Medidas de Segurança com o Manuseio em Sistemas de Refrigeração

Manutenção de Geladeiras e Freezers

1 INTRODUÇÃO

Quando equipamentos de refrigeração e ar condicionado sofrem manutenção, o profissional pode estar exposto a uma série de riscos potenciais. Não seguir os procedimentos corretamente ou ignorar alguns riscos associados aos serviços em refrigeração pode resultar em danos fatais ao técnico de manutenção ou às pessoas que estiverem próximas a área de trabalho.

Geral

Este documento traz medidas de precaução e de segurança, as quais devem ser seguidas corretamente para assegurar que acidentes indesejáveis não ocorram. Geralmente, os danos ocasionados por trabalho com fluidos refrigerantes são consequências da liberação de refrigerantes, ou danos diretos gerados a partir de componentes elétricos, ferramentas, superfícies de contato e outros materiais. É importante saber que modificações inapropriadas nos equipamentos podem resultar em um maior risco nas futuras operações de manutenção do sistema frigorífico.

Considerações básicas de segurança

A lista a seguir indica os possíveis danos associados aos sistemas de refrigeração:

a) Efeito direto de temperaturas extremas, por exemplo:

• Materiais quebradiços sob baixas temperaturas;
• Congelamento do fluido intermediário (água, salmoura ou similar);
• Tensão térmica;
• Mudanças de volumes devido às mudanças de temperatura;
• Efeitos danosos às pessoas devido às baixas temperaturas, ou superfícies quentes.

b) Pressão excessiva, por exemplo:

• Aumento de pressão no condensador causada por resfriamento inadequado; ou por pressão parcial de gases não condensáveis; ou por acúmulo de óleo e de refrigerante líquido;
• Aumento de pressão do refrigerante devido ao intenso aquecimento externo, como por exemplo, ao fazer degelo em um evaporador; ou devido à alta temperatura ambiente quando o equipamento estiver parado;
• Expansão do refrigerante líquido em recipiente fechado sem a presença de vapor, causado por um aumento da temperatura externa;
• Fogo externo ou aquecimento causado por objetos próximos ao sistema.

c) Efeito direto de refrigerante em sua fase líquida, por exemplo:

• Sobrecarga ou “inundação” do equipamento;
• Presença de líquido nos compressores causada por golpe de líquido;
• Perda de lubrificação devido à emulsificação do óleo;

d) Fugas de refrigerantes, por exemplo:

• Fogo;
• Explosão;
• Toxicidade;
• Efeitos cáusticos;
• Congelamento da pele;
• Asfixia;
• Pânico;
• Destruição da camada de ozônio;
• Aquecimento global;

e) Remoção de componentes do equipamento, como por exemplo:

• Machucados;
• Perda de audição por barulho excessivo;
• Danos devido à vibração;
Atenção se faz necessária para riscos comuns a todos os sistemas de compressão, como: temperatura excessiva na descarga; retorno de líquido; operação errônea ou redução da força mecânica causada por corrosão, erosão, tensão térmica, vibração ou golpe de ariete.
Sobretudo a corrosão deve ser levada em conta, uma vez que condições peculiares de sistemas frigoríficos surgem devido à alternação de fases de congelamento e degelo, ou por isolamento e cobertura do equipamento.

2 Questões ambientais

Em adição a estes aspectos de segurança, há também aspectos de impacto ambiental relacionado aos serviços de manutenção de sistemas frigoríficos. A emissão de refrigerantes na atmosfera pode contribuir com a destruição da Camada de Ozônio e com o Aquecimento Global. A quantidade de refrigerante dentro de um sistema pode comprometer o seu funcionamento, com reflexos indiretos do equipamento ao meio ambiente. Por exemplo, uma carga muito alta ou muito baixa de refrigerante pode levar a uma operação ineficiente do sistema, o que causa um aumento do consumo de energia.

Indiretamente, isto leva ao aumento da emissão de gases de efeito estufa naqueles equipamentos onde o compressor é acionado por um motor de combustão interna.

