qualidades de robustez e simplicidade de manutenção. Este motor tem vindo gradualmente a substituir os motores eléctricos de colectores de lâminas nas suas aplicações típicas.

Com o avançar do tempo foi possível explorar melhor o MIT desenvolvendo-se estratégias de controlo de velocidade o que permite uma boa adaptação às características de funcionamento para as diversas cargas mecânicas accionadas.

O MIT é uma máquina elétrica de corrente alternada, com o circuito elétrico de uma parte ligado a um sistema de alimentação trifásico, e com o circuito elétrico da outra parte submetido à indução magnética criada pela circulação de correntes nos enrolamentos estatóricos. Normalmente o circuito elétrico indutor encontra-se no estator da máquina, enquanto o circuito induzido está no rotor da máquina.

Aspetos construtivos do M.I.T

O motor de indução trifásico é essencialmente constituído pelas seguintes partes: estator, rotor, carcaça (estrutura mecânica)

Constituição do Motor de Indução Trifásico

Estator

O estator do motor figura 2.2 é constituído por um empacotamento de chapas de ferro magnético silicioso, com baixa densidade de perdas magnéticas que forma o circuito magnético estatórico. As chapas têm uma forma de coroa circular ranhurada na periferia interior e são revestidas de um verniz isolante. As ranhuras são semifechadas, e destinam-se a conter os condutores do circuito elétrico estatório. Entre o conjunto de chapas magnéticas podem existir canais de ventilação, que servirão para a passagem do ar de refrigeração. O circuito elétrico estatórico é formado por três bobinas desfasadas no espaço de 2 π/3 rad. elétricos e destinam-se a ser alimentadas por cada uma das fases de um sistema trifásico. Os condutores eléctricos que formam as diversas espiras das bobinas são isolados com esmalte. Estes podem estar dispostos em duas camadas na ranhura isolados entre si e também isolados do material magnético, por um material isolante plástico que forra a parte interior da ranhura. O enchimento da ranhura é completado por regletes plásticas (estecas).

Exemplo de estatores em diferentes etapas do processo de fabricação.

Rotor

O núcleo magnético rotórico é também folheado e construído com o mesmo tipo de chapa magnética utilizada no núcleo estatório. As chapas magnéticas têm a forma de coroas circulares que possuem ranhuras perto da periferia exterior. O número de ranhuras rotóricas está ligada ao número de ranhuras estatóricas para se evitar o aparecimento de ruído no funcionamento do motor.

O rotor pode ser do tipo “gaiola de esquilo” figura 2.5 ou pode ser bobinado figura 2.4. O rotor em gaiola de esquilo é constituído por uma gaiola de alumínio, dopado de uma pequena percentagem de impurezas, que são obtidas na injecção. Trata-se de um circuito elétrico polifásico em curto-circuito permanente, constituído com um material com muito menor resistividade do que o material ferromagnético em que está envolvido, por esse motivo os condutores da gaiola não estão envolvidos por qualquer tipo de material isolante. Quando o circuito rotórico é em cobre, as barras de cobre são colocadas manualmente nas ranhuras e os anéis de topo são ligados às barras por soldadura a alta frequência. As barras são travadas nas ranhuras para evitar vibrações durante o funcionamento do motor de indução trifásico.

O circuito elétrico de um motor de indução com rotor bobinado contacta com a parte fixa da máquina através de um sistema colector de anéis – escovas. Desta forma é possível alterar-se o valor dos parâmetros (resistência rotórica) durante o funcionamento da máquina.

Rotor Bobinado

Rotor gaiola de esquilo

Estrutura mecânica

O rotor da máquina é colocado a quente no eixo da máquina, sendo este fabricado por torneamento em aço. O veio apoia-se em mancais de rolamento colocados nas tampas da carcaça. O MIT pode ser construído para funcionar com o eixo em posição horizontal, em posição vertical ou inclinado. O motor pode estar assente em patas ou sobre flange. A parte rotórica e a parte estatórica encontram-se envolvidas do meio exterior por uma carcaça, que pode ser em alumínio injectado a baixa ou alta pressão, de ferro fundido ou em chapas de aço soldada.

Princípio de Funcionamento M.I.T

- Campo girante gerado por um sistema trifásico

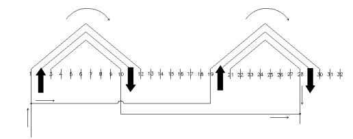
Será visto como é que a partir de um conjunto de três bobinas colocadas no estator deslocadas entre si de 120º, alimentadas por um sistema trifásico de correntes tal como se sugere na figura 2.6, é possível criar-se um campo girante. As três fases para o exemplo apresentado estão ligadas em estrela, no entanto poderiam estar ligadas em triângulo. Um sistema trifásico de correntes (i1,i2,i3) cria um sistema trifásico de campos magnéticos (h1,h2,h3).

Ligação de três enrolamentos de um sistema trifásico configuração estrela.

Expressões das correntes e dos campos magnéticos num sistema trifásico:

Tendo-se em conta a expressão 2.2 e a figura 2.7 verifica-se que os três campos evoluem sinusoidalmente no tempo, passando cada um deles sucessivamente por um máximo, desfasados entre si de 120º ou 1/3 de período.

No instante t1, h1 é máximo enquanto h2 e h3 têm sentidos contrários a h1, sendo iguais entre si e iguais a h1/2 (em módulo).

No instante t2 temos que h2 é máximo enquanto h1 e h3 têm sentidos contrários a h2, sendo iguais entre si e iguais a h2/2 (em módulo).

No instante t3 temos que h3 é máximo enquanto h1 e h2 têm sentidos contrários a h3, sendo iguais entre si e iguais a h3/2 (em módulo)

Diagrama temporal de um sistema trifásico de Campos Magnéticos

Fazendo-se agora a representação vectorial destas três grandezas ( ⃗ , ⃗⃗⃗ , ⃗⃗⃗ ) para cada um dos instantes considerados (t1, t2, t3) e calculando-se a soma vectorial dos três vectores é possível obter-se as representações vectoriais da figura 2.8.

Quando h1 é máximo positivo (instante t1) o vector ⃗ “sai” da bobina respectiva (bobina b1) em direcção ao interior da máquina. No mesmo instante, sendo h2 e h3 negativos, então os seus sentidos, relativamente às respectivas bobinas (b2 e b3), são contrários, os vectores ⃗⃗⃗ e ⃗⃗⃗ “entram” nas bobinas.

Nos instantes t2 e t3 ocorrem situações semelhantes, mas nesta situação os valores máximos são os de h2 e h3, respectivamente.

Em cada instante o valor de hr tem o mesmo comprimento. O módulo de hr é:

Pode-se verificar que por exemplo no instante t1, a soma vectorial de h2 com h3 dá um vector cujo comprimento é igual ao de h2 ou de h3, portanto metade de h1.

Pode-se observar pela figura 2.8, que nos três instantes considerados (t1,t2,t3), o vector resultante hr foi rodando num determinado sentido apresentando sempre o mesmo valor.

Se por ventura se utilizasse outros instantes de tempo, obter-se-ia de igual modo o mesmo valor de hr com o mesmo comprimento e rodando no mesmo sentido. Conclui-se que um sistema trifásico de tensões cria um campo magnético girante de valor hr= 3/2hmáx.

