ÓPTICA GEOMÉTRICA

Óptica

1 Introdução à Óptica Geométrica

Óptica é o ramo da física que estuda os fenômenos luminosos, bem como suas propriedades. Os fenômenos estudados em Óptica Geométrica podem ser descritos com a simples noção de raio de luz e alguns conhecimentos de geometria. Assim, para representar graficamente a luz em propagação, como por exemplo, a emitida pela chama de uma vela, utilizamos a noção de raio de luz.

Raios de luz são linhas orientadas que representam a direção e o sentido de propagação da luz

2 Fontes de luz

Fontes primárias

São os corpos que emitem luz produzida por eles mesmos (corpos luminosos). Ex: O Sol, a chama de uma vela, lâmpadas elétricas, etc.

Fontes secundárias

São os corpos que reenviam para o espaço a luz que recebem de outros corpos (corpos iluminados). Ex: Lua, parede, roupas, etc.

Conforme a fonte, a luz pode ser:

Simples ou monocromática

De uma só cor. Ex: luz amarela emitida por vapor de sódio incandescente.

Composta ou policromática

Resulta da superposição de luzes de cores diferentes. Ex: luz branca emitida pelo sol que é a superposição de sete cores principais: vermelho, alaranjado, amarelo, verde, azul, anil e violeta.

 

A cor de um objeto

Quando um objeto é iluminado com luz branca, ele absorve algumas cores e reflete outras. A cor do objeto é determinada pelas cores que ele reflete. Assim, por exemplo, um objeto é dito verde porque ao ser iluminado com luz branca ele reflete a luz verde e absorve todas as demais cores. Logo, um corpo que se apresenta branco, reflete as luzes de todas as cores. Um corpo negro absorveas totalmente.

Meios

Transparentes: Permitem a passagem de luz. Os objetos são vistos com nitidez. Ex: vidro comum, água em pequenas camadas e o ar.

Translúcidos: permitem a passagem parcial da luz, ocasionando a formação de uma imagem sem nitidez. Ex: vidro fosco, papel de seda e papel vegetal, etc.

Opacos: não permitem a passagem de luz. Ex: madeira e concreto.

Princípio da propagação retilínea da luz

Nos meios homogêneos e transparentes, a luz se propaga em linha reta.

A propagação retilínea da luz é facilmente observável quando a luz do Sol penetra entre as árvores de uma floresta.

A projeção da sombra de um corpo sobre um anteparo evidencia que a luz se propaga em linha reta.

Quando a fonte de luz é extensa, a região onde ocorre a sombra é envolta por uma região parcialmente iluminada, denominada penumbra.

Câmara escura de orifício

É uma caixa de paredes opacas, possuindo uma delas um pequeno orifício por onde a luz do objeto iluminado passa formando uma imagem invertida na parede oposta ao orifício.

Princípio da reversibilidade dos raios de luz

A trajetória seguida pela luz independe do sentido de percurso.

 

Princípio da independência dos raios de luz

Quando raios de luz se cruzam, cada um deles segue seu trajeto como se os outros não existissem.

Os raios de luz se cruzam e continuam a se propagar como se nada tivesse ocorrido.

3 Reflexão da luz

A luz, ao incidir sobre um objeto, pode ser refletida de duas maneiras:

Reflexão regular

O feixe de raios paralelos retorna mantendo o paralelismo. É o que acontece sobre a superfície plana de um metal.

Reflexão difusa

O feixe de raios paralelos retorna perdendo o paralelismo, espalhando-se em todas as direções.

A reflexão difusa é responsável pela visão dos objetos que nos cercam. Por exemplo, vemos uma parede porque ela reflete difusamente para nossa vista a luz que recebe. Você consegue ler um livro porque a luz que ilumina o ambiente incide sobre a folha e reflete em todas as direções.

Leis da reflexão

Seja um raio de luz refletido por uma superfície refletora ou espelho.

