Motores Elétricos

Enrolamento de Motor

1 Motores Elétricos

CLASSIFICAÇÃO

Classificação dos motores de indução de acordo com seu rotor

1) Rotor gaiola de esquilo

  • O rotor em gaiola de esquilo é constituído por um núcleo de chapas ferromagnéticas, isoladas entre si, sobre o qual são colocadas barras de alumínio (condutores), dispostas paralelamente entre si e unidas nas suas extremidades por dois anéis condutores, também em alumínio, que provocam curto-circuito nos condutores.

Rotor Gaiola de Esquilo

Estator

  • O estator do motor é também constituído por um núcleo ferromagnético laminado, nas cavas do qual são colocados os enrolamentos alimentados pela rede de CA 3Φ
  • As barras condutoras da gaiola são colocadas geralmente com uma certa inclinação para evitar as trepidações e ruídos pela ação eletromagnética entre os dentes das cavas do estator e do rotor.

Classificação dos motores de indução de acordo com seu rotor

1) Motor com rotor gaiola de esquilo

  • Mais robusto;
  • Em sua forma mais simples apresenta conjugado de partida relativamente fraco e corrente de partida até 10x da IN ;
  • Para melhorar seu desempenho são equipados com rotores gaiola de barras altas, barras de cunha ou barras duplas.

2) Motor com rotor bobinado

  • Difere do motor de rotor em gaiola apenas quanto ao rotor, constituído por um núcleo ferromagnético laminado sobre o qual são alojadas as espiras que constituem o enrolamento 3Ø;
  • A utilização de reostatos podem melhorar o conjugado de partida e diminuir o pico de corrente de partida.

2 Rotor em gaiola X Rotor Bobinado

Constituição do motor de indução

Motores de indução monofásicos

Inconvenientes:

  • Custo mais elevado que um motor 3Ø de mesma potência;
  • Alcança apenas 60 a 70% da potência do motor 3Ø do mesmo tamanho;
  • Apresenta rendimento e FP menores;
  • Não é possível inverter diretamente o sentido de rotação de motores monofásicos.
  • Destinado apenas a um valor de tensão;
  • Não é possível a inversão do seu sentido de rotação;
  • Exemplo: motores de pequenas bombas d´água, motores de ventilares grandes para o meio rural, etc.

Motor monofásico com quatro terminais

  • Dois valores de tensão (110/220V);
  • Não é possível inverter o sentido de rotação desse motor.

Esquemas:

Motor monofásico com seis terminais

  • Permite dois tipos de alimentação diferentes;
  • Pode-se inverter o sentido de giro desse motor.

Esquemas:

 

  • Motor de pólos sombreados (Shaded pole);
  • Motor de fase dividida (Split phase);
  • Motor de capacitor de partida (capitor start);
  • Motor de capacitor permanente (permanent split capacitor);
  • Motor com dois capacitores (two value capacitor).

Motor Universal

  • Pode operar tanto em CA como CC;
  • Velocidade variável (baixas velocidades para grandes conjugados e altas velocidades para pequenas cargas);
  • O conjugado de partida também é elevado;
  • São usados comumente em pequenos eletrodomésticos como furadeiras e lixadeiras que requerem conjugado elevado e liquidificadores, aspiradores de pó e bombas centrífugas que requerem alta velocidade;
  • Normalmente são fabricados para potências fracionárias de até ¾ cv uma vez que para potências acima de alguns cv funcionam precariamente em CA gerando grande faiscamento nas escovas e η e FP decrescem.

Identificação das bobinas de um motor monofásico

Para determinar os enrolamentos principais e auxiliar:

  • Com ohmímetro mede-se a R de cada bobina. A que apresentar maior valor é a auxiliar

Polarização das bobinas principais

Após inverter uma das bobinas e medir a corrente novamente, deve-se aplicar os números 1, 2, 3 e 4, respectivamente, à ligação das bobinas que apresentar a menor corrente.

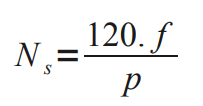
3 Motores Síncronos

A velocidade do seu rotor é sincronizada com o campo girante que é estabelecido no estator.

Sendo: Ns = velocidade síncrona em rpm;

f = frequencia em Hz;

p = número de pólos.

Como f e p são constantes, então Ns é constante.

Rotação síncrona em função do número de pólos, para a frequência de 60 Hz

Nestes motores, o estator é alimentado com CA, enquanto o rotor o é com CC proveniente de uma excitatriz (dínamo).

Utilização do motor síncrono para correção do FP

  • Devido à possibilidade de variação da excitação do campo, o motor síncrono possui a característica de variação do FP;
  • O FP é diretamente dependente da corrente de excitação

Variação do FP em função da variação da corrente de excitação

Desvantagens dos motores síncronos em relação aos de indução

  • Precisam de uma fonte de excitação em CC;
  • Manutenção constante;
  • Não parte apenas com CA no estator pois é necessário que o motor seja levado e uma velocidade suficiente, próxima da velocidade síncrona para que ele possa entrar em sincronismo com o campo girante.

Vantagens dos motores síncronos em relação aos motores de indução

  • Podem corrigir o FP;
  • Possuem η maiores do que os motores de indução equivalentes, quando trabalham com FP = 1.

4 Motores Assíncronos

  • Giram numa rotação menor do que a rotação síncrona;
  • Nestes motores, ocorre um deslizamento ou defasagem em relação à rotação síncrona, pois eles funcionam a uma velocidade menor que a síncrona.

Deslizamento ou escorregamento (S):

Características

  • A velocidade a plena carga pode ser de 5 a 10% menor que o valor da velocidade com o motor sem carga;
  • Os motores em gaiola absorvem, na partida, uma corrente que pode chegar de 5 a 7x a corrente a plena carga, mas desenvolvem um conjugado motor cerca de 1,5x o de plena carga, o que é muito conveniente para a demarragem das máquinas por eles acionadas.