A GEOMETRIA DA ÓPTICA GEOMÉTRICA E DA ÓPTICA FÍSICA

Óptica

1 A GEOMETRIA DA ÓPTICA GEOMÉTRICA E DA ÓPTICA FÍSICA

INTRODUÇÃO

Desde Antiguidade o comportamento da luz tem gerado imensa curiosidade no homem, esse através do tempo tem procurado saber sua origem e sua conduta. A óptica é a parte da Física onde se estuda o comportamento da luz. Uma característica interessante é que a óptica pode ser abordada em dois pontos de vista:

a) Óptica física ou ondulatória - estuda a natureza da luz, considerando a propagação da luz em forma de ondas.

b) Óptica geométrica - estuda a trajetória da propagação da luz, considerando-a como um feixe.

Nesse texto será focalizado a Óptica Geométrica fundamentada na Óptica Física que é desenvolvida através de conceitos geométricos, onde poderemos descrever matematicamente a luz em sua propagação no meio. E analisaremos o fenômeno luminoso sem saber a sua natureza. Com a descoberta do comportamento da luz o homem percebeu que a óptica poderia ser aplicada de diversas formas podendo ser construído diferentes instrumentos ópticos. Com a reflexão e refração foi possível a construção de instrumentos ópticos de grande utilidade: telescópios, microscópios e sistemas de lentes altamente modernos (câmeras, projetores etc.). A óptica tem sido uma ferramenta essencial em algumas ciências, como na área de saúde, Ela não foi desenvolvida apenas para montar binóculos de bolso ou câmeras de uma única lente. A parte médica e biológica não teria se desenvolvido tanto, se não tivesse como auxiliar o microscópio. “De fato, seguramente podemos dizer que a tão conhecida tecnologia da medicina moderna e imunológica simplesmente não existiria se não tivesse sido inventados instrumentos ópticos potentes” (Mckelvey e Grotch, 1981). A fibra ótica também é outra aplicação da reflexão além de ser usada para diversos instrumentos médico-cirúrgicos, é usada na telefonia, pois funciona como guia de ondas para a luz, que permite transmiti-la a grandes distâncias com perdas extremamente pequenas. O nosso conhecimento dos astros, do Sol, dos planetas, do universo tem sido alcançado com o uso dos telescópios astronômicos. O campo de pesquisa na área de óptica ainda é muito ativo.

Retrospectiva Histórica

A luz é uma forma de energia que se propaga em meios materiais e no vácuo, com velocidades diferentes e ela se propaga por meio de linha reta (óptica geométrica), e isso nos leva para o estudo da geometria como ferramenta de estudo da propagação da luz em um certo meio. A geometria um dos ramos da matemática já era desenvolvida por civilizações antigas (egípcias e babilônicas), através de algumas pessoas essa ciência foi anunciada ao mundo grego, alguns deles foram os matemáticos e filósofos gregos Tales de Mileto (624 a.C. a 546 a.C.) e Anaximandro (610 a.C. a 546 a.C.). Entre esses também estava Pitágoras (582 a.C. a 497 a.C.) que contribuiu tanto para a geometria como para a difusão (uma parte da óptica). O fenômeno luminoso foi motivo de estudo de vários curiosos, desde os tempos antigos os gregos já conheciam os fenômenos ópticos, como reflexão e refração, os romanos também já conheciam a óptica apesar desses povos não entenderem muito bem esses fenômenos. A refração no vidro já era usada nos tempos medievais para corrigir problemas de visão. Que se tem notícia o primeiro a pensar no comportamento da luz foi o filósofo grego Aristóteles (384-322 a.C) que determinava que a luz era uma onda (defendia a teoria ondulatória, propagação por meio de ondas) e que a velocidade da luz era infinita. Ao contrário do filósofo grego Empéclodes que acreditava que a luz era um feixe de luz contínuo e finito. Segundo os historiadores gregos, foi o matemático e engenheiro grego Arquimedes (287 a.C a 212 a.C) que defendeu a cidade de Siracusa utilizando espelhos ardentes, ou seja, dispositivos capazes de criar incêndios com concentração de raios solares. O espelho esférico foi estudado pelo matemático grego Euclides (325 a.C a 265 a.C) em sua obra Catroptics, em 285 a. C, antes de Arquimedes. O nome de Euclides esta ligado com a geometria, quando postulou a propagação em linha reta dos raios de luz, ele permitiu que a óptica fosse uma simples divisão da geometria. Claudius Ptolomeu (85 a 165 d.C.) construiu uma tabela com os ângulos de incidência e refração, seu trabalho é um dos poucos experimentos da época, mas os ângulos encontrados por ele estavam apenas corretamente aproximados. A idéia de que a luz se propaga por meio de linha reta também foi defendida pelo físico e matemático iraquiano Abu- ‘Ali Al-Hasan Ibn Al-Haytham (Al-Hazen) (965 a1038). Ele que introduziu o termo “raio de luz” por ter provado diversos fenômenos ópticos, melhorou as leis de reflexão e refração desenvolvidas por Ptolomeu, corrigiu as tabelas de ângulos de incidência e refração também elaborada por Ptolomeu e introduziu que os ângulos de incidência, reflexão e refração estão no mesmo plano, o plano de incidência. Em 1604, Kepler afirma sobre a intensidade que a luz decai com o inverso do quadrado da distância ao centro luminoso e apresenta uma lei de refração aprimorada em relação a idéia de que o ângulo de incidência é proporcional ao ângulo de refração (embora não seja aceita hoje), cita André Koch Torres Assis tradutor do Livro Óptica de Isaac Newton.