 

Definindo uma normal (N) ao plano do espelho, i para o ângulo de incidência e r para o ângulo refletido, a reflexão da luz é regida pelas seguintes leis:

  • o raio refletido, a normal e o raio incidente estão situados no mesmo plano.
  • o ângulo de reflexão é igual ao ângulo de incidência: r = i.

4 Espelhos planos

É toda superfície lisa e plana que reflete a luz de maneira regular. Ex: superfície de um metal polido, superfície de um lago, etc.

Imagem no espelho plano

Seja P um ponto luminoso ou iluminado colocado na frente de um espelho plano. Considere dois raios luminosos que incidem no espelho e são refletidos posteriormente.

  • O ponto P, definido pela interseção efetiva dos raios incidentes sobre o espelho, é um objeto real.
  • O ponto P’, definido pela interseção dos prolongamentos dos raios emergentes (refletidos), é uma imagem virtual.

De um modo geral:

  •  Real: interseção efetiva de raios luminosos.
  •  Virtual: interseção de prolongamentos de raios luminosos

As imagens formadas por espelhos planos têm as seguintes características:

  • O objeto e a imagem são equidistantes do espelho.
  • Objeto e imagem têm naturezas contrárias: se o objeto é real, a imagem é virtual e viceversa.

Imagem de um objeto extenso

Um objeto extenso pode ser considerado como um conjunto de pontos. A sua imagem será determinada ligando estes pontos e determinando suas respectivas imagens.

Campo visual de um espelho plano

É a região que um observador frente a um espelho pode observar.

Pertencem ao campo visual todos os pontos que estiverem compreendidos na região delimitada pelas retas que ligam o’ (imagem do observador) as extremidades do espelho.

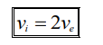
Translação de um espelho plano

Seja um objeto fixo em frente a um espelho. Se este espelho sofrer uma translação de uma distância d, a imagem desse objeto sofrerá uma translação D.

 

Como os deslocamentos do espelho e da imagem são simultâneos, a velocidade da imagem será o dobro da velocidade do espelho, pois a imagem percorre o dobro da distância do espelho no mesmo intervalo de tempo.

Rotação de um espelho plano

Seja um raio de luz refletido após incidir sobre um espelho plano. Se o espelho girar de um ângulo α, o novo raio refletido formará um ângulo ∆ com o raio refletido anteriormente, cujo valor é o dobro do ângulo α. 

Imagens em dois espelhos

Seja um objeto ou ponto entre dois espelhos, formando entre si um ângulo α.

É possível calcular o número N de imagens formadas pela seguinte fórmula:

Que é válida nos casos:

 

5 Espelhos Esféricos

Um plano, ao cortar uma superfície esférica, divide-a em duas partes denominadas calotas esféricas

 

Espelho esférico é uma calota esférica na qual uma das superfícies é refletora. Quando a superfície é a interna, o espelho é denominado côncavo (ex: espelhos de aumento, como dos dentistas, de barbear, etc.) e, quando a superfície refletora é a externa o espelho é convexo (retrovisores em motocicletas, em portas de elevadores, fundo de lojas, etc.).

Os elementos que caracterizam um espelho esférico são:

  • Centro de curvatura (C): o centro da superfície esférica à qual a calota pertence;
  • Raio de curvatura do espelho (R): o raio da superfície esférica à qual a calota pertence;
  • Vértice do espelho (V): o polo (ponto mais externo) da calota esférica; Eixo principal do espelho: a reta definida pelo centro de curvatura e pelo vértice;
  • Abertura do espelho (α): o ângulo de abertura do espelho.

Espelhos esféricos de Gauss

Os espelhos esféricos apresentam, em geral, imagens sem nitidez. Gauss observou que, se os raios incidentes obedecessem a certas condições, as imagens seriam obtidas com maior nitidez.

  • Os raios incidentes sobre o espelho devem ser paralelos ou pouco inclinados em relação ao eixo principal e próximo dele.
  • A abertura útil do espelho é pequena (α < 10°).

Estudaremos apenas os espelhos esféricos de Gauss.

