Óptica

Óptica

1 ONDAS

Define-se uma onda como qualquer perturbação que atravesse um determinado meio sem transportar partículas desse meio. Por exemplo, as ondas do mar andam sobre a sua superfície sem entanto carregar as moléculas de água deste junto com ela. Na corda abaixo o pulso de onda viaja sobre esta e, no entanto a corda continua presa ou fixa entre a parede e a mão da pessoa que a segura. O que vemos se deslocar sobre o meio é o perfil da onda, ou seja, a perturbação sobre este. 


Do ponto de vista do meio em que as ondas se propagam, temos as ondas mecânicas que exigem um meio material (um metal, por exemplo) para se propagarem, e as ondas eletromagnéticas que não requerem a existência de tal meio para se propagarem. Ou seja, elas se propagam no vácuo. 
 
 

Outro modo de se classificar as ondas é quanto à direção do deslocamento das partículas do meio em relação à direção de propagação da onda. Se as partículas se deslocam na direção perpendicular à direção de propagação da onda temos uma onda transversal, ver figura acima. Se o deslocamento for na mesma direção da onda temos uma onda longitudinal. 

Um pulso ou uma perturbação que propague na direção do eixo x e no sentido positivo do eixo (coordenadas crescentes com o tempo) pode ser representado por uma função f de x e t (o perfil da onda), que depende da coordenada x e do tempo da seguinte forma: 

A velocidade de propagação de uma onda depende das propriedades do meio no qual este se propaga. Por exemplo, consideremos uma corda com densidade linear de massa igual a  e sujeita a uma tensão T. Neste caso a onda sobre a corda tem uma velocidade que é dada por: 

Ou seja, quanto mais tracionada esteja a corda mais rápido a onda viaja e quanto mais pesada a corda (inércia) menor a sua velocidade. 
 Um pulso, ou uma perturbação, que se propague na direção do eixo x, mas no sentido negativo do eixo (coordenadas decrescentes), com um perfil descrito pela função g é descrito pela função de x e t 

As funções f e g são aquelas adequadas para descrever o perfil da onda considerada. Um exemplo simples de uma onda é aquela que podemos produzir puxando para cima a extremidade de uma corda presa por uma das extremidades a uma parede e depois a soltando. Ver figura acima. 

ONDAS HARMÔNICAS

As ondas harmônicas se constituem num tipo especial de ondas. O que as caracterizam é o fato delas se repetirem periodicamente e terem uma forma senoidal. Elas são produzidas, por exemplo, esticando-se uma corda, e depois puxando-a para cima e para baixo de uma mesma distância e com mesma velocidade até que se produza uma figura estacionária, como a abaixo. Uma onda harmônica não precisa ser estacionária, ela pode propagar indefinidamente. 

Elas são caracterizadas por uma função que descreve o perfil da onda na forma seno ou cosseno. Ou seja, para uma onda harmônica escrevemos: 

Onde A na equação acima é a amplitude da onda, pois é o máximo da função f, e k é uma constante que caracteriza a onda harmônica e que é conhecida pelo estranho nome de vetor de onda. Logo, o fator A está relacionado com a intensidade do impulso que fornecemos à corda e k com o seu deslocamento na horizontal. Outra forma de escrever a expressão acima e que é bastante comum é na forma: 

A expressão acima parece introduzir uma nova constante para descrever a onda (a constante w). Esse, no entanto, não é o caso uma vez que comparando w e v concluímos que essa constante é dada por: 

Veremos mais tarde que w é a frequência angular da onda. Numa onda harmônica é usual representar o seu perfil através da função exponencial com argumento puramente imaginário.  Ou seja, representamos a onda pela função 

Tomando-se a parte real ou a parte imaginária de (1.7) teremos as ondas harmônicas da expressão (1.4). 
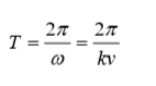
O que é notável, observando-se (1.5) é que uma onda harmônica tem um perfil que se repete no espaço e no tempo. Isso decorre do fato de que, depois de um intervalo de tempo T conhecido como o período da onda harmônica, dado por 

a onda se torna indistinguível da onda inicial. Portanto, de (1.6) segue que o período é dado em função de k e v por: 
    

Define-se a frequência (v) da onda como o inverso do período: 

Assim, o comprimento da onda nada mais é do que a distancia entre, por exemplo, dois máximos da onda (vide figura abaixo).