O sentido de rotação do campo para o caso ilustrado é de 1-2-3, caso a sucessão de fases fosse trocada 1-3-2, o campo girante passaria a rodar em sentido contrário. A situação ilustrada para o campo girante de um sistema formado por três bobinas é explicada em pormenor pelo teorema de ferraris.

Campo girante provocado por um sistema trifásico de correntes em três instantes t1, t2 e t3.

O deslizamento do motor de indução trifásico

A tensão induzida no rotor de um motor de indução depende da velocidade do rotor relativamente ao campo magnético. Visto que o comportamento do motor de indução depende da tensão e corrente no rotor, é usual falar-se da velocidade relativa. Este movimento relativo do rotor e do campo magnético é normalmente definido pela velocidade de deslizamento e pelo deslizamento em si.

 

Podemos obter estes parâmetros com as seguintes fórmulas:

onde é a velocidade de deslizamento da máquina, é a velocidade do campo magnético, é a velocidade do rotor e s o deslizamento.

No funcionamento como motor, este deslizamento assume valores de 0 a 1, sendo praticamente igual a 0 quando o motor se encontra a funcionar em vazio (nr0= ns) e sendo igual a 1 quando o rotor se encontra travado (nr =0).

Dadas as características enunciadas, o motor de indução trifásico apresenta-se assim como uma escolha viável para a aplicação nas mais diversas áreas. Estima-se que entre 80 a 85 % de todos os motores utilizados no mundo sejam motores de Indução trifásicos.

O MIT leva vantagem sobre os demais motores dadas as suas características construtivas, a sua robustez e baixa manutenção. No entanto este motor apresenta como principal desvantagem o controlo de velocidade. Muitos inversores de frequência utilizados para além de possuírem um custo elevado, sujeitam o motor a tensões harmónicas que se não forem correctamente acauteladas provocam aumento de perdas e temperatura, aumento dos níveis de vibração e ruído, perda de rendimento e possibilidade de degradação do material isolante. No entanto estes efeitos indesejáveis têm vindo a ser melhorados com o aperfeiçoamento da electrónica de potência, métodos de controlo de velocidade por actuação na magnitude e posição do “vector espacial do fluxo” (controlo vectorial) permitindo controlo de torque com a variação da velocidade do motor.

3 Bobinagem Motores B.T.

A Bobinagem é uma das partes principais na fabricação dos motores e geradores. Esta etapa na fabricação de motores e geradores é constituída de vários processos. No anexo A é apresentado um fluxograma de todo o processo. Na maioria das vezes o processo é de fácil execução. No entanto são necessários alguns cuidados especiais. A forma como um motor é bobinado determina o seu desempenho. Os motores de indução trifásicos de baixa tensão para aplicações generalistas são fabricados com 2,4,6,8,10,12 pólos. Tipicamente existem motores com 24,36,48,54 ou 72 ranhuras. As bobinas são confeccionadas em fio de cobre electrolítico esmaltado, este esmalte tem a finalidade de proporcionar isolamento elétrico entre as diversas espiras de uma bobina e entre as espiras e as chapas do circuito magnético do estator. Em todo o processo de bobinagem os materiais isolantes assumem um papel de elevada importância como será visto.

- Fios para bobinagem

Os fios utilizados na bobinagem são considerados de elevada importância para o desempenho do motor, sendo também o elemento mais sensível entre os demais componentes. O cobre é o principal metal utilizado para a fabricação de fios por apresentar uma alta condutividade elétrica (59,6 × 106 S/m), maleabilidade e resistência à corrosão. O cobre também pode ser soldado com facilidade por apresentar um ponto de fusão em torno de 1084º C. O alumínio no entanto, tende a ser uma alternativa viável à substituição do cobre, por possuir um custo mais baixo. Além disso, por ser mais leve que o cobre permite reduzir o peso dos motores e facilitar o processo de trefilação figura 3.1 por ser mais fácil o seu manuseio.

- Fios para bobinagem

O processo de trefilação consiste na tração de um fio de secção mais elevada através de uma matriz chamada fieira ou trefila com o objectivo da redução da secção transversal do fio e respectivo aumento do comprimento do material.

As fieiras para trefilar fios grossos e médios (até 1,4 mm de diâmetro) e fios rectangulares são feitas num metal duro cuja constituição é 95 % carboneto de tungsténio + 5 % cobalto, e para fios finos são feitas de diamante industrial.

A redução do diâmetro do fio deve ser feita em várias etapas, utilizando-se para isso várias fieiras interligadas que realizam pequenas reduções graduais até se obter o produto final.

O objectivo do processo de trefilação é a obtenção de um produto com dimensões, acabamento superficial e propriedades mecânicas controladas.

A necessidade de trefilação dá-se também devido ao facto de o cobre e o alumínio ser fornecido em vergalhão em jungos de 4500 kg nas bitolas de 8 e 11 mm para o cobre e em jungos de 1500 kg e bitola de 9,5 mm para o alumínio.

Processo de trefilação

O processo de esmaltação consiste em aplicar uma pelicula de isolante sobre o fio, conferindo ao condutor resistência elétrica, mecânica e química de acordo com os requisitos dos produtos.

O fio de cobre aplicado nos motores WEG pode suportar até 12 kV.

A aplicação do esmalte é feita em várias camadas através de fieiras de esmaltação, sendo que a cada aplicação das diversas camadas de esmalte antecede um período de cura numa estufa.

Para a esmaltação dos fios são utilizados dois tipos de verniz:

Verniz Base: Responsável pela rigidez dielétrica (isolamento).

Verniz Capa: Responsável pela resistência mecânica (proteção).

Numa primeira instância são aplicadas as camadas do verniz base, que podem variar entre 6 e 12 camadas dependendo do tipo de fio, em seguida são aplicadas as camadas de verniz capa, que podem variar entre 2 a 4 camadas.

O fio de geração 2 da WEG figura 3.2 é constituído de 80 % de verniz base e 20 % de verniz capa, sendo utilizado em motores de linha normal (standard).

Processo de Esmaltação

O fio de geração 3 da WEG figura 3.3 é constituído por 40 % de verniz base e 60 % de verniz capa, sendo mais utilizado em motores acionados por inversor de frequência

Antes do acondicionamento no carretel, o fio já trefilado passa pelo processo de lubrificação, que consiste na aplicação de uma camada fina de óleo lubrificante constituído à base de parafina. Este processo tem como objectivo melhorar a bobinagem, facilitando a inserção das bobinas no estator reduzindo-se assim o atrito (redução risco fios arranhados) durante a inserção e ainda de melhorar a bobinagem do fio no carretel.