Focos de um espelho esférico

Quando um feixe de raios incide paralelamente ao eixo principal, ele origina um feixe refletido convergente, no caso do espelho côncavo, e divergente, no do convexo. O vértice F desse feixe situa-se no eixo principal e é denominado foco principal do espelho esférico.

O foco principal F é real nos espelhos côncavos (interseção efetiva) e virtual nos convexos (interseção de prolongamentos).

Propriedades dos espelhos esféricos

Em vista dos conceitos apresentados, podemos enunciar o comportamento de alguns raios de luz ao se refletirem.

a) todo raio de luz que incide paralelamente ao eixo principal reflete-se numa direção que passa pelo foco principal.

O foco principal F situa-se aproximadamente no ponto médio do segmento determinado pelo centro de curvatura C e pelo vértice V:

Distância focal é a metade do raio de curvatura.

b) todo raio de luz que incide numa direção que passa pelo foco principal reflete-se paralelamente ao eixo principal.

c) todo raio de luz que incide numa direção que passa pelo centro de curvatura reflete-se sobre si mesmo.

d) todo raio de luz que incide sobre o vértice do espelho reflete-se simetricamente em relação ao eixo principal.

Construção geométrica de imagens

A imagem formada por um espelho esférico é determinada pela interseção de pelo menos dois raios notáveis refletidos. Analisaremos as imagens formadas por espelhos côncavos e convexos.

Espelho convexo

A imagem que um espelho esférico convexo fornece de um objeto real é sempre VIRTUAL, DIREITA E MENOR que ele, qualquer que seja a distância do objeto ao espelho.

Espelho côncavo

A imagem que um espelho esférico côncavo fornece de um objeto real tem características diversas, conforme a posição deste relativamente ao centro de curvatura e ao foco.

1ª) Objeto além do centro de curvatura

A imagem é REAL, INVERTIDA E MENOR

2ª) Objeto sobre o centro de curvatura

A imagem é REAL, INVERTIDA E IGUAL.

3ª) Objeto entre o centro de curvatura e o foco

A imagem é REAL, INVERTIDA E MAIOR.

4ª) Objeto no plano focal

A imagem é IMPRÓPRIA (no infinito).

5ª) Objeto entre o foco e o vértice

A imagem é VIRTUAL, DIREITA E MAIOR.

De todas as construções feitas podemos concluir:

  • A imagem real de um objeto real é invertida;
  • A imagem virtual de um objeto real é direita;
  • Quando o objeto se desloca, a imagem também se desloca, mas em sentido oposto;
  • O elemento, objeto ou imagem que estiver mais próximo do espelho será menor.

6 Estudo analítico

Dadas a posição e a altura de um objeto real relativamente a um espelho esférico, a posição e a altura da imagem podem ser determinadas analiticamente. Para isso adota-se o seguinte sistema de coordenadas:

  • Origem: vértice do espelho;
  • Eixo das abscissas: direção do eixo principal e sentido contrário ao da luz incidente;
  • Eixo das ordenadas: direção da perpendicular ao eixo principal e sentido ascendente.

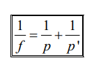
Equação de Gauss

Sendo R o raio de curvatura do espelho e lembrando que R = 2f, a equação anterior pode ser escrita de outra maneira:

Aumento linear

Adotando i como a altura da imagem e o como a altura do objeto, o aumento linear (A) da imagem e definido por:

O aumento linear relaciona-se com as abscissas p e p’, do objeto e da imagem, respectivamente, segundo a fórmula:

Observe que:

  • Se A > 0, objeto e imagem tem naturezas diferentes;
  • Se A < 0, objeto e imagem tem naturezas iguais;

Somente imagens reais podem ser projetadas. Não vamos considerar os casos em que o objeto é virtual, uma vez que sua ocorrência só se dá quando são associados sistemas ópticos.

Telescópio Refletor

Ao contrário do modelo refrator, os refletores usam um espelho ao invés de lente como elemento principal. O modelo mais comum é o popularmente conhecido "Newtoniano" que utiliza um espelho côncavo montado no fundo do tubo do telescópio. Outro espelho, chamado "secundário" direciona a luz captada pelo espelho principal em direção à ocular. Esses modelos permitem grandes aberturas e quando bem construídos produzem excelentes imagens.