Classificação de segurança dos refrigerantes

Os refrigerantes são classificados de acordo com as caracteríisticas de toxicidade e inflamabilidade (ASHRAE 32-94 e EN378-1 anexo E). A classificação de segurança serve para determinar como o refrigerante deve ser usado, por exemplo, sua aplicabilidade em lugares ocupados ou a sua quantidade máxima permitida para espaços confinados. A classificação de segurança consiste em dois dígitos alfanuméricos (ex. A2 ou B1). O símbolo alfabético indica a TOXICIDADE e o numeral a FLAMABILIDADE. Para classificação de TOXICIDADE, os refrigerantes são determinados para uma das duas categorias – A e B – baseada na exposição crônica autorizada para determinadas concentrações.

• CLASSE A (BAIXA TOXICIDADE): Refrigerantes com concentração media aferida, sem efeitos adversos para quase todos os trabalhadores que possam estar expostos diariamente num dia normal de trabalho (8h) e uma semana (40h), e cujo valor seja IGUAL ou SUPERIOR a 400 ppm por volume.

• CLASSE B (ALTA TOXICIDADE): Refrigerantes com concentração media aferida , sem efeitos adversos para quase todos os trabalhadores que possam estar expostos diariamente num dia normal de trabalho (8h) e uma semana (40h), e cuja valor seja INFERIOR a 400 ppm por volume.

Observação: “ppm” é a abreviação em inglês de “parts per million” (partes por milhão). Ela é aplicada nos casos em que se trata de concentrações mínimas. “ppm”, no sentido da palavra, significa: partes de uma substância por um milhão de partes de outra substância (proporção 1: 1.000.000).

Para classificação de INFLAMABILIDADE, os refrigerantes são determinados para uma das 3 categorias – 1, 2, ou 3 – baseadas em teste de combustão e inflamabilidade.

• CLASSE 1 (SEM PROPAGAÇÃO DE CHAMAS): O refrigerante não demonstra propagação de chama quando testado sob um ar de 60 °C e pressão atmosférica padrão.

• CLASSE 2 (BAIXA INFLAMABILIDADE): O refrigerante encontra todas as 3 condições a seguir: exibe a propagação de chamas; tem um LFL > 3.5 % (Limite Inferior de Inflamabilidade) e um calor de combustão < 19.000 kJ/kg.

• CLASSE 3 (ALTA INFLAMABILIDADE): O refrigerante encontra ambas as condições a seguir: exibe a propagação de chamas, e tem a LFL < 3.5%, ou tem um calor de combustão que é > 19.000 kJ/kg.

TABELA 1: CLASSIFICAÇÃO DE SEGURANÇA DOS GRUPOS DE REFRIGERANTES - mostra uma matriz do sistema de classificação por grupos, que compreende 6 diferentes grupos de refrigerantes.

Dados ambientais e de segurança dos refrigerantes

A Tabela 2 contém dados selecionados para um número de refrigerantes freqüentemente usados. Os dados são os seguintes:
• Tipo – O grupo químico.
• Grupo de segurança – ver Tabela 1.
• Limite Prático – indicação da carga máxima de refrigerante por espaço (ver seção 2.3).
• Ponto de Ebulição – temperatura na qual o refrigerante evapora sob pressão atmosférica padrão/normal (1.013 bar) ou ponto de “bolha” para misturas zeotrópicas (por exemplo, os refrigerantes cujo primeiro nº é 4, como é o caso do: R407C).
• Limite Inferior de Inflamabilidade – a concentração minima no ar sob a qual podem ocorrer explosões e queimaduras.
• Potencial de Destruição da Camada de Ozônio (ODP - Ozone Depletion Potential) – é a quantidade de dano provocada por substâncias químicas à Camada de Ozônio e calculada em relação ao CFC-11.
• Potencial de Aquecimento Global (GWP – Global Warming Potential) – é a quantidade de dano causado pela emissão de certas substâncias ao sistema climático global e medido em relação ao CO2.

3 Quantidades máximas permitidas

A quantidade permitida de refrigerante por sistema é determinada de acordo com o Limite Prático e o Grupo de Segurança. Para qualquer refrigerante, a quantidade maxima permitida por sistema frigorífico ( Mmax , em kg) em um espaço ocupado (ex. escritório, loja, etc) é calculada a partir da seguinte fórmula:
onde VRm é o volume da sala (em m3) e o LP é o limite prático (em kg/m3) conforme a tabela 2. Porém, para certos refrigerantes a quantidade máxima em espaço ocupado é mais limitada. Por exemplo, os refrigerantes A3 são limitados a um máximo de 1.5 kg para uma área de 60m2. A Tabela 3 indica a quantidade maxima permitida para um refrigerante em uma área de espaço definido. Note que o R600a não excede 1.5 kg porque é um refrigerante da classe A3. Nas situações em ambiente externo (ex. Um sistema chiller de ar-condicionado de teto) não há normalmente nenhum limite de quantidade para os refrigerantes.