Processo de Lubrificação

A cada lote de fios já prontos são realizados ensaios em laboratório, que verificam as características eléctricas e mecânicas do fio esmaltado, sendo os principais ensaios realizados:

  • Dimensional – Verifica-se se o diâmetro e se o formato do fio está dentro da tolerância permitida pela norma.
  • Aderência e flexibilidade ao alongamento – Verifica-se se o esmalte tem aderência sobre o fio após o dobramento.
  • Termoplasticidade – Determina a temperatura de reamolecimento do esmalte através do aquecimento lento.
  • Choque Térmico – Verifica se a camada de esmalte suporta a temperatura da classe térmica.
  • Resistência à abrasão unidirecional – Indica qual é a força necessária para remover a camada de esmalte.
  • Alongamento à ruptura – Determina qual o alongamento máximo que o fio pode suportar sem romper.
  • Rigidez dielétrica – Determina a tensão máxima que o isolamento em esmalte suporta sem que haja ruptura do isolamento.
  • Continuidade de Película – Determina o número de falhas na camada isolante num comprimento máximo de 30 metros.
  • Angulo de recuo – Determina o grau de maleabilidade do fio.

Ensaios em fios

O circuito magnético do motor de indução é constituído por um núcleo ferromagnético estático, denominado de estator, um entreferro, e um núcleo ferromagnético rotativo, denominado rotor. O rotor gira livremente no interior do estator por se encontrar apoiado nas suas extremidades em rolamentos alojados nas tampas do motor. O circuito magnético estatórico é constituído por um pacote (várias chapas empilhadas) de chapas unidas entre si. Este empacotamento é efectuado com o propósito de redução de perdas magnéticas no motor, desta forma é possível separar magneticamente todas as chapas. As perdas magnéticas ou também denominadas perdas no ferro podem dividir-se em perdas por correntes de Foucault ou perdas por histerese.

Circuito Magnético

As perdas por histerese estão associadas com a mudança da magnitude e direcção dos domínios magnéticos e podem ter origens devido a:

  • Núcleos percorridos por fluxos magnéticos variáveis no tempo.
  • Derivam da histerese magnética que é característica dos materiais ferromagnéticos.
  • Em condições de excitação sinusoidal e por cada ciclo de magnetização, o seu valor é directamente proporcional à área do ciclo histerético do material para baixas frequências.
  • No caso de excitação sinusoidal de baixas frequências, o seu valor por unidade de massa (perdas especificas) podem determinar-se com base na seguinte lei:

Perdas no Circuito Magnético

Onde e são constantes que dependem do material e numa máquina, do arranjo do circuito magnético é frequente tomar-se igual a 2.

As perdas por efeito de Foucault têm origem:

  • Núcleos magnéticos percorridos por fluxos magnéticos variáveis no tempo.
  • A variação do fluxo magnético induz, nos materiais magnéticos, micro – correntes eléctricas também designadas de corrente de turbilhão cuja circulação originam perdas por efeito Joule que para além de dependerem da intensidade do fluxo magnético e da sua taxa de variação no tempo, dependem também da resistividade elétrica do próprio material magnético.
  • No caso de excitação sinusoidal de baixa frequência, o seu valor por unidade de massa (perdas especificas) podem determinar-se com base na seguinte lei:

Onde é uma constante que depende do material e numa máquina, do arranjo concreto do circuito magnético.

As perdas por histerese e por correntes de foucault podem ser atenuadas recorrendo-se a algumas técnicas, sabe-se que à partida a composição química de uma chapa interfere directamente no desempenho do motor. Elementos como o carbono reduzem o rendimento da chapa enquanto o silício aumenta a sua eficiência. O silício apresenta maior resistividade elétrica que o carbono.

  • O núcleo ferromagnético deve ser laminado figura 3.4 no sentido das linhas de força do campo magnético.
  • As chapas não devem ter contacto eléctrico entre elas, durante o processo de fabrico são aplicados vernizes, processos termoquímicos de tratamento de superfície.
  • A laminagem e o isolamento das chapas do circuito magnético conduz a um aumento da resistência transversal do circuito magnético, facto que é determinante para a redução substancial das correntes de Foucault e consequentemente das perdas originadas por essas correntes.
  • Caso as correntes sejam limitadas pela resistividade do material as perdas também são proporcionais a 1/t2 onde t corresponde à espessura da lâmina do pacote de chapas, a altas frequências a condição de limitar as perdas pela resistividade do material não é valida e as perdas aumentam rapidamente com a frequência.

Métodos de redução de perdas magnéticas

Tratamento Térmico (Descarbono)

O tratamento térmico aplicado às chapas do circuito magnético tem a finalidade de melhorar o rendimento da chapa. Esta melhoria é conseguida através do aquecimento da chapa a uma temperatura que ronda os 760 Cº, baixando-se assim o teor de carbono para 0,005 %. Este método permite reduzir significativamente as perdas magnéticas (aumenta a resistividade elétrica do material) tornando-se assim uma alternativa viável e bastante eficiente para melhorar o desempenho dos motores, depois do tratamento térmico as chapas adquirem uma cor azulada.

Empacotamento de chapas do circuito magnético

Para motores de baixa tensão o método de fixação das diversas chapas que constituem o circuito magnético pode ser:

  • Grampeamento

A união das chapas é feita através de uma tira de aço aplicada nas laterais do pacote, proporcionando assim ao pacote uma elevada resistência mecânica, que lhe confere resistência suficiente para o processo de prensagem do estator na carcaça.

  • Soldagem

A união das chapas é feita através de um cordão de solda nas laterais do pacote, este processo é utilizado quando a largura do pacote de chapas não ultrapassa os 105 mm devido à baixa resistência conferida durante a prensagem do estator na carcaça. Este processo tem ainda o problema de as perdas magnéticas serem mais elevadas devido à soldadura.

  • Auto empacotamento

Construção dos pacotes de chapas de motores de baixa tensão:

A união das chapas é feita através de vincos (engates) estampados na própria chapa do estator. Este processo é mais utilizado nos motores destin

Os isoladores são amplamente utilizados no processo de bobinagem e constituem um dos elementos mais importantes do bobinado, uma vez que influenciam directamente na vida útil de um motor. Para se definir um sistema de isolação é necessário conhecer-se a temperatura de trabalho da máquina, a tensão estipulada da máquina, a resina utilizada na impregnação, o ambiente em que a máquina irá operar bem como a sua aplicação e o seu sistema de acionamento.

Pela lei de Arrhenius, um aumento de 8 a 10 graus Celsius acima do limite da classe térmica de um isolante pode, reduzir a metade a sua vida útil. A vida útil de um isolante está ligada à perda das suas características dieléctricas ao ponto de este não conseguir suportar o nível de tensão para o qual foi projectado originando um curto-circuito.

Sistema de Isolação Motores Elétricos

A temperatura está directamente relacionada com a vida útil de um material isolante, sendo assim existe uma vasta classe de materiais isolantes que são apresentados na IEC 60085, os valores de temperatura e as classes térmicas dos materiais estão indicados na tabela 3.1.

Classe térmica de materiais isolantes:

Tabela 3.1 – Classes térmicas materiais isolantes pela Norma IEC 60085.

Os filmes isolantes têm como finalidade isolar térmica e eletricamente partes do bobinado dos motores. Existem assim uma série de materiais isolantes que são colocados no processo de bobinagem nos seguintes pontos:

Isolamento de fundo de ranhura: Este isolamento tem como finalidade separar fisicamente as bobinas energizadas do pacote de chapas do estator. Devem ter boas características de flexibilidade ao dobramento. Os principais problemas que ocorrem com o isolamento fundo de ranhura são:

  • Problemas dimensionais.
  • Posicionamento incorreto.
  • Danificações que ocorrem no processo de inserção das bobinas (casos de enchimento alto).
  • Respingos de solda (soldas das ligações).
  • Amarração das cabeças de bobinas.
  • Conformação cabeças de bobina, conformação final.