7 Refração da luz

A luz, propagando-se num meio (1) e incidindo sobre a superfície de separação com um meio (2), apresenta simultaneamente os fenômenos de reflexão, refração e absorção.

A refração da luz é a variação de velocidade sofrida pela luz ao mudar de meio.

Para que a refração seja o fenômeno predominante, o meio (2) deve ser transparente, como, por exemplo, a água.

Índice de refração - Refringência

Índice de refração absoluto (n) de um meio, para determinada luz monocromática, é a relação entre a velocidade da luz no vácuo c e a velocidade v da luz no meio em questão:

Assim, n indica quantas vezes a velocidade da luz no vácuo é maior que a velocidade no meio considerado. (Para o vácuo e o ar n=1)

O índice de refração de um meio material depende do tipo de luz, apresentando valor máximo para a luz violeta e mínimo para a luz vermelha. O meio que possui maior índice de refração é o que apresenta maior refringência (mais refringente).

Leis da refração

Considere uma luz monocromática se propagando de um meio (1) para outro mais refringente (2).

A refração luminosa é regida por duas leis:

1. O raio incidente I, o raio refratado R e a normal N à superfície de separação pertencem ao mesmo plano.

2. Para cada par de meios e para cada luz monocromática que se refrata é constante o produto do seno do ângulo que o raio forma com a normal e o índice de refração do meio em que o raio se encontra.

Observe que:

 

Reflexão total

Imagine um raio de luz que se propaga de um meio mais refringente para outro menos refringente. Se aumentarmos o ângulo de incidência i, a última refração (r = 90°) vai ocorrer quando o ângulo i for igual ao ângulo limite L.

No entanto, para esse sentido de propagação, o ângulo de incidência i pode ser maior que o ângulo limite L. Quando isso ocorre, não há refração e a luz sofre o fenômeno da reflexão total ou interna. Assim, para haver reflexão total, há duas condições:

  • Sentido de propagação da luz: do meio mais refringente para o menos refringente.
  • Ângulo de incidência maior que ângulo limite: i > L

Cálculo do ângulo limite
Aplicando a Lei de Snell-Descartes à situação limite, onde i = L e r = 90°, obtêm-se:

 

Como uma fibra óptica transmite luz?

Imagine que você queira enviar o facho de luz de uma lanterna através de um longo corredor reto. Basta apontálo diretamente na direção do corredor: a luz viaja em linha reta, então isso não é um problema. Mas e se o corredor virar à esquerda ou à direita? Você poderia colocar um espelho na curva para refletir o facho de luz e dobrar a esquina. Mas e se o corredor for muito sinuoso, com múltiplas mudanças de direção? Poderia revestir as paredes com espelhos e ajustar o ângulo do facho de modo que ele refletisse de um lado para outro ao longo do corredor. Isso é exatamente o que acontece em uma fibra óptica.

Em um cabo de fibra óptica, a luz viaja através do núcleo (o corredor) refletindo constantemente na interface (as paredes revestidas de espelhos), o que representa um princípio chamado de reflexão interna total. Como a interface não absorve nenhuma luz do núcleo, a onda de luz pode viajar grandes distâncias. Entretanto, uma parte do sinal luminoso se degrada dentro da fibra, principalmente em razão de impurezas contidas no vidro. O grau dessa degradação do sinal depende da pureza do vidro e do comprimento de onda da luz transmitida (por exemplo, 850 nm = 60 a 75%/km; 1.300 nm = 50 a 60%/km; para 1.550 nm, ela é maior do que 50%/km).

Algumas fibras ópticas de qualidade excepcional apresentam uma degradação de sinal muito menor: menos de 10%/km em 1.550 nm.

8 Dioptro Plano

Dioptro plano é o conjunto de dois meios homogêneos e transparentes, separados por uma superfície plana (ex: a água tranquila de um lago e o ar).