Segurança no manuseio dos óleos lubrificantes e fluidos de limpeza

Adicionalmente aos refrigerantes, outros fluidos podem ser manuseados quando se trabalha em sistemas frigoríficos, incluídos os óleos lubrificantes dos compressores e solventes para limpeza do sistema. Os óleos lubrificantes para uso em sistemas frigoríficos com CFCs e HCFCs, são do tipo Minerais e Alquilbenzenos. Uma vez que estes óleos são incompatíveis com HFCs, óleos sintéticos como os do tipo Polioéster (POE) e Poliglicol (PAG) são usados em sistemas mais novos com HFCs.
Em geral, os óleos lubrificantes mais comuns apresentam certos riscos para a segurança já que são inflamáveis e têm um leve grau de toxicidade. Além disso, respingos e derramamento de óleo podem gerar superfícies bastante escorregadias. Portanto, os pisos podem apresentar riscos se não forem limpos apropriadamente. Sobre todos os tipos de óleos identificados acima, sabe-se que causam irritações de pele, leve dermatite e até inchaço por contato prolongado ou freqüente, e qualquer irritação de pele ou nos olhos poderá ser agravada por contato direto.
Da mesma forma, se inalada a névoa/fumaça do óleo poderá ocasionar irritação nas vias respiratórias e pulmões, assim como resultar em enxaquecas, náuseas e ressecamento. Uma variedade de aditivos químicos (anti-desgaste, antioxidante, antiferrugem, etc), são normalmente usados em óleos lubrificantes e isto pode apresentar efeitos tóxicos para aqueles que manuseiam misturas.
Em geral, devem ser utilizados equipamentos de proteção pessoal apropriados quando do manuseio de óleos lubrificantes, o que inclui neoprene, borracha nitrile ou luvas de plástico, óculos de segurança com proteção lateral e roupas protetoras apropriadas. Apesar de não serem usados especificamente como refrigerantes, alguns fluidos são empregados como solventes ou agentes de limpeza com o propósito de executar o retrofit de um novo refrigerante após a queima do compressor. Existe uma grande variedade de produtos disponíveis, que geralmente são misturas de várias substâncias. A tabela 4 provê uma lista de fluidos que são utilizados ocasionalmente e alguns dados estão incluídos, como o Ponto de Ebulição (PE), informações de toxicidade e inflamabilidade.
Observação: A Conferência Americana de Higienistas Industriais do Governo (American Conference of Governmental Industrial Hygienists), ACGIH, define dois valores limites, ambos denominados de TLV (Threshold Limit Values - Valores limites para segurança). O primeiro denominado de TLV-TWA (Time Weighted Average - Média de tempo ponderada (calculada)), considera a concentração média ponderada pelo tempo de exposição, para um dia normal de 8 horas e uma semana de 40 horas à qual é possível uma exposição continuada sem o desenvolvimento de efeitos adversos.
O outro, denominado TLV-STEL (Short Term Exposure Limit - Tempo limite para curta exposição), constitui o limite máximo de concentração à qual é possível uma exposição durante um período de 15 minutos, não mais que quatro vezes ao dia sem o desenvolvimento de efeitos adversos. Também o ATEL (Acute Toxicity Exposure Limit - Limite máximo de exposição aguda), baseado no limite de exposição à toxidade, é utilizado para determinar um valor intermediário da quantidade limite no ar (em volume).

Pré-requisitos mínimos para a função de mecânico de refrigeração

Essa função é exercida por trabalhadores com formação de ensino fundamental e curso de qualificação profissional em refrigeração, oferecido em centros de treinamento da própria empresa ou em instituições de formação profissional. O exercício pleno da atividade se dá após três ou quatro anos de experiência auxiliando um profissional titular. O Mecânico de Refrigeração é o profissional responsável por montar, instalar e pôr em funcionamento equipamentos de refrigeração e ar condicionado residencial e comercial, realizando análises, ajustes de performance, detectando e corrigindo falhas de origem elétrica e mecânica, de acordo com desenhos técnicos, projetos e normas técnicas, em condições de qualidade, segurança e preservação ambiental.