Entre 1621 e 1625, Willebrord Snell (1591-1626) professor em Leyden descobre experimentalmente a lei correta da refração, sendo considerado um dos momentos mais importantes da óptica. Foi Snell que abriu a s portas para a óptica aplicada contemporânea. Em 1637 e 1638 Descartes publica o livro Discours de la Máthodei (Discurso do Método) onde escreve sobre Óptica e apresenta pela primeira vez a forma correta da lei da refração em função de seno (ele não cita o trabalho de Snell). Isaac Newton era apaixonado pela óptica, foi sobre ela que ele escreveu seu primeiro e seu último livro (1704). Newton se inspirou nos trabalhos de René Descartes para desenvolver seu trabalho, embora mais tarde tivesse discordado de algumas de suas idéias.

PRINCÍPIOS BÁSICOS

A óptica geométrica pode ser estudada através da Teoria Corpuscular defendida por Newton (onde a luz é formada por corpúsculos - partícula pequeníssima dos corpos, átomo, molécula) ou pela Teoria Ondulatória onde Christiaan Huygens diz que a luz se propaga por meio de ondas.

Princípio de Huygens

“Numa onda, temos de examinar a propagação da fase da onda, que define suas cristas e vales. Uma frente de onda (3 dimensões é uma superfície) é o lugar geométrico de pontos que têm a mesma fase, por exemplo, pertencem todos na mesma crista de onda.” (Nussenzveig, 1998 p.19) O matemático, astrônomo e físico holandês Christiaan Huygens (1629-1695) publicou um trabalho Traité de la Lumiére (Tratado da Luz) em 1690, escrito nove anos antes, onde pela primeira vez enunciou um princípio que ficou conhecido como Princípio de Huygens: Cada ponto de uma frente de onda primária constitui uma fonte para ondas esféricas secundárias, e a posição da frente de onda primária num instante posterior é determinada pelo envolvente de todas estas ondas secundárias (Hechet, 2002) Essa afirmação pode ser visualizada na figura abaixo onde a onda de luz primária se desenvolve formando uma próxima onda, ou seja, uma onda secundária.

Huygens melhorou a proposta de Hooke da teoria ondulatória, só que seu princípio ainda precisava ser modificado, pois ainda não estava completo. No século XIX Fresnel alterou o Princípio de Huygens adicionando o processo de interferência de ondas. Kirchhoff demonstrou que o Princípio de Huygens-Fresnel derivava diretamente da equação da onda, mostrando que esse princípio possui fundamentos matemáticos. Posteriormente mostrou-se que as leis do eletromagnetismo de Maxwell levam à equação de onda, chegando-se, dessa forma aos princípios físicos fundamentais na explicação de fenômenos ópticos. Através do Princípio de Huygens podemos afirmar, quando uma frente de onda se encontra com uma barreira, essa frente de onda forma outras ondas de formato circular como mostra a Figura 02.