Quando se observa um peixe dentro d’água, nota-se que há uma diferença entre a posição real e a imagem deste peixe. O mesmo ocorre quando se observa dentro d’água um pássaro que voa acima da superfície de um lago

Lâmina de faces paralelas

É o conjunto de três meios homogêneos e transparentes separados por duas superfícies planas e paralelas. O vidro de uma vidraça é um exemplo desse sistema.

Um raio de luz monocromática, incidindo sobre a primeira face, atravessa a lâmina, após duas refrações e emerge na segunda face, numa direção paralela à direção de incidência. Portanto, sendo os meios extremos idênticos, um raio luminoso não sofre desvio angular, ocorrendo apenas um desvio lateral d.

Prisma

Prisma é o conjunto de três meios homogêneos e transparentes separados por duas superfícies planas não-paralelas, que são as faces do prisma. As faces se interceptam numa reta chamada aresta do prisma. O ângulo entre as faces do prisma é o ângulo de refringência.

Há prismas nos quais determinados raios incidentes sofrem sempre reflexão total no seu interior. De larga utilização em Óptica Aplicada, são denominados prismas de reflexão total.

Dispersão luminosa

Admitamos que uma luz policromática como a luz branca solar esteja se propagando no ar e incida sobre a superfície de um prisma. Lembrando que um mesmo material tem índice de refração máximo para a luz violeta e mínimo para a luz vermelha, a componente que mais se desvia (aproxima da normal) é o violeta e a que mais se afasta é o vermelho.

Arco-Íris

O arco-íris é um fenômeno óptico que se forma em razão da separação das cores que formam a luz solar. Ele pode ser observado sempre que existirem gotículas de água suspensas na atmosfera e a luz solar estiver brilhando acima do observador em baixa altitude ou ângulo, ou seja, ele pode acontecer durante ou após uma chuva. Esse acontecimento ocorre em razão da dispersão da luz. Dispersão é o fenômeno que causa a separação de uma onda em vários componentes espectrais.

 

A luz do sol é uma onda de luz branca formada por várias cores, quando essa luz incide sobre uma gota de água os raios luminosos penetram nela e são refratados, sofrendo assim a dispersão. O feixe de luz colorido, dentro da gota, é refletido sobre a superfície interna da mesma e sofre novo processo de refratação, motivo que provoca a separação das cores que um observador consegue ver. É evidente que essa dispersão ocorre com todas as gotas de água que estiverem na superfície recebendo a luz proveniente do Sol.

O arco-íris não existe, trata-se de uma ilusão de óptica cuja visualização depende da posição relativa do observador. É importante salientar que todas as gotas de água refratam e refletem a luz da mesma forma, no entanto, apenas algumas cores resultantes desse processo é que são captadas pelos olhos do observador.

9 Lentes esféricas delgadas

Lente esférica é o sistema óptico constituído por três meios homogêneos e transparentes separados por duas superfícies esféricas ou por uma superfície esférica e outra plana.

Elementos geométricos de uma lente

Tipos de lentes

Para a nomenclatura das lentes, o critério mais adotado é nomear as faces voltadas para o meio exterior, assinalando em primeiro lugar a face de maior raio de curvatura. As lentes são também classificadas em lentes de bordos delgados e lentes de bordos espessos.

Lentes convergentes e divergentes

Quanto ao comportamento óptico, uma lente pode ser convergente ou divergente. Qualquer lente pode se comportar de uma ou outra maneira, conforme o meio onde está imersa. Consideremos, inicialmente, lentes de vidro (n = 1,5) colocadas no ar (n = 1). Neste caso, que é o mais comum, as lentes de bordos delgados são convergentes e as lentes de bordos espessos são divergentes.

Se as mesmas lentes de vidro (n = 1,5) forem colocadas num meio de maior líquido que o do vidro, como por exemplo, sulfeto de carbono (n = 1,7), a lente de bordos delgados se torna divergente e a de bordos espessos passa a ser convergente.