Isolamento de fechamento de ranhura: Este isolamento tem como finalidade evitar que as espiras entrem em contato com o rotor da máquina. Conferem ainda uma forma compacta às bobinas colocadas nas ranhuras para que o sistema não se danifique quando sujeito aos esforços electrodinâmicos. Os principais problemas que ocorrem com o isolamento de fundo de ranhura são:

  • Dimensionamento incorreto
  • Posicionamento incorreto.
  • Respingos de solda

Isolamento entre fases: Este isolamento é colocado entre as bobinas das diferentes fases para se evitar o contato entre fases e diminuir-se o risco de curto- circuito. Este isolador deve possuir uma elevada maleabilidade para facilitar a sua colocação manual entre as diferentes fases. Os principais problemas que ocorrem com o isolamento entre fases são:

  • Dimensionamento incorreto (corte excessivo de material)
  • Posicionamento incorrecto
  • Rompimento do isolador entre fases na amarração da cabeça das bobinas.

Separadores entre fases: Este tipo de isolamento cria um espaço físico entre os grupos de bobinas, substituindo os isoladores entre fases. Este tipo de separadores é utilizado em máquinas em que é exigido mais capacidade de dissipação de calor. Podem ser calços em Poromat (fibra expansora) ou calços de Nylon (poliamida + fibra de vidro).

Isoladores de reforço: Os isoladores de reforço têm a função de garantir o isolamento entre fases, evitando-se assim o contato entre a saída de uma fase com a saída de outra fase.

Isoladores entre camadas: Os isoladores entre camadas têm a finalidade de separar as bobinas de uma fase das bobinas de outra fase, esta separação dá-se dentro da ranhura. Os principais problemas que podem ocorrer são:

  • Dimensionamento incorreto.
  • Posicionamento incorreto.

Materiais isolantes utilizados e características.

O processo de impregnação utilizado no curso de fabrico de motores elétricos é essencial para a classificação final da classe térmica da máquina. [6] Este método tem a finalidade de tornar compacto todo o conjunto para que os condutores não se desloquem das suas posições.

A impregnação é ainda responsável por:

  • Preencher todos os espaços vazios que ficam dentro das ranhuras e nas cabeças das bobinas, facilitando assim a dissipação de calor para o meio exterior.
  • Minimizar a vibração entre fios de cobre, evitando-se assim desgaste na camada isolante.
  • Reduzir a entrada de agentes que ponham em risco a integridade do isolamento como por exemplo humidade e poeiras.
  • Reforço do isolamento dos enrolamentos.
  • Diminuir a oxidação em todo o bobinado.

Processos de Impregnação:

Para os motores de baixa tensão a impregnação pode ser realizada por 3 métodos:

  • Impregnação por imersão.
  • Impregnação por gotejamento.
  • Impregnação por inundação.

Métodos de Impregnação:

Consiste em mergulhar o estator bobinado num tanque com verniz até que o ar contido nas ranhuras seja eliminado. Seguidamente é realizada a cura do verniz numa estufa a uma temperatura de aproximadamente 150 ºC. Este método tem como desvantagem o tempo de todo o processo.

O processo de impregnação por imersão:

A resina é canalizada através de um fluxo contínuo sobre a cabeça da bobina, enquanto o estator vai girando em cima de uma plataforma inclinada. Antes da impregnação o estator é aquecido a 80 ºC para se eliminar a humidade e para se dilatar o material para que o verniz ocupe todos os espaços vazios. Após a impregnação, o motor segue para uma estufa de cura de verniz onde é aquecido a 150 ºC.

O processo de impregnação por gotejamento:

O motor montado com o estator é preenchido com o verniz lentamente até que o bobinado esteja completamente submerso. A cura do verniz é feita a uma temperatura de 150 ºC.

O processo de impregnação por inundação:

Tabela 3.2 – Materiais isolantes utilizados e principais características.

Pretende-se neste ponto padronizar a linguagem que vai ser utilizada ao longo do trabalho e ainda introduzir-se alguns conceitos gerais que permitem um melhor entendimento das questões relacionadas com bobinagem.

  • Espira – Uma volta de fio.
  • Bobina- Várias espiras do mesmo tamanho, colocadas numa mesma ranhura.
  • Grupo- Uma ou mais bobinas que formam os polos.
  • Fase- É constituída por grupos.
  • Conjunto- Corresponde ao conjunto das três fases juntas, isto é, todo o bobinado do motor para motores trifásicos. Para motores monofásicos é formado pela fase principal e pela auxiliar.
  • Passo- Indica o tamanho de cada bobina. É o número de ranhuras existentes entre os dois lados de uma mesma bobina.
  • Passo Polar - Distância (em radianos elétricos) entre polo norte e sul adjacentes, por outras palavras, pode ser definido como o ângulo de abrangência de um polo magnético (Ex. 360 / nº de polos).
  • Bobina de passo pleno (ou passo inteiro) - Bobina que tem os seus lados afastados de 180 graus elétricos.
  • Bobina de passo fracionário (ou passo encurtado) - Bobina que tem os seus lados afastados de menos de 180 graus elétricos.
  • Enrolamento distribuído - Enrolamento no qual o número de grupos de bobinas (ou número de bobinas por pólo/fase) é maior que um.
  • Enrolamento Concentrado - Enrolamento no qual o número de grupos de bobinas (ou número de bobinas por pólo/fase) é unitário.
  • Passo da fase - Passo das fases determina o ângulo ou a distância entre as ranhuras em que estão colocadas as entradas das fases do enrolamento.

Terminologia associada bobinagem

Passo de um enrolamento.

A melhor maneira de associar vários condutores de um enrolamento é distribuindo-os em bobinas, e a distribuição das bobinas deve ser feita de tal maneira que as mesmas formem grupos. Pode-se pensar que um conjunto é formado pelas fases do motor, cada fase é formada por grupos, cada grupo por sua vez é formado por bobinas e cada bobina é formada por espiras.

As bobinas de cada grupo são interligadas entre si, sendo que cada grupo possui uma entrada e uma saída (duas pontas). As bobinas que constituem os grupos são distribuídas uniformemente nas ranhuras do estator para criarem o campo magnético.

O campo magnético é obtido pela aplicação de um sistema trifásico de tensões em três circuitos idênticos mas electricamente independentes entre si, isto é, três enrolamentos separados, um para cada fase da rede de alimentação. Cada fase vai alimentar um determinado número de bobinas dispostas no estator de tal forma que as mesmas quando alimentadas resultem num sistema de bobinas distribuídas simetricamente e desfasadas umas em relação às outras de 120 graus elétricos.

Para o caso do rotor ser bobinado o número de ranhuras por pólo e por fase no rotor é diferente do estator, de preferência primos entre si, porque se fossem iguais, ao coincidirem no repouso as ranhuras do rotor com as ranhuras do estator haveria um ponto de mínima relutância e não se conseguiria dar partida na máquina.