Princípio de Fermat

Hirão de Alexandria (150 a.C a 250 d.C) afirmou que a luz quando se propaga entre dois pontos A e B, escolhe o caminho mais curto. Essa observação ficou conhecida como princípio varicional. Esse princípio ficou esquecido por muitos anos até que o matemático e cientista francês Pierre de Fermat (1601-1665) em 1657 reformulou esse princípio: A trajetória seguida por um raio luminoso entre dois pontos é aquela que é percorrida no menor intervalo de tempo possível. Princípio do Tempo Mínimo (Hechet, 2002) Mas nem sempre o caminho que a luz percorre é o mínimo, existem algumas exceções que o percurso da luz pode ser o máximo. A forma mais completa do Princípio de Fermat é: A trajetória da luz, ao passar de um ponto para outro, é tal que o tempo do percurso é estacionário em relação a variações na trajetória. (Tipler, 1995) O Princípio de Fermat pode ser descrito pela seguinte integral, que descreve o tempo que a luz descreve para percorrer um determinado caminho, está em função do índice de refração:

Onde:

s - caminho que passa de A até B

c - velocidade da luz no vácuo (constante)

ds - diferencial da função comprimento de linha

v - velocidade da luz no meio

n - indice de refração: relação entre a velocidade da luz no vácuo e no meio como veremos no item 2.5.

t – tempo

A integral que descreve o Principio de Fermat é desenvolvida pela definição de integral, é a soma de todos os tempos que a luz demora para passar do ponto A até o ponto B (pois a velocidade pode ser diferente em cada espaço do meio). Por exemplo, se o ar estiver úmido a velocidade da luz pode ser diferente em cada espaço do ar, assim alterando o tempo de seu percurso. Pode-se demonstrar a lei de Femat a partir do princípio de Huygens, justificando-a portanto, a partir de leis mais fundamentais.

2 Óptica Geométrica

A óptica geométrica considera a luz formada de raios de luz como cita Ramalho: “raios de luz são linhas orientadas que representam graficamente a direção e o sentido de propagação da luz” (Ramalho et al.1990). Depois perceberam que a luz se comporta ora por raios ora por ondas. O conjunto de raios de luz se denomina como um feixe de luz. Este pode ser convergente, divergente ou paralelo.

A óptica geométrica se apóia em três princípios:

1. Princípio da propagação retilínea da luz: Nos meios homogêneos e transparentes, a luz se propaga em linha reta.

2. Princípio da reversibilidade dos raios de luz: A trajetória seguida pela luz independe do sentido de percurso.

3. Princípio da independência dos raios de luz: quando raios se cruzam, cada um deles segue seu trajeto como se o outros não existisse.

A óptica geométrica é muito útil em situações que o aspecto ondulatório da luz não é importante, sendo ela um caso particular do princípio de Huygens, quando a largura do feixe de luz é muito maior que o comprimento da onda.

Quando um feixe de luz se propaga e colide com uma barreira (um objeto qualquer), esse feixe é desviado. A situação descreve a reflexão da luz como mostra a Figura 03. A reflexão acontece no limite de dois meios, por exemplo, ar-vidro, ar-água entre outros.

O raio da luz quando atinge a superfície forma um ângulo com a normal da superfície esse ângulo se nomeia de ângulo de incidência. Mas esse raio de luz tocando na superfície ele volta para o 1º meio formando outro ângulo com a mesma normal que é o ângulo de reflexão. Sendo θ i = θ r , ângulo de incidência igual ao ângulo de reflexão (Lei da Reflexão).

Figura 03 - No meio 1 podemos observar o raio sendo refletido e formando com a normal nˆ os ângulos de incidência e reflexão, sendo ' θ1 =θ1 . E no meio 2 o raio refratado e o ângulo de refração θ2 em relação a normal nˆ (Nussenzveig, 1998)

O primeiro a descrever a Lei da reflexão foi Euclides em seu Livro Catóptrica, onde usou seu Elementos, livros que colocou todas as propriedades da geometria.

Podemos deduzir geometricamente com facilidade a lei de reflexão através do Princípio de Huygens (como já vimos ele considera a luz como uma onda). De acordo com a Figura 04 podemos considerar o segmento AA’ como uma frente de onda, essa que percorre uma distância até chegar a GG’. Quando essa frente de onda toca no espelho, ela se reflete formando o segmento AA’’, a seguir se converte no segmento BB’ acontecendo esse mesmo processo ad infinitum, ou seja, infinitamente. Percebemos que foram formados dois triângulos retângulos: APG e AQG, onde o ângulo θ é o ângulo de incidência e φ o ângulo de reflexão. A onda incidente viaja uma distância PG e quando ela é refletida através pelo espelho, são produzidas novas ondas que caminham uma distância AQ essa que é igual a PG. Sendo essas distâncias iguais podemos afirmar que, no triângulo APG o senθ = PG AG e no triângulo AQG o senφ = AQ AG . Logo:

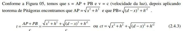
Através da Figura 05 podemos observar que a luz não leva o percurso mínimo para chegar a determinado ponto e sim o tempo mínimo. Usando a fórmula de velocidade:

Calculamos a derivada da equação (2.4.3) e igualamos a zero, pois o tempo é mínimo.