Regulamentação trabalhista para operação dos sistemas frigoríficos

A regulamentação trabalhista baseia-se nas seguintes competências atribuídas ao Mecânico de Refrigeração, ao qual é capaz de:
• Interpretar e aplicar informações obtidas em desenhos técnicos, esquemas elétricos, projetos, tabelas, gráficos e procedimentos para instalação;
• Analisar projeto de instalação de equipamentos de refrigeração e ar condicionado; Especificar materiais e acessórios dos circuitos de refrigeração;
• Especificar tipo, modelo e fonte de alimentação de equipamentos de refrigeração e ar condicionado a ser instalado;
• Calcular carga térmica para equipamentos de refrigeração e ar condicionado;
• Planejar e executar as etapas de montagem e instalação dos equipamentos de refrigeração e ar condicionado;
• Prever pontos críticos inerentes aos processos; Elaborar orçamentos;
• Selecionar ferramentas e equipamentos para a instalação de equipamentos de refrigeração e ar condicionado;
• Avaliar e medir local de instalação para posicionamento de equipamentos de refrigeração e ar condicionado;
• Montar e desmontar totalmente ou parcialmente componentes do circuito de refrigeração; Instalar e testar circuitos elétricos;
• Soldar tubulações de cobre por processo oxiacetilênico; Estabelecer padrões controladores de temperatura e degelo (parametrizar);
• Ajustar componentes de controle e proteção do sistema de refrigeração; Aplicar vácuo em sistemas de refrigeração;
• Utilizar recolhedora de fluidos refrigerantes, balança, cilindro graduado,PPU – oxiacetilênico, detector de vazamento e bomba de vácuo;
• Carregar sistemas de refrigeração com fluido refrigerante; Testar sistemas de refrigeração;
• Realizar adaptação a fluido refrigerante que não agrida a Camada de Ozônio (Retrofitting) em circuitos de refrigeração;
• Detectar e corrigir falhas elétricas e mecânicas; Utilizar instrumentos de medição, verificação e controle; Utilizar ferramentas manuais;
• Efetuar leituras de grandezas elétricas, pressão, temperatura, velocidade e vazão do ar; Realizar ajustes de superaquecimento e sub-resfriamento; Interagir com pessoas envolvidas no processo;
• Selecionar e utilizar fontes de consulta para a obtenção de informações necessárias aos processos de instalação dos equipamentos de refrigeração e ar condicionado; Aplicar procedimentos técnicos, normas técnicas, ambientais, de segurança, de saúde e higiene no trabalho e padrões de qualidade adequados aos processos de instalação dos equipamentos de refrigeração e ar condicionado;
• Utilizar recursos existentes de forma racional e econômica; Manter ambiente de trabalho limpo e organizado;
• Realizar manutenção autônoma. Preservar o meio ambiente.

4 Regulamentação do manuseio dos refrigerantes e certificação

De acordo com a Lei Federal nº 6.514, de 22 de dezembro de 1977, capítulo V - DA SEGURANÇA E DA MEDICINA DO TRABALHO, Art. 187, seção XII, contêm, entre outras, a descrição dos recipientes que operam sob pressão, em que os mesmos deverão dispor de válvulas e outros dispositivos de segurança, que evitem seja ultrapassada a pressão interna de trabalho compatível com a sua resistência.
No sentido da Regulamentação de Recipientes sob Pressão, um gás é considerado um gás de pressão, quando sua temperatura crítica se situa abaixo de 50°C, ou quando a sua pressão de vapor, a uma temperatura de 50°C, importar em mais de 3 bar. A maioria dos refrigerantes utilizados nos equipamentos de refrigeração e ar condicionado é considerada gases de pressão, com exceção de alguns, como por exemplo, o R141b, o R123, etc.