Frequentemente nos rotores dos motores de indução são empregadas ranhuras inclinadas em relação ao seu eixo geométrico, com esta técnica consegue-se melhorar significativamente o problema da relutância, consegue-se assim forças electromotrizes induzidas que se aproximam mais da forma de onda sinusoidal, reduz-se assim harmónicos e ruídos provenientes da indução magnética.

Quando os enrolamentos de um determinado motor são concêntricos figura 3.9 b), as bobinas têm passos diferentes, as cabeças das bobinas são alojadas umas no interior das outras sem se cruzarem.

No caso de os enrolamentos serem imbricados figura 3.9 a) as bobinas têm todas o mesmo passo, as cabeças das bobinas cruzam-se.

Tipos de Enrolamentos

Diferentes tipos de enrolamentos

As ranhuras de um estator podem ser divididas em três classes, ranhuras abertas, ranhuras semi – abertas e ranhuras semi - fechadas. As ranhuras abertas são utilizadas em motores de M.T e A.T por permitirem uma fácil acomodação das bobinas pré fabricadas (bobinas de secção rectangular) e previamente isoladas. As ranhuras semi - fechadas têm uma vasta aplicação porque a área efectiva da face dos dentes é maior e isso reduz a intensidade da corrente de magnetização e a relutância do entreferro. Com isto a máquina apresenta uma maior eficiência e um melhor fator de potência, o motor ganha termicamente, possui maior dissipação de calor. Nas ranhuras semi - fechadas o processo de inserção das bobinas nas ranhuras é mais complicado, o que torna mais demorado o processo e a colocação dos isolamentos. Existe uma geometria “ótima” do formato da ranhura dependendo da aplicação do motor.

Os enrolamentos do motor podem designar-se de camada única, camada dupla ou camada mista quando o motor possui enrolamentos de camada única e de camada dupla.

  • Na camada única cada ranhura é ocupada por apenas um lado de bobina (ranhura cheia).
  • Na camada dupla cada ranhura é preenchida por dois lados de bobina (meia ranhura).
  • Na camada mista, são combinados os dois tipos de camadas anteriormente referidas, o motor terá ranhuras em que é utilizada camada única e ranhuras onde será utilizado camada dupla.

Ranhuras e tipos de Camadas

Exemplo de ranhura de camada única

Exemplo de ranhura de camada dupla

No caso de a bobinagem ser por polos, vai-se ter em cada fase tantos grupos quanto o número de polos. Na bobinagem por polos consequentes vai-se ter um número de grupos por fase igual a metade do número de polos.

Número de Bobinas por Grupo (Válidos para motores Trifásicos):

Depende basicamente da quantidade de ranhuras do motor, do número de polos e do tipo de enrolamento, dado pela fórmula seguinte:

Número de bobinas por grupo:

Em resumo apresenta-se uma tabela com os diferentes tipos de enrolamentos.

Interligação em Série:

A Interligação dos grupos em série tem como particularidade oferecer apenas um caminho à passagem da corrente elétrica, a saída de um grupo está ligada à entrada do grupo seguinte.

Associação Grupos de Bobinas

Ligação de grupo em série (motor 8 pólos) por polos consequêntes

Interligação de grupos em série (motor 4 pólos) por polos

  • Por se encontrarem ligados em série a corrente é igual em qualquer ponto da fase.
  • No caso de se interromper a corrente em qualquer grupo de bobinas toda a fase deixara de estar energizada.
  • A tensão ficará dividida de igual modo ao longo de todos os grupos que constituem a fase.
  • A resistência total de toda a fase é igual à soma da resistência de cada grupo.

Principais características de uma interligação em série de grupos:

A interligação em paralelo ao contrário do que acontecia na interligação em série, caracteriza-se por oferecer dois ou mais caminhos à passagem da corrente elétrica. Neste caso cada grupo de bobinas é alimentado de forma independente:

Interligação em paralelo:

Interligação de grupos em paralelo

Interligação de grupos em paralelo (2 × paralelo)

Interligação de grupos em paralelo (3 × paralelo)

Interligação de grupos em paralelo (4× paralelo)

Interligação de grupos em paralelo (4× paralelo)

Interligação de grupos em paralelo (6× paralelo)

  • A tensão em grupos que se encontrem em paralelo é a mesma.
  • A corrente total de uma fase é dividida igualmente por todos os grupos de bobinas.
  • A interrupção de alimentação de um grupo, não afecta os restantes grupos.
  • A Resistência total de toda a fase é igual à soma dos inversos das resistências de cada grupo.

No anexo C é apresentada uma configuração do motor que tem como princípio a alteração do número de polos pela mudança da configuração da ligação das bobinas.

Pode-se reter pela teoria fundamental das máquinas elétricas rotativas que o torque fornecido pelo motor de indução é directamente proporcional ao produto do fluxo magnético pela corrente elétrica, por sua vez o fluxo no entreferro da máquina depende da maneira como as bobinas são ligadas (se em paralelo se em série, em ligação direta ou em oposição, com configurações Y ou Δ). Conclui-se assim que todas as configurações de ligação das bobinas estão directamente ligadas com o projeto da máquina.

Principais características de uma interligação em paralelo de grupos:

Quando se tem uma quantidade de grupos igual ao número de polos (interligação por polos), independentemente de a ligação entre grupos ser em série ou em paralelo, todos os grupos da fase deverão ter a chamada ligação em oposição. Quer isto dizer que o fim de um grupo deverá ser ligado ao fim do grupo seguinte e o começo com o começo do próximo.

Quando se tem um grupo de bobinas por par de pólos (interligação por pólos consequentes) independentemente de os grupos estarem ligados em série ou em paralelo, todos os grupos da fase deverão ter a chamada ligação direta, quer isto dizer que o fim de um grupo deve ser ligado ao início do grupo seguinte.

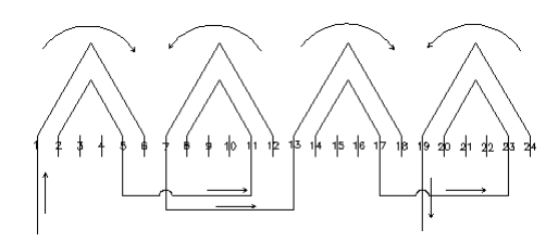
O objectivo é garantir a inversão do sentido da corrente entre os sucessivos grupos de bobinas, num instante a corrente circula no sentido horário num grupo e no instante a seguir ela inverte o sentido e passa a circular no sentido anti – horário no outro. Sempre que há inversão do sentido da corrente entre grupos há formação de polos.

Formação de polos

As figuras 3.20 e 3.21 representam a ligação em sequência direta, em que um grupo de bobinas forma um par de polos. Observa-se que existem quatro inversões do sentido da corrente o que provoca a formação de 4 polos, isto é, formam-se dois polos por grupo de bobinas.

As figuras 3.22 e 3.23, representam a ligação em oposição, em que dois grupos de bobinas formam um par de polos, neste caso constata-se que existem apenas duas inversões do sentido de corrente.

Estes tipos de ligação são independentes de os grupos serem ligados em série ou em paralelo, com grupos de bobinas concêntricas ou imbricadas, em bobinas de camada única ou dupla

Relação do número de polos com o número de grupos de bobina por fase.

Ligação em paralelo dos grupos em sequência direta.