Se a reflexão acontece em uma superfície plana e lisa, é a reflexão especular, na qual a igualdade acima se aplica. Ou pode ser reflexão difusa quando a reflexão ocorre em uma superfície rugosa, sendo que os raios só voltam para o meio quando refletidos diversas vezes na superfície, refletindo em ângulos diferentes do ângulo de incidência. A reflexão especular e a reflexão difusa são os extremos da reflexão, a luz geralmente se reflete de forma intermediária

Os raios de luz que atingem a superfície não se refletem totalmente, uma parte é refletida e a outra penetra no segundo meio. Esse processo é chamado de refração, conforme a Figura 03. Quando o raio é refratado ele altera a direção e a velocidade da propagação do raio, isso é caracterizado pelo índice de refração n, cada material possui um índice de refração diferente

A 1ª lei da Refração cita: que o ângulo incidente, o ângulo refratado e a normal estão no mesmo plano.

3 Refração

A 2ª Lei da Refração é dada pela seguinte equação: ni θ i nt θ t sen = sen . Essa lei pode ser encontrada através do Princípio de Huygens-Fresnel ou Fermat. Demonstração da 2ª Lei da refração pelo Princípio de Huygens retirada do livro Física para engenheiros e cientistas, de Tipler:

De acordo com a Figura 06 o segmento AP é uma frente de onda que viaja no meio 1 e quando colide na barreira é refratado no meio 2 que se transforma na frente de onda representada pelo segmento B’B, que podemos observar os triângulos retângulos APB e AB’B onde tem a hipotenusa como lado de ambos os triângulos, podemos afirmar que os ângulos seguintes são idênticos:φ1 = θ 1 e φ2 = θ 2 . Pelo seguinte motivo, vamos observar a figura abaixo:

Ao alongarmos o segmento AP, ele se intercederá com a normal, vamos chamar esse ponto da intersecção de N. Como o segmento NB é a normal, sendo perpendicular ao segmento AB, logo temos que o triângulo ABN é retângulo no vértice B. Então os ângulos Aˆ e Nˆ são complementares, ou seja, + = 90° Aˆ Nˆ . Se traçarmos a altura do triângulo ABN em relação ao lado NA, dividiremos esse triângulo em dois outros triângulos retângulos ABP e PBN. Se o ângulo Nˆ é complementar de Aˆ , no triângulo PBN o ângulo será o complementar de Bˆ . Assim podemos afirmar que φ1 = θ 1 . Assim poderemos pelo mesmo processo afirmar a igualdade dos φ2 = θ 2 pelo triângulo formado no meio 2, segundo a Figura 07.

A lei da refração, também é conhecida como Lei de Snell, pois ele um filósofo natural foi o primeiro a apresentá-la, esta encontrada através de experimentos em 1621. Alguns anos depois René Descartes também encontrou a mesma por cálculos matemáticos, independente do experimento de Snell. Depois Newton também conseguiu deduzi-la. Como nos mostra a Figura 08 é possível encontrar a mesma equação de Snell através do princípio de Fermat.

Logo podemos afirmar que:

Como vimos tem a reflexão especular, reflexão difusa e refração, quando o raio de luz toca a fronteira entre os meios também ocorre outro fenômeno a absorção (o 2º meio absorve o raio, acontecendo o aquecimento). Esses fenômenos ocorrem simultaneamente, dependendo do meio algum(s) podem ocorrer de forma mais acentuada.

ESPELHOS

A reflexão especular é predominante quando o meio 2 é opaco e a superfície de separação é polida. Nessas condições a superfície é denominada de espelho ou superfície refletora. “os espelhos podem ser planos ou curvos (esféricos, parabólicos, etc.)”(Ramalho et al., 1990). Um espelho pode ser simplesmente um pedaço de vidros ou uma superfície metálica polida.

Espelhos Planos

Os espelhos planos são aqueles que não possuem nenhum ângulo de inclinação e todas as imagens produzidas por ele são iguais ao objeto. Vamos observar geometricamente na Figura 09, analisando os raios que se iniciam no ponto A e chegam aos pontos B e B’: o ângulo Dˆ dos triângulos ADB e BDC é reto e os ângulos ABD e DBC são congruentes pela Lei de Reflexão. Sendo o lado DB pertencente aos dois triângulos, conseqüentemente os lados AD e DC têm a mesma medida. Podemos afirmar que o objeto e imagem estão a mesma distância do espelho plano, de lados opostos e que ambos possuem a mesma dimensão.