Os recipientes contendo refrigerantes comercializados no Brasil devem conter as seguintes identificações:

1.Nome e Logotipo da empresa fornecedora e/ou do envasador credenciado;
2.Lacre inviolável com o logotipo do fornecedor;
3.Tipo do gás refrigerante, lote, peso bruto, tara, líquido.
As pressões de vapor e os volumes específicos dos diversos tipos de gases refrigerantes apresentam diferenças consideráveis, a uma mesma temperatura. Por isto, nos recipientes deverão ser envasados somente aqueles tipos de refrigerantes, cuja especificação estiver indicada nestes recipientes. Nunca reutilizar os cilindros descartáveis para o recolhimento de refrigerante, pois podem causar acidentes graves e até fatais.
Todos os recipientes destinados ao manuseio de refrigerante (cilindros de serviço para recolhimento, cilindros de serviço para carga, etc.), somente devem ser utilizados os que atendam às exigências das normas NBR 12.790 e NBR 12.791, NBR 12.790 e NBR NBR 12.790 e NBR 12.791, 12.791, ou normas supervenientes. Referente a certificação dos cilindros de refrigerante, a fim de assegurar, em todo o território nacional, a indispensável uniformidade na expressão das grandezas, cabe esta tarefa ao Instituto Nacional de Metrologia, Normalização e Qualidade Industrial – INMETRO.

Normas relativas à segurança de instalações frigoríficas

O projeto e a operação segura de uma instalação frigorífica devem, certamente, referir-se a algum tipo de norma, cujo principal objetivo deve ser a proteção das pessoas. Um número significativo de normas tratando da segurança de instalações frigoríficas pode ser encontrado a nível internacional, destacando-se aquelas elaboradas em países como os Estados Unidos da América e da União Européia como França e Inglaterra. Nessa região, a tendência é a de unificação das normas regionais em européias, que, em linhas gerais, não diferem das normas ISO correspondentes.
A Tabela 5 apresenta uma relação de normas relativas à segurança de instalações frigoríficas publicadas por alguns países. As distintas normas apresentam pequenas diferenças entre si, sendo, de modo geral, muito similares em escopo e procedimentos. No Brasil, infelizmente, até a publicação do presente manual, não foi elaborada uma norma especifica tratando da segurança de instalações frigoríficas. Há um projeto de norma baseado na ISO 5149/1993 que trata sobre os “Requerimentos de Segurança. Sistemas Mecânicos de Refrigeração Usados para Arrefecimento e Aquecimento”, referido na Tabela 5, além de uma da ABNT (Associação Brasileira de Normas Técnicas), relativa a vasos de pressão, a NBR 13598/1996, “Vasos de Pressão para Refrigeração”.
Dada a carência de normas nacionais, vale citar a norma americana ANSI/ASHRAE 15/1992 “ Code for Mechanical Refrigeration” uma das mais completas normas que trata da segurança de instalações frigoríficas. Nos casos em que uma norma brasileira estiver disponível, suas recomendações serão igualmente comentadas.
A depender do tipo de atividade que será executada, haverá diversos estágios em que a adoção de medidas de segurança será necessária. A Figura 1 mostra as etapas deste processo, e os procedimentos que devem ser seguidos em cada uma destas fases.

Este manual sobre SEGURANCA indica os diferentes estágios, em resumo abaixo:

Estágio I: Preparação: A preparação se faz necessária para assegurar que o técnico tenha disponível o equipamento correto para executar os trabalhos pretendidos, que a área de trabalho seja inspecionada para que esteja apta a receber o serviço, e que a documentação relevante seja checada previamente ao início do serviço.

1 EQUIPAMENTO APROPRIADO

Antes de iniciar o trabalho em sistema frigorífico, é essencial assegurar que o equipamento e as ferramentas apropriadas estejam disponíveis. A ausência de equipamento apropriado pode resultar em procedimentos incorretos, assim como no uso de ferramentas inadequadas, podendo ocasionar acidentes, em último caso.

Checar se o equipamento apropriado está disponível, como:

• Máquina Recolhedora de Refrigerantes;
• Bomba de Vácuo;
• Manifolds de serviço, manovacuômetro de pressão;
• Termômetros, Termopares;
• Detector eletrônico de refrigerantes, água e sabão;
• Extintor de incêndio
• Equipamentos de proteção individual: óculos, luvas, botas, capacetes;
• Balanças e Cilindro dosador;
• Ferramentas comuns para trabalho em tubulações do sistema
• Filtro secador.
Outros equipamentos não listados acima podem ser necessários também. Assegurar que todo o equipamento esteja em perfeitas condições de funcionamento, que o profissional esteja familiarizado com o equipamento e devidamente treinado para operar tais ferramentas e máquinas.