Ligação em série dos grupos em sequência direta.

Ligação em paralelo dos grupos/ ligação em oposição.

Ligação em série dos grupos / ligação em oposição.

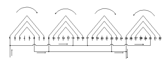
ara o cálculo dos dados de bobinagem existem algumas considerações que devem ser tomadas em conta, para uma eficaz aplicação destas regras utiliza-se na maioria das vezes como unidade de medida o número de ranhuras. O enrolamento de um motor costuma ser esquematizado de forma planificada para uma melhor visualização e melhor entendimento do esquema de bobinagem, as ranhuras do estator são numeradas em sequência o que leva a que qualquer ranhura do estator possa ser considerada como referência, ranhura número 1. Geralmente considera-se a ranhura número 1 a ranhura que acomoda o lado da primeira bobina do primeiro grupo de bobinas da primeira fase.

É possível definir-se algumas relações associadas à bobinagem de motores, deve-se no entanto ter em consideração que as relações apresentadas não se aplicam para motores em que sejam utilizados enrolamentos de camada mista ou para motores que possuam enrolamentos nos quais os grupos tenham diferente número de bobinas.

Cálculos associados à bobinagem de motores

Quando o enrolamento for de camada única todos os passos apresentados em cima deverão resultar em números inteiros, caso contrário não se pode aplicar estas regras para os enrolamentos. Em relação ao passo de bobinas existem duas considerações que devem ser tomadas em conta. Para o caso dos enrolamentos serem imbricados as bobinas apresentam todas o mesmo passo. No caso de as bobinas serem concêntricas, determina-se o passo médio das bobinas. No arranjo concêntrico de bobinas, a diferença entre duas bobinas consecutivas é sempre igual a 2. Quando o número de bobinas por grupo for impar, o passo médio das bobinas será aplicado à bobina central figura 3.24. Se por sua vez o número de bobinas for par, a bobina central interna terá passo médio subtraído de um, e a bobina central externa, somado de um como se pode verificar pela figura 3.25.

A situação ótima seria que o passo das bobinas fosse igual ao passo polar para uma melhor distribuição do fluxo magnético no interior do entreferro do motor. O passo do grupo de bobinas é fixado pela geometria, e quando coincide com o passo polar, não existe outra hipótese a não ser o encurtamento do passo da bobina em relação ao passo polar. Bobinas com o passo encurtado devem ter um maior número de espiras para compensar a distorção do fluxo magnético no entreferro.

Se o enrolamento for de camada dupla, o passo polar deverá ser múltiplo de 0,5 e os restantes parâmetros inteiros. Caso contrário, não se aplicam as expressões enunciadas acima. Na maior parte dos casos os enrolamentos de camada dupla são diametrais, isto é, o passo polar é igual ao passo do grupo (Pp=Pg), isto porque são enrolamentos com número de grupos igual a 2, dois grupos de bobinas por fase e por par de pólos. Não existe nenhum impedimento geométrico por a ranhura possuir dois lados de bobina para não se fazer o passo da bobina igual ao passo polar (Pb=Pp). No entanto para se melhorar as condições de partida costuma-se encurtar o passo da bobina, sendo assim tem-se:

Para a situação em que o enrolamento é de camada única o passo da bobina é dado por:

Para a realização da bobinagem de um motor é necessário ter em conta o posicionamento dos grupos ao longo de todo o estator. Pretende-se assim otimizar o desempenho pela correcta colocação dos grupos por forma aos mesmo ficarem simetricamente distribuídos em toda a periferia do estator.

Cálculo de Distribuição: Utiliza-se para o posicionamento dos grupos de bobinas no estator, para que fiquem simetricamente distribuídas pela fase.

Cálculo de desfasagem: Permite estabelecer a distância medida em ranhuras à qual se inicia a fase seguinte.

Desenho de esquemas trifásicos

Cálculo de Distribuição:

Cálculo de desfasagem:

D – Distância em ranhuras a partir da qual começam os restantes grupos de uma fase

NR – Número de ranhuras estator

Nº G/F– Número de grupos por fase

Nº P – Número de polos

O – Distância em ranhuras à qual se inicia a fase seguinte

 

Onde:

O dimensionamento que se apresenta é utilizado em motores de potência inferior a 50 Cv, de indução trifásicos totalmente fechados e com ventilação externa. A aplicação deste tipo de dimensionamento é sugerida para o caso de rebobinagem.

Neste cálculo é determinado o número de espiras por bobina e a bitola do fio a ser empregado.

 

Dimensionamento de bobinas

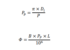
O comprimento do passo polar é dado por:

É então possível nesta altura o cálculo do número de espiras por fase que é dado da seguinte forma:

O valor de deve ser um número inteiro. Por sua vez o valor de N é dado na tabela a seguir em função do número de polos, do número de ranhuras e do passo médio do enrolamento.

Por fim o número de espiras por bobina é dado por:

Em que os dados da tabela representam:

Tabela de Dados para a escolha ou para se alterar o passo do enrolamento.

Pode-se ainda fazer uma verificação do dimensionamento pela analise do fator de enchimento que é dado por:

Valores muito baixos do factor de enchimento deixam as espiras de cobre muito soltas dentro da ranhura, e valores muito altos do fator de enchimento dificulta a inserção das bobinas nas ranhuras.

A tabela que se segue fornece algumas orientações para o fator de enchimento em função da área da ranhura:

Tabela de Fator de enchimento em função da área da ranhura

4 Qualidade no Processo de Fabricação de Motores de B.T

A qualidade de um produto é uma questão que deve estar sempre presente ainda mais por estarmos face a um mercado de exigências extremamente competitivo. Por isso mesmo todo o processo de fabrico de motores tem por base criteriosos métodos de aumento de qualidade dos produtos.

A qualidade na fabricação de motores tem como áreas de intervenção:

  • Defeitos na bobinagem
  • Defeitos na montagem
  • Defeitos de campo
  • Refugos

Defeitos na bobinagem compreendem todos os defeitos registados desde a colocação do isolamento de fundo de ranhura até ao momento em que é prensada a carcaça no estator bobinado. Os defeitos na montagem compreendem defeitos em todo o processo de montagem depois da prensagem da carcaça no estator bobinado até chegada ao acabamento final (pintura). Defeitos de campo são defeitos que ocorrem nos motores que já estão em funcionamento em posse dos clientes que por ventura podem apresentar defeitos que não tenham sido detectados durante o fabrico dos mesmos. Existe ainda a questão relacionada com o refugo, pode ser refugo de carcaça fofo (ferro fundido), refugo de isolantes, refugo de alguns componentes como por exemplo chapas de estator grampeado, cabos, tampas deflectoras, rolamentos. De entre os defeitos e refugos, são os refugos de fio de cobre que apresentam a maior perda económica no processo de fabricação de motores. Neste capítulo será analisado os defeitos na bobinagem e apresentado um estudo de refugo de cobre.

Defeitos na Bobinagem

Os defeitos de bobinagem apresentados neste capítulo dizem respeito aos estatores bobinados que vão equipar os motores das carcaças 280/315 produzidas na fábrica III. Será explicado em que consiste cada um dos defeitos encontrados e quais as suas causas. Para além disso será exposto um estudo de refugo de cobre.