4 Refração

5 Espelhos Esféricos

Um espelho esférico é uma calota esférica onde uma de suas superfícies é refletora, Figura 10. Ele pode ser côncavo quando a superfície refletora é a interna, ou convexo quando superfície externa é a refletora. Como afirma Ramalho em seu livro “Quando um plano corta uma superfície esférica, dividem em duas partes denominadas calotas esféricas” (Ramalho et al., 1990)

Na figura 11 podemos observar os elementos do espelho esférico:

C - centro de curvatura (centro da esfera que foi retirado o espelho)

V - vértice do espelho Eixo principal do espelho - reta que passa por CV

R - raio de curvatura do espelho (raio da esfera que originou o espelho)

F - foco do espelho (se localiza no ponto médio do raio)

A formação de imagem no espelho esférico depende da posição que o objeto esteja, se o objeto estiver entre centro de curvatura e foco, se estar sobre o centro entre outras posições, isso implicará que a nossa imagem estará do mesmo tamanho que o objeto, menor ou até mesmo invertida. O espelho esférico é uma aproximação do espelho parabólico. No entanto: “(...) o espelho esférico não forma uma imagem perfeita de um objeto puntiforme P: raios incidentes com diferentes inclinações θ cruzam o eixo em pontos Q diferentes após a reflexão. Dizemos que há aberração esférica.” (Nussenzveig, 1998 p.19) Mas, “É claro que a aberração esférica é mais ou menos desprezível somente quando apenas os raios para os quais o ângulo α na Figura 12 é pequeno puderem penetrar na superfície refringente. No entanto, quando os raios para os quase este ângulo for grande puderem entrar, a aberração esférica se tornará grande o bastante para aviltar seriamente a nitidez da imagem formada.” (Mckelvey e Grotch, 1981).

r – raio de curvatura
n e n’ – índices de refração dos meios, n’>n
O – posição do objeto
O’ – posição da imagem
OQ – raio incidente
v e v’ – velocidade da luz nos meios
R – centro da superfície
Q’ – ponto onde acontece a refração
Q – aproximação do ponto Q’, se a distância
for pequena
RQ – normal a superfície esférica
h – altura do vértice até o ponto Q
θ - ângulo de incidência
φ - ângulo de refração

“Se o α for pequeno, é fácil que os ângulos β,θ,φ e ψ devem ser ângulos pequenos.” (Mckelvey e Grotch, 1981). Os resultados serão bons se h < r, já que a r h tgα = . Esse exemplo não é real, mas é considerado o mais simples de compreender a formação de imagem e de entender a aberração de um espelho esférico por possuir uma geometria fácil de se entender. 3.3. Espelhos Parabólicos Dados um ponto F e uma reta d, pertencentes a um plano α , com F∉d, seja p a distância entre F e d. Parábola é o conjunto dos pontos de α que estão à mesma distância de F e de d. Parábola = {P∈ α PF = Pd}. (Iezzi, 1993) de acordo com a Figura 13.

Os espelhos parabólicos são bastante usados na construção de telescópios, no objetivo de obter uma imagem perfeita, nos faróis de carro. E também é muito utilizado nas antenas parabólicas para se ter uma boa transmissão de sinais, pois há a necessidade de.captar esses sinais e enviá-los sem a perda de sua intensidade, isso é possível quando a antena tem forma de uma parábola de revolução, pois os sinais fracos que são captados de uma imensa área, chegam a antena de maneira paralela e são concentrados no centro dessa para serem propagados de uma maneira que sejam amplificados. “Quando esses sinais são refletidos em um ponto de uma superfície, tudo se passa como se estivessem sendo refletidos em um plano tangente à superfície nesse ponto, de acordo com a famosa lei da Física: “o ângulo de incidência é igual ao ângulo de reflexão”.” (Santos e Bonfim, 2005). Podemos demonstrar geometricamente a propriedade aonde todos os raios chegam paralelos a qualquer ponto da parábola se converge para o foco. Mas primeiro iremos mostrar que a reta t é tangente à parábola. Vamos considerar um ponto P qualquer da parábola com foco F, diretriz d e uma reta t que é bissetriz do ângulo FPD, como nos mostra a Figura 14.