De (1.11) e (1.12), nota-se que existe uma relação bem simples entre a velocidade da onda, a frequência e o comprimento de onda:

Princípio de Superposição

Outra propriedade muito importante das ondas é que, ao contrário das partículas materiais, estas podem se cruzar, se chocar, sem que se alterem as suas propriedades. Ou seja, duas ondas viajando sobre uma corda ao se cruzar vão produzir momentaneamente uma terceira onda, e quando estas deixarem de ocupar a mesma região da corda voltarão a ser as mesmas ondas. Ver exemplo abaixo.

Dizendo de outro modo, duas ou mais ondas podem se cruzar na mesma região do espaço movendo-se independentemente uma da outra. O deslocamento de qualquer partícula do meio em um dado instante é a soma dos deslocamentos que seriam produzidos pelas ondas individualmente. Esse constitui o princípio de superposição e vale para ondas em meios elásticos se as forças de restauração forem proporcionais às deformações.

Se tivermos n (=2,3,4..) ondas com amplitudes Ai e defasadas de di entre si e se sobrepondo tem-se que a onda resultante será a soma algébrica de todas elas. Usando a notação abreviada para indicar a função de onda Un resultante temos:

 

Inversamente, qualquer movimento ondulatório pode ser analisado como combinação de movimentos ondulatórios simples (harmônicos, por exemplo). Aplicação disto são os filtros de ondas e os seletores de frequência.

Os efeitos físicos associados à superposição de duas ou mais ondas são chamados de interferência. Como exemplo clássico considere duas ondas de mesma direção e sentido, mas uma atrasada em relação à outra de uma fase d. Se elas possuem frequências, amplitudes e velocidades iguais têm-se:

Portanto, a onda resultante é uma onda com mesma frequência angular w que as ondas descritas por U1 e U2 e com fase d/2. Mas a sua amplitude é dada pelo fator 2A cos ( d / 2 ).

 

De modo geral, pode haver interferência entre ondas com quaisquer frequências e/ou amplitudes e com qualquer diferença de fase. Nesse caso não há uma expressão tão simples como a 1.16b e a onda resultante em geral não é harmônica. Veja o caso simples da função y = sen(x+1) + 1.5sen(2x) +1.2sen(1.5x). Ver figura abaixo.

Equação das Ondas

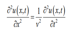
Pode-se mostrar, ver Butkov, Arfken, Nussenzveig e outros, que o análogo da equação dinâmica Newtoniana, F = m.d² x/dt² , para a propagação de uma onda em um meio material e homogêneo deve ser uma equação linear que satisfaça o princípio da superposição e de segunda ordem com respeito ás coordenadas do espaço e do tempo (d² cos(x) = -cos(x)). Para ondas se propagando ao longo do eixo x, tal equação se escreve:

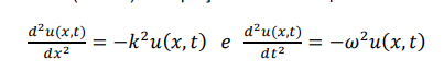
Onde o parâmetro v aparecendo na equação acima é a velocidade de propagação da onda no meio. Se substituirmos a função de onda u(x,t) = A.cos(k.x-ω.t) na equação de onda e aplicarmos as derivadas parciais, temos:

Aplicando a igualdade aos dois termos temos as relações já vistas entre v, k e ω.

v = ω/k = v. λ

também é uma solução. Em particular a soma de duas soluções envolvendo ondas se propagando em direções opostas também é uma solução da equação de ondas, e portanto é, igualmente, um onda:

u(x,t)=f(x-vt)+g(x+vt)