Foi realizado durante 45 dias um levantamento dos principais defeitos. Para o período de tempo considerado, foram registados um total de 67 defeitos dividindo-se os mesmos da forma representada no gráfico 4.1. (O percentual de cada defeito não foi revelado por ordem da WEG). Será detalhado mais à frente os defeitos encontrados.

Percentual de cada tipo de defeitos.

Tendo-se em conta o número de motores produzidos das carcaças 280 / 315 e o número de defeitos registados obteve-se um percentual de 1.15 % de motores com defeito indicados no gráfico 4.2.

– Quantidade de Motores produzidos no período de estudo por carcaça

Principais defeitos no processo de fabrico de motores elétricos:

Cabos Cortados:

Os cabos são cortados geralmente depois da impregnação por gotejamento, isto acontece porque depois da impregnação antes de o estator já impregnado entrar no túnel de resfriamento existe a necessidade de se limpar o verniz que se acumula nos cabos de ligação, o operador utiliza um alicate para picar o excesso de verniz que se acumulou. Se este não tiver o cuidado necessário, factor que aliado a um material dilatado com a temperatura do verniz (silicone de pouca resistência mecânica) acaba por haver corte de cabos. Outro problema que estava a existir e que foi de certa forma acautelado era a questão de armazenamento dos estatores já impregnados, devido ao elevado número de estatores em estoque antes de irem para a prensagem da carcaça, a movimentação dos mesmos provocava choques entre eles e muitas vezes acabava-se a ter cabos cortados. Por último outro posto onde podem ocorrer cortes em cabos é na prensagem da carcaça no estator. Neste caso o retrabalho é demorado.

Ligações erradas:

A principal causa das ligações erradas é falta de atenção do operador, inexperiência, sistematização do processo e falta de verificação de alguma condição especial presente na nota de operação. Neste caso o retrabalho é rápido.

Bobina Trocada:

A principal causa de bobinas trocadas (bitolas de fio trocadas, engano no perímetro das bobinas) deve-se principalmente a desatenção do operador a observar a N.O o retrabalho é demorado e os custos elevados, na maioria dos casos as bobinas são sucateadas perdendo-se o valor económico do cobre mais o custo de todo o processo de recuperação do estator (Mão de Obra, Recursos Materiais).

Fases Desfasadas:

Este defeito deve-se a uma incorrecta soldagem das ligações. Num sistema trifásico equilibrado como deve ser a configuração dos enrolamentos de um motor as fases devem estar desfasadas de 120 graus, caso as ligações não sejam correctamente executadas este desfasamento vai dar um valor diferente, caso não fosse detetado haveria um desequilíbrio de correntes nos enrolamentos o que levaria a um incorrecto funcionamento do motor. O retrabalho para este tipo de defeito é rápido.

Surto / Choque:

A principal causa deste defeito está relacionada com falhas / defeitos no sistema de isolação do motor, a causa deste defeito pode ser isolamento de fundo de ranhura estourado / mal posicionado (curto – circuito entre bobina e massa), isolamento entre camadas danificado / Rasgado / Deslocado (curto – circuito entre fases / entre espiras da mesma fase), espiras de fio com o isolamento deteriorado são muitas vezes responsáveis por curto circuitos, isoladores entre fases deslocados e isoladores de fechamento de ranhura danificados podem também provocar c.c no bobinado do motor, a não colocação de estecas para motores com enchimento baixo pode com o passar do tempo comprometer a qualidade do produto por os condutores se encontrarem soltos sujeito a vibrações devido aos esforços electrodinâmicos sobre os mesmos. O retrabalho para este tipo de defeito é relativamente rápido no entanto dependente de qual isolante apresenta problema, o motor é enviado para recuperação.

Bobinas com o isolamento danificado:

A principal fonte de bobinas arranhadas é a máquina de amarrar as cabeças de bobinas, pode também ocorrer este problema na inserção manual e mecanizada, na inserção mecanizada se a máquina não estiver corretamente calibrada vai ser inevitável a ocorrência deste problema, na inserção manual se os operadores não tiverem o devido cuidado pode ocorrer de igual forma este problema. Este problema agrava-se quando o fator de enchimento do motor é elevado. O retrabalho é reduzido se for possível aplicar uma fita isoladora de material com características de isolamento semelhante ao esmalte aplicado no revestimento do fio de cobre.

Resistência alta / baixa:

Este problema deve-se a erros na fabricação das bobinas (bobinas com espiras a mais ou a menos, erro de bitola de fios, ou a soldas mal executadas os problemas expostos devem-se essencialmente a desatenção inexperiência do operador. Os centros onde são causados os erros são nas bobinadeiras e na parte das soldagens das ligações. O motor é enviado para recuperação e o retrabalho pode ser demorado caso seja necessário substituir as bobinas, custo de retrabalho elevado. Se o problema for ligações mal executadas o retrabalho é rápido.

Ensaios realizados para a redução de refugo de cobre

Segundo dados consultados fornecidos pelo controle de qualidade, a Fábrica III ultrapassa as metas establecidas para refugo de cobre . Face a estes dados, foi-se em busca do problema tendo-se identificado umas das principais causas deste refugo elevado.

O refugo gerado deve-se a um corte sem controle nas bobinadeiras, não existe um sistema implementado que dê orientação onde se deve cortar a ponta para que fique do tamanho especificado.

O operador quando inicia a fazer bobinas para um tipo de motor vai à nota de operação vê qual o valor especificado das pontas pega numa fita metrica (trena) e vê aproximadamente onde a ponta deve ser cortada, no entanto este método é totalmente ineficaz e ao fim de uma série de bobinas as pontas começam a ser cortadas acima do valor, nesta situação é melhor que as pontas sejam cortadas com tamanho superior ao especificado do que com tamanho inferior o que podia levar a que quando o motor chegasse à parte das ligações não fosse possivel ligar e ao fazer-se as soldas estas poderiam não ficar com qualidade por as pontas estarem curtas. Isto implicaria um prejuizo maior do que um excesso de cobre que se possa cortar na parte das soldas das ligações.

Sendo assim foi feito um estudo de refugo de cobre por tipo de motor tendo-se em conta a sua polaridade, a(s) bitola(s) dos fios das bobinas, o seu tipo de ligação, o número de cabos de ligação e a bitola dos cabos de ligação. Com este estudo dá para se ter uma ideia do refugo gerado da maior parte de familias de motores tendo-se em conta as amostras recolhidas.

Para o estudo foram tiradas amostras de motores: 2 polos ligação série e ligação paralela, 4 polos ligação paralela e 6 polos ligação 3 × paralelo tendo em conta bitolas de fio de 1,18/1,32; 6 cabos de ligação com secção de 50 mm2 .

Polos ligação série

Estes motores com 2 polos ligação série apresentam as maiores pontas cortadas de todos os motores testados e apresentam também o maior peso de cobre refugado, este facto devese a que as pontas das bobinas são ligadas umas ao lado das outras o que faz com que haja muito refugo de cobre gerado. Isto demonstra que existe inadequação da N.O (nota de operação) para este tipo de motores. A maior ponta cortada foi de 420 mm o que representa um grande comprimento de cobre cortado como se pode observar pelo gráfico 4.3

Polos ligação 2 × paralelo:

Foram tiradas 3 amostras de motores de 2 polos ligação 2 × paralelo, é possivel observar pelo gráfico o que foi dito anteriormente, não existe um controlo de corte de pontas, a ponta menor medida tem 100 mm e a maior tem 190 mm praticamente o dobro do tamanho.