Sendo PF=PD no triângulo PFD, a reta t além de bissetriz é também altura, mediana e mediatriz do lado FD. Pegaremos Q, um ponto qualquer da reta t, mas Q ≠ P. Se D’ é uma projeção de Q sobre a diretriz d, poderemos afirmar que: QF=QD > QD’. Logo Q é um ponto exterior à parábola. Assim P pertence a t e a parábola, são exteriores todos os outros pontos pertencentes a reta t. Então afirmamos que a reta t é tangente a parábola no ponto P. Observe a Figura 15, se prolongarmos o segmento DP, encontraremos a semi-reta PY. Sabemos que a tangente no ponto P é bissetriz do ângulo FPD, então PY e PF fazem ângulos congruentes com a tangente. Assim todo sinal recebido na direção do eixo da parábola se converge para o foco depois da reflexão

Figura 15: Com a lei da reflexão que ângulo de incidência igual ao ângulo de reflexão, é possível mostrar uma propriedade importante da parábola. (Santos e Bonfim, 2005)

O único espelho capaz de refletir raios paralelos e concentrá-los em um único ponto é aquele de formato parabólico. Esse ponto de concentração de raios vai ser o foco da parábola, onde as retas paralelas ao seu eixo de simetria vão passar pelo foco ou aqueles que chegarem ao seu foco vão se dirigir de modo paralelo ao eixo de simetria.

6 LENTES

As primeiras lentes foram construídas na antiguidade, quando o homem começou a trabalhar com o vidro. Diferente dos espelhos, a lente é uma peça onde ambas as superfícies são refletoras. De acordo com a Figura 16 temos seis tipos de lente.

As lentes convergentes ou positivas são mais espessas no centro e diminui o raio de curvatura das ondas incidentes. E as lentes divergentes ou negativas seu centro é mais fino e aumentam o raio de curvatura dos raios facilitando a divergência. As imagens formadas pelas lentes acontecem por meio de refração nas superfícies, superfícies que geralmente são esféricas. Apesar de que as aplicações especiais são usadas às lentes anesféricas (não-esféricas), conforme Mckelvey e Grotch (1981). O motivo pelo qual as lentes esféricas são mais usadas devido ao seu baixo custo de fabricação, as aberrações produzidas por elas podem ser reduzidas ou até mesmo eliminadas dependendo da combinação de lentes esféricas e formam imagens adequadas Lentes que nem são planas e nem esféricas, podem ser denominadas como asféricas, as imagens produzidas por elas são de alta qualidade e é de fácil compreensão, mas sua desvantagem é que elas são difíceis de fabricar com a precisão necessária. Por isso o uso maior das lentes esféricas, apesar de que as lentes asféricas são produzidas conforme a necessidade de perfeição de imagens. A primeira lente asférica produzida em grande quantidade aconteceu no ano de 1982 para serem colocadas em máquinas fotográficas da Kodak, descreve Hecht (2002). O autor Hecht também cita que com os equipamentos mais recentes controlados por computadores pode se fabricar lentes asféricas com aberrações relativas. Essas lentes podem ser encontradas feitas de vidro ou plástico, em diversos instrumentos telescópios, máquinas fotográficas, projetores e em sistemas de reconhecimento.

CONSIDERAÇÕES FINAIS

Nesse trabalho observamos que a geometria é uma peça fundamental para a demonstração dos fenômenos ópticos, ou seja, a matemática tem que andar ao lado da física para haver um crescimento da comprovação de acontecimentos físicos que ocorrem em nosso redor. A óptica geométrica ao tratar de raios que se propaga em linha e desviam-se por ângulos bem definidos, representa um campo em que as leis da geometria podem ser aplicadas diretamente, levando as muitas conclusões físicas importantes. O princípio de Fermat requer a aplicação conjunta de conceitos de geometria e cálculo e o princípio de Huygens precisa de observações baseados em conceitos geométricos para ser demonstrado. Apesar de ter mostrado a representação geométrica e a demonstração das leis de reflexão e de refração, é possível também comprovar através dos conceitos geométricos a formação de imagens nos diferentes tipos de espelhos (planos, esféricos, parabólicos, hiperbólicos, elípticos, etc) ou lentes, mas esse artigo é muito limitado para a comprovação de todos esses fatos. Espero fazer uma continuação desse assunto visando a matemática como uma indispensável ferramenta de comprovação. Então podemos perceber que há a necessidade de conhecer os fundamentos geométricos e representar geometricamente os conceitos físicos para que sejam confirmados esses fenômenos.