Em resumo:

As lentes delgadas convergentes e divergentes são representadas por um segmento de reta perpendicular ao eixo principal, não se representando o trajeto luminoso no seu interior.

Focos de uma lente delgada

Foco principal objeto F de uma lente é o ponto do eixo principal ao qual ela conjuga raios emergentes paralelos ao eixo principal, isto é, uma imagem imprópria.

Foco principal F’ de uma lente é o ponto do eixo principal que ela conjuga a raios incidentes paralelos ao eixo principal, isto é, a um objeto impróprio.

Observe que os focos principais são reais na lente convergente, isto é, definidos pelo cruzamento efetivo de raios luminosos, e virtuais na lente divergente, ou seja, definidos pelo cruzamento de prolongamentos de raios.

Propriedades das lentes delgadas

a) todo raio de luz que incide numa direção que passa pelo centro óptico da lente não sofre desvio ao atravessar a lente;

b) todo raio de luz que incide numa direção que passa pelo foco principal objeto F, emerge da lente paralelamente ao eixo principal;

c) todo raio de luz que incide paralelamente ao eixo principal emerge da lente numa direção que passa pelo foco principal imagem F’.

Nas duas últimas propriedades, a passagem pelos focos principais é efetiva na lente convergente e em prolongamento na lente divergente

10 Construção geométrica de imagens

Lentes divergentes

A construção de imagens em lentes divergentes é feita de modo semelhante ao que foi feito na construção de imagens em espelhos esféricos convexo.

VIRTUAL, DIREIRA E MENOR

Lentes convergentes

A construção de imagens em lentes convergentes é semelhante ao espelho côncavo, ou seja, a imagem tem características diversas, conforme a posição do objeto relativamente ao centro de curvatura e ao foco do espelho.

1ª) objeto além do ponto anti-principal A

REAL, INVERTIDA E MENOR

2ª) objeto sobre o ponto antiprincipal A

REAL, INVERTIDA E IGUAL

 

3ª) objeto entre A e o foco principal F

REAL, INVERTIDA E MAIOR

4ª) objeto sobre o foco principal

IMAGEM IMPRÓPRIA

5ª) objeto entre o foco principal F e o centro óptico

VIRTUAL, DIREITA E MAIOR

Estudo analítico das lentes

A posição e a altura da imagem podem ser determinadas analiticamente adotando o seguinte sistema de coordenadas:

  • Origem: centro óptico da lente;
  • Eixo das abscissas: direção do eixo principal e sentido contrário ao da luz incidente para os objetos e a favor do da luz incidente para as imagens.
  • Eixo das ordenadas: direção da perpendicular ao eixo principal e sentido ascendente.

A equação de Gauss também é válida para as lentes:

O aumento linear da imagem é definido do mesmo modo adotado para os espelhos esféricos:

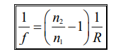
Fórmula dos fabricantes de lentes

A distância focal de uma lente pode ser determinada a partir da denominada fórmula dos fabricantes de lentes, proposta por Edmund Halley:

Face convexa – raio positivo
Face côncava – raio negativo

Quando uma das faces da lente é plana, seu raio pode ser considerado infinitamente grande, e a fórmula anterior se torna:

Vergência das lentes

Vergência ou convergência D de uma lente é, por definição, o inverso de sua distância focal f, apresentando o mesmo sinal que esta:

Podemos entender a vergência como sendo uma medida da capacidade da lente de desviar a luz.

Associação de lentes – Lentes justapostas

A lente equivalente à associação de duas lentes justapostas apresenta vergência D igual à soma algébrica das vergências das lentes associadas:

Esse tipo de associação corrige a aberração cromática, causada pela decomposição da luz branca ao atravessar uma única lente.

 

11 Instrumentos Ópticos

Olho humano

A figura acima contém as principais partes do olho humano que participam da percepção visual.