5 DOCUMENTAÇÃO

De forma a permitir que toda a operação no sistema frigorífico seja feita corretamente, é necessário buscar referências na documentação associada ao equipamento. As referências poderão fornecer informações sobre o desenho e características de operação do sistema frigorífico e do equipamento, assim como outros detalhes sobre aspetos de segurança dos materiais em questão.

A documentação importante inclui:

• Sinais de segurança e Cartazes na área;
• Dados do equipamento/ Placa de nome;
• Usuário do equipamento/ Manual técnico;
• Prontuário do livro de referência do equipamento/ sistema frigorífico;
• Informativos de segurança dos refrigerantes, óleos, etc;
• Placa informativa sobre o refrigerante e do cilindro de recolhimento.
É essencial que a informação relevante para a operação segura, e para o manuseio correto do equipamento e dos materiais, seja lida pelo profissional em refrigeração ANTES de iniciar o trabalho no sistema frigorífico. O mecânico de refrigeração deve estar atento aos avisos de segurança afixados na área, os quais podem prover informações sobre os perigos do local:
• Proibição ao tabagismo;
• Acesso somente ao pessoal autorizado;
• Perigos com a corrente elétrica;
• Presença de gases tóxicos e / ou inflamáveis; Presença de gases sob ALTA pressão; Presença de líquidos corrosivos;
• Piso escorregadio ou molhado;
• Dispositivos automáticos de funcionamento do equipamento (LIGAR / DESLIGAR - ON / OFF);
• Uso obrigatório de EPIs (Equipamentos de Proteção Individual) – ex: capacetes; óculos de segurança; botas protetoras; roupas de proteção e luvas.

Muitos sistemas devem conter uma placa do FABRICANTE afixada, na qual esperam-se encontrar as seguintes informações:

• Nome e identificação do fabricante; Modelo, número de série e de referência;
• Data de fabricação (ano); Tipo do fluido refrigerante;
• Carga de refrigerante; Pressão máxima permitida, lados de ALTA e BAIXA pressão;
• Outras referências obrigatórias
Para sistemas maiores, o proprietário ou o operador deve guardar um prontuário (livro) atualizado de referências e de serviços. No prontuário devem estar registradas as seguintes informações:
• Detalhes de todos os serviços de manutenção e reparos;
• Quantidades, designação e tipo (novo, reutilizado ou reciclado), quantidade de refrigerante que foi recolhida em cada ocasião, bem como a quantidade de fluido refrigerante a ser transferida para o sistema após cada operação;
• Análise do refrigerante reutilizado; Fonte do refrigerante reutilizado;
• Mudanças e reposições dos componentes do sistema; Resultados de testes periódicos e de rotina.
Esta informação deverá estar acessível às pessoas que mantém, testam ou operam o equipamento, e cada informação sobre serviços subsequentes devem ser adicionadas ao prontuário: Por exemplo, todas as operações de recolhimento e reutilização do fluido refrigerante, e suas fontes, devem ser registradas no prontuário de referências de operação. Qualquer cilindro empregado seja novo ou de recolhimento de refrigerante, deve conter uma placa indicativa de seu volume máximo permitido, o estado (se vazio ou cheio), peso, e a pressão máxima permitida. Assegure que a Folha de Segurança do Refrigerante (FSR) esteja disponível. Isto informará ao profissional sobre as principais propriedades de segurança do fluido refrigerante, e sobre quaisquer procedimentos de emergência no caso de fuga do refrigerante:
• Ações em caso de respingos e derramamento; Detalhes do fabricante/ fornecedor;
• Nome químico; Toxicidade, flamabilidade e características asfixiantes;
• Precauções para um manuseio seguro.

6 INSPEÇÃO DE ÁREA

Para assegurar que o profissional esteja trabalhando em um ambiente seguro, e que outras pessoas à sua volta não sejam colocados em risco, à área da instalação frigorífica deve ser inspecionada. Atenção especial deve ser dada aos seguintes pontos:
• Áreas de escape e rotas de fuga devem estar livres de obstáculos;
• Áreas de transferência de ar e ventilação, livres de obstrução;
• Ventilação mecânica na sala de máquinas;
• Posicionamento e operação de detectores de vazamento de gás;
• Causas potenciais de ignição de alarmes de emergência;
• Presença de luz de emergência;
• Disponibilidade e acesso ao equipamento de proteção pessoal.
Se o sistema frigorífico estiver localizado em um local enclausurado, onde se poderia sofrer com a alta concentração de refrigerante em caso de vazamento, nenhuma pessoa não autorizada e sem treinamento deverá permanecer na área durante a operação dos serviços de manutenção.