Em relação ao gráfico 4.7, verifica-se uma vez mais um corte de pontas excessiva, a ponta menor medida tinha 30 mm a mais do que devia ter, e a ponta maior tinha 150 mm, uma diferença bastante significativa.

Polos Ligação 2 × Paralelo:

Neste tipo de ligações , existe também uma grande aleatoriedade de comprimentos de pontas cortadas. Este tipo de motor é o motor com mais saída na produção, foram recolhidas 5 amostras de motores com as características enunciadas.

Pelo gráfico 4.10, é possivel observar-se que uma ponta tinha um valor inferior ao especificado na N.O no entanto as restantes já tinham um valor de comprimento excessivo.

Este tipo de motores é o segundo motor testado que apresenta maior refugo de cobre em peso de cobre cortado. Apesar de não ser do tipo de motores que apresenta as maiores pontas cortadas, apresenta elevado peso de cobre cortado, isto deve-se ao elevado número de ligações que têm de ser feitas.

Polos Ligação 3 × Paralelo:

Este motor apresenta também excesso de comprimento de pontas cortadas, é possivel observar pelo gráfico 4.13 que a N.O apresentava dois valores de comprimento de pontas 300 mm e 650 mm. O motor é projetado com duas medidas de pontas por causa da distribuição das mesmas ao longo da periferia do estator bobinado tendo em conta o esquema de ligação.

Nota-se claramente que em relação ao valor das pontas mais pequenas o operador na bobinadeira, tem a tendência de as cortar “quase do tamanho das pontas maiores indicadas na N.O”. Em relação às pontas maiores é possivel observar que elas são cortadas maiores que o valor indicado mas no entanto esse excesso é menor que nas pontas pequenas.

Este tipo de ligações de motor também apresenta elevado peso de cobre desperdiçado.

Comparativo entre os diversos tipos de motores testados

Estudo económico:

Para se ter uma noção de valor gasto com refugo de cobre que diz respeito a comprimento de pontas, foram levantados os dados de produção da FAB III no ano de 2011.

Neste levantamento faz-se uma divisão de acordo com as carateristicas dos motores para o qual foram tirados valores, assim vai ser possível chegar-se a algumas conclusões de quanto a WEG gasta e quanto poderia poupar se houvesse um método de controle de corte de pontas. No gráfico 4.17 está representado o percentual da produção da fabrica III por tamanho de carcaça.

Na tabela 4.2 são apresentados os percentuais de motores produzios com caraterísticas semelhantes aos motores testados para se ter uma ideia da abrangência do estudo.

Pelo Gráfico 4.18, acima, é possivel observar-se que entre todos os motores produzidos na Fab III em 2011 apenas uma percentagem de 29 % é incluida no nosso estudo considerando-se todas as carcaças, considerando-se as carcaças 280/315 foram considerados um total de 76 % de motores com características iguais aos motores testados. O gráfico 4.19 representa de entre as carcaças 280/315 a percentagem de cada família de motores testados sendo a esmagadora maioria motores de 4 polos ligação 2 × paralelo.

Os motores testados tinham secção dos cabos de ligação de 50 mm2 , no entanto foram consideradas todas as secções disponíveis porque como se pode ver pela tabela 4.3, no ano de 2011 foram produzidos mais motores com secções inferiores a 50 mm2 , o que na verdade significa que o refugo será maior do que o considerado porque motores com secções inferiores de cabos de ligação geram mais refugo (é necessário menos comprimento de pontas para se fazer as ligações).

Tendo-se em conta os valores do preço do cobre (WEG) processado e de venda do refugo não divulgados por serem valores restritos à WEG, é possivel fazer-se uma estimativa do valor perdido em dimensional de comprimento de pontas utilizando-se os valores indicados na tabela 4.4.

Tabela 4.4 – Médias dos dados recolhidos vs dados motores de teste

Tabela 4.5 – Estudo económico com base valores recolhidos.

Para a realização do estudo económico, foram efetuados testes a quatro motores com as mesmas características dos motores estudados acima. O procedimento foi ir-se às bobinadeiras e depois de serem feitas as bobinas cortar-se a ponta das mesmas com o valor indicado na nota de operação. Em seguida o objectivo era acompanhar-se esse motor até à zona das ligações e ver-se se com as pontas com o comprimento indicado era fácil fazer-se as ligações. Foi concluído que não se compromete a qualidade do processo nem a qualidade das ligações. Em seguida nos postos das soldas foram tiradas as pontas sobrantes e tiradas conclusões. Conclusões essas relatadas em seguida de acordo com os dados obtidos. O gráfico 4.20 mostra a poupança conseguida de cobre em cada tipo de motor testado. O gráfico 4.21 mostra a poupança conseguida anual tendo em conta todo o estudo feito anteriormente.

Pontos fortes do estudo:

  • Contacto direto e abordagem de um problema real de refugo cobre na Fábrica III.
  • Observação de como é gerado esse refugo.
  • Identificação de variáveis que influenciam diretamente a quantidade de refugo de cobre na FAB III.
  • Identificação de uma possível causa do problema.
  • Possibilidade de redução de refugo.
  • Aumento de Produtividade no Processo de fazer bobinas, redução do número de vezes que o operador troca carretéis (aumento de tempo útil de trabalho) , redução do tempo que o operador demora a fazer emendas quando acaba o fio no carretel.
  • Redução de Custos associado a fornecimento de cobre.

Pontos fracos:

  • Poucas amostras de determinadas famílias de motores devido à variação do Mix de produção e devido à demora no processo de recolha de dados.
  • Percentagem de famílias de motores testados das carcaças 280 / 315 de 76,2 %.
  • Não foram feitos testes nos estatores dos motores das carcaças 225 / 250 o que perfaz um total de amostragem de 29 %.
  • Necessidade de investimento em sistema de controlo das pontas cortadas nas bobinadeiras, não foi avaliado o custo do equipamento.

Conclusões:

  • Não existe qualquer tipo de controle sobre as pontas cortadas, os gráficos recolhidos mostram isso mesmo.
  • 64 % dos motores das carcaças 280 / 315 produzidos em 2011 tinham Bitolas dos cabos inferiores a 50 mm2 . Os testes foram realizados para bitolas de cabos iguais a 50 mm2 , sendo o estudo mais uma vez por defeito, conclui-se que a N.O não leva em conta a bitola dos cabos que vão ser utilizadas.
  • As pontas são sobredimensionadas de modo a atender a pior situação (cabo com maior seção e com o menor número de cabos de ligação).
  • Possibilidade de se poupar cerca de 40 % do dinheiro gasto em refugo para os motores testados.
  • No anexo C deste documento é apresentado um método proposto para a redução de cobre nas bobinadeiras.
  • Atualmente a diferença entre o preço do cobre já processado e o preço de venda do cobre como sucata tem um valor baixo, o que acaba por ser um fator inibidor de investimento.