  • Córnea: refrata os raios de luz que entram nos olhos e exerce o papel de proteção à estrutura interna do olho.
  • Íris: é a porção visível e colorida do olho logo atrás da córnea. A sua função é regular a quantidade de luz que entra nos nossos olhos.
  • Pupila: é a abertura central da íris, através da qual a luz passa.
  • Cristalino: é uma lente biconvexa natural do olho e sua função é auxiliar na focalização da imagem sobre a retina.
  • Retina: é a membrana fina que preenche a parede interna e posterior do olho, que recebe a luz focalizada pelo cristalino. Contém fotorreceptores que transformam a luz em impulsos elétricos, que o cérebro pode interpretar como imagens.
  • Nervo ótico: transporta os impulsos elétricos do olho para o centro de processamento do cérebro, para a devida interpretação.
  • Esclera: é a capa externa, fibrosa branca e rígida que envolve o olho, contínua com a córnea. É a estrutura que dá forma ao globo ocular.

Funcionamento

Nossos olhos são como uma câmara fotográfica. Ambos têm uma abertura para a passagem de luz, uma lente e um anteparo onde a imagem é recebida e registrada. Simplificando, vamos considerar possuindo uma única lente convergente biconvexa (meios transparentes, mais o cristalino) situada a 5 mm da córnea e a 15 mm da retina.

Quando os raios de luz provenientes de um objeto atravessam essa lente, forma uma imagem real e invertida localizada exatamente sobre a retina para que ela seja nítida. A retina transmite as informações ao cérebro, através do nervo ótico, que processa uma inversão da imagem fazendo com que nós vejamos o objeto na sua posição normal.

Funcionamento

Nossos olhos são como uma câmara fotográfica. Ambos têm uma abertura para a passagem de luz, uma lente e um anteparo onde a imagem é recebida e registrada. Simplificando, vamos considerar possuindo uma única lente convergente biconvexa (meios transparentes, mais o cristalino) situada a 5 mm da córnea e a 15 mm da retina.

Quando os raios de luz provenientes de um objeto atravessam essa lente, forma uma imagem real e invertida localizada exatamente sobre a retina para que ela seja nítida. A retina transmite as informações ao cérebro, através do nervo ótico, que processa uma inversão da imagem fazendo com que nós vejamos o objeto na sua posição normal.

Defeitos da visão

Antes de estudar os defeitos da visão/correção, vamos entender como o olho se acomoda para enxergar objetos em diferentes posições, variando a distância focal da lente do olho.

O cristalino, que é uma lente convergente, possui ligado a ele um conjunto de músculos provocando variações nas curvaturas de suas faces e consequentemente na distância focal. Portanto, para uma determinada posição do objeto, os músculos ajustam a distância focal do cristalino para que a imagem seja formada sobre a retina. Essa propriedade do olho é denominada acomodação visual.

Uma pessoa de visão normal pode enxergar objetos situados desde uma distância média convencional de 25 cm (posição conhecida como ponto próximo) até o infinito.

Miopia

A pessoa que possui miopia tem o globo ocular um pouco mais alongado que o normal. Nesse caso a imagem se forma antes da retina e a pessoa não enxerga o objeto com nitidez

Para corrigir a miopia usa-se lente divergente para diminuir a convergência dos raios luminosos, fazendo com que a imagem se forme sobre a retina.

Observe que em uma receita de óculos para uma pessoa que é míope, a vergência da lente vem com sinal negativo (por exemplo - 5 di), indicando que é necessária uma lente divergente para correção.

Hipermetropia

As pessoas que apresentam hipermetropia, ao contrário da miopia, apresentam o globo ocular mais curto que o normal, fazendo com que a imagem se forme atrás da retina.

Para corrigir a hipermetropia usa-se uma lente convergente para aumentar a convergência dos raios fazendo com que imagem se forme exatamente sobre a retina. Neste caso, a receita de óculos de uma pessoa com hipermetropia vem com a vergência positiva (+ 5 di) indicando que é necessária uma lente convergente para a correção.

Presbiopia ou "vista cansada"

Quando a pessoa vai envelhecendo, o cristalino vai perdendo a elasticidade e a pessoa fica com dificuldade para enxergar de perto. A imagem do objeto se forma depois da retina como na hipermetropia. Para corrigir, é utilizada uma lente convergente.