PROTEÇÃO PESSOAL

Antes de trabalhar em um sistema frigorífico, o profissional deve ser informado sobre a construção, operação, manutenção e supervisão do sistema, assim como sobre as medidas de segurança a serem tomadas, em especial, as de caráter pessoal. Em geral, o profissional deve respeitar as premissas de segurança necessárias para si e para os demais no recinto, e em todos os casos:

O mecânico deve lembrar dos seguintes aspectos em particular:

• O gás pressurizado pode rapidamente criar uma situação de risco; Com o uso inapropriado, o refrigerante líquido pode causar danos severos à pele, aos olhos e às vias respiratórias;
• Os vapores de refrigerantes podem causar uma série de efeitos tóxicos se inalados, portanto checar a ventilação; Contato com componentes elétricos pode ocasionar choques, muitas vezes com risco fatal;
• Sempre usar equipamentos de segurança como óculos, sapatos e roupas apropriadas, de forma a evitar problemas como quei maduras por congelamento após contato com o refrigerante líquido; Prestar atenção a todos os sinais que estiverem afixados nos produtos ou equipamentos que serão utilizados, por segurança utilizar os EPIs;
• A ventilação do local deve estar sempre ligada quando houver serviços em andamento.
Algumas unidades de refrigeração são equipadas com funções de ignição automáticas (LIGAR / DESLIGAR) que podem iniciar ou parar a qualquer momento, sem avisar. Quando iniciar qualquer checagem prévia no equipamento, estar seguro de que a corrente elétrica esteja desligada.

Independente do tipo de aplicação é importante seguir as etapas do manual de manuseio seguro, por exemplo:

• Sempre puxar o equipamento e cilindros com um carrinho de mão (em vez de empurrar) para evitar deslizamento, o que pode causar arredondamentos nas válvulas e porcas do cilindro, as sim como possíveis danos às mãos;
• O uso de um carregador é aconselhável para levantar qualquer objeto acima de 13 kg; Sempre usar os músculos das pernas, e não os das costas para levantar objetos;
• Assegurar de que não há óleo ou água no piso; Quando trabalhar com circuitos elétricos, assegurar que o mesmo esteja desconectado da fonte de energia; Mangueiras e extensões elétricas podem se tornar um perigo, prevenir este tipo de acidente colocando barreiras e sinalização.
• Afastar as mangueiras para um local onde estejam menos suscetíveis ao contato durante o reparo.
É aconselhável que os operadores estejam presentes durante as etapas de evacuação; carga com refrigerante; ajuste do sistema frigorífico; e se possível, durante a montagem do sistema no local.

Estágio II: Trabalhando com o equipamento

Ao utilizar um equipamento de refrigeração, é necessário assegurar que os procedimentos corretos sejam adotados durante a manutenção e o reparo, que, primeiramente, o refrigerante seja recolhido de forma segura, e que o sistema frigorífico receba nova carga de refrigerante adequadamente.

7 MANUTENÇÃO E REPAROS

Ao realizar manutenção nos sistemas, estará envolvido o manuseio do fluido refrigerante e/ou de componentes. Em ambos os casos, pode ser necessário a remoção do fluido do sistema. Algumas vezes é possível isolar o refrigerante através da operação de válvulas do sistema (recolhimento), apesar disto ser normalmente aplicável em sistemas grandes. Para a maioria dos sistemas pequenos, toda a carga do refrigerante deve ser removida para um cilindro apropriado. Em geral, as atividades de manutenção devem ser conduzidas considerando os seguintes aspectos:
• Acidentes pessoais devem ser minimizados; Minimizar os danos ao sistema e aos produtos refrigerados;
• Componentes do sistema devem continuar em bom estado de operação; Assegurar que qualquer marcação no compressor ou equipamento seja substituída caso se torne ilegível;
• Vazamentos de refrigerante ou de óleo sejam identificados e sanados; Minimizar as perdas de energia.