12 Instrumentos de projeção

Máquina fotográfica

As máquinas fotográficas evoluíram muito. Antigamente a objetiva da máquina fotográfica era constituída de uma única lente e atualmente é constituída de várias lentes.

A figura acima representa uma câmara fotográfica simplificada, sem os refinamentos óticos ou mecânicos. A objetiva está representada por uma única lente convergente que forma uma imagem real e invertida do objeto fotografado, sobre o filme situado na parte posterior da máquina.

A luz, ao incidir sobre o filme, provoca reações químicas, fazendo com que a imagem fique gravada. Em uma câmara digital não há filme, então a luz é recebida por um sensor de imagem que mensura a intensidade da luz e gera um pulso elétrico correspondente.

Para que seja fornecida sobre o filme uma imagem real e menor do objeto, o objeto deve estar situado antes da dupla distância focal.

Projetor de slides

Um projetor de slides serve para projetar em uma tela uma imagem real e aumentada do objeto que está no slide.

Basicamente, ele é constituído de uma lente convergente, como objetiva, e uma lâmpada cujo filamento está situado no centro de curvatura do espelho côncavo que juntos servem para iluminar com bastante intensidade o slide.

Para obter uma imagem real, maior e aumentada, o slide precisa estar situado a uma distância menor que a dupla distância focal (antes do foco).

Instrumentos de observação

Lupa

A lupa é uma lente convergente que fornece uma imagem virtual direita e aumentada de um objeto real.

Neste caso o objeto está situado entre o foco e o centro ótico da lente.

Microscópio composto

Um microscópio ótico é utilizado para observar objetos de pequenas dimensões.

A parte ótica do microscópio é constituída basicamente de duas lentes convergentes, geralmente compostas, associadas coaxialmente (possuem o mesmo eixo ótico), que são:

a) objetiva que está próxima ao objeto.
b) ocular com a qual observamos a imagem fornecida pela objetiva.

O aumento linear do microscópio é igual ao produto do aumento linear transversal da objetiva pelo aumento linear transversal da ocular. Os aumentos dos microscópios variam entre 300 e 2000 vezes. Não pode ser maior que estes valores porque quando as dimensões, a serem observadas, forem da ordem do comprimento de luz, ocorre o fenômeno da difração, fazendo com que se perca a nitidez da imagem. Já os microscópios eletrônicos, que utilizam feixes de elétrons, produzem aumentos superiores a 100.000 vezes.

Luneta astronômica

A luneta ou telescópio de refração é utilizada para observar objetos distantes. A luneta astronômica tem como o microscópio, duas lentes convergentes: a objetiva que ao contrário do microscópio apresenta grande distância focal e a ocular.

A desvantagem da luneta astronômica para observar objetos terrestres é que ela fornece uma imagem invertida.

Luneta terrestre

A luneta terrestre é semelhante à astronômica só que a imagem final obtida é direita. A figura mostra a luneta terrestre construída por Galileu em 1609.

Esta luneta tem como elemento característico uma ocular divergente. A objetiva é uma lente convergente. A distância entre as duas lentes é aproximadamente igual à diferença entre as duas distâncias focais (na construção do telescópio coloca-se esta distância igual). A imagem final é direita, virtual e maior.

Os telescópios de reflexão utilizam um espelho parabólico côncavo no lugar da lente objetiva. A vantagem é que se têm menos aberrações e por causa disto os telescópios de reflexão são mais utilizados nos observatórios. Outra vantagem é o baixo custo.

Periscópio

Serve para observar objetos que não estão no mesmo nível dos olhos. Um periscópio é constituído, basicamente, de dois espelhos colocados inclinados de 45o ou de dois prismas de reflexão total.

O raio de luz ao incidir no primeiro espelho reflete, incidindo no segundo espelho. Após incidir no segundo espelho, o raio de luz reflete novamente, atingindo o olho do observador.