Reparos de componentes contendo refrigerante devem ser feitos na seguinte ordem, quando cabível:

• Conduzir uma análise de risco sobre o reparo proposto; Instruir pessoal, operadores, trabalhadores, etc, sobre as atividades;
• Recolher e evacuar o refrigerante; Desconectar e separar os componentes a ser reparados, como válvulas, tubulações, etc;
• Limpar e esvaziar o sistema frigorífico com nitrogênio; Conduzir o reparo;
• Testar e checar os reparos com pelo menos um teste de pressão e vazamento, e um teste funcional, se possível; Evacuar e recarregar o sistema com fluido refrigerante.
Antes da execução de cada atividade, deverá ser feita uma análise de risco. Para cada atividade, o técnico deve considerar as consequências possíveis advindas de um erro e quais os danos ou problemas gerados. Feito isso, deverá então adotar procedimento para anular ou minimizar erros e riscos de ocorrências desfavoráveis. Um diagrama processual para execução de análise/teste de riscos segue na Figura 2.
É essencial que oxigênio ou ar não sejam carregados no sistema sob hipótese alguma; oxigênio sob pressão e na presença de oleo e/ou refrigerantes pode resultar em explosão se submetido a aquecimento ou faiscamento. Similarmente, quando carregar um sistema com nitrogênio assegure que a pressão não exceda a pressão MÁXIMA permitida para o sistema frigorífico, o que poderia levar a uma explosão por pressão. Adicionalmente, os processos de brasagem e soldagem devem ser conduzidos apenas por profissionais habilitados, assegurando que o refrigerante tenha sido devidamente recolhido e feita à evacuação da específica seção do sistema, seguida de limpeza com nitrogênio, utilizando-se os procedimentos padrão.
A brasagem e soldagem, ou utilização de instrumentos com chama requerem profissional especializado e credenciado para execução dos procedimentos. Após o retorno do refrigerante para o sistema, em sequência a um reparo, deve haver ajuste na carga do refrigerante de forma a se atingir uma melhor performance energética do sistema frigorífico.

8 RECOLHIMENTO DO REFRIGERANTE

O refrigerante poderá ser recolhido de um sistema devido a vários motivos, incluindo a necessidade de acesso a partes do sistema que requeiram reparo ou troca de componentes. Troca de refrigerante que tenha sido contaminado após o ingresso de outros fluidos devido à queima do motor, reparo de vazamentos, ou se o sistema tiver que ser levado para manutenção. Normalmente, um refrigerante recolhido será descartado se estiver contaminado; em alguns casos, a qualidade do refrigerante é aceitável para reutilização ou recarga;
Em TODOS os casos, os procedimentos e o tratamento dados ao refrigerante recolhido são relevantes para quaisquer tipos de fluidos. A transferência de refrigerante para armazenamento em contêineres ou cilindros de recolhimento é perigosa, e as medidas apropriadas devem ser sempre seguidas. Estes procedimentos também são importantes para manutenção da integridade do sistema Antes de iniciar o processo de recolhimento, tome conhecimento da identidade do refrigerante. Algumas vezes, os sistemas frigoríficos são carregados com refrigerantes diferentes dos pretendidos, o que pode trazer riscos adicionais. É apropriado checar as pressões / temperaturas operacionais em comparação com as propriedades do refrigerante anterior.
A máquina recolhedora de refrigerante remove o fluido refrigerante / óleo do sistema frigorífico e os transfere para os cilindros de maneira segura. O equipamento de recolhimento e seus aparatos relacionados como filtros secadores devem ser operados e mantidos em acordo com as especificações do fabricante da máquina recolhedora Qualquer máquina recolhedora de refrigerante deve estar em conformidade com as normas padrão específicas (ex: IEC 60335-2-104). Ela deve ser operada de forma a minimizar o risco de emissão de refrigerantes ou óleo para o meio ambiente.

As seguintes precauções são necessárias quando operar o recolhimento de fluidos refrigerantes:

• Familiarizar-se com o equipamento de recolhimento, leia o manual de instruções e aplique todos os procedimentos e métodos a cada vez que a máquina for utilizada;
• Assegurar que todas as fontes de energia estejam desconectadas de qualquer equipamento que necessite recolhimento;
• O equipamento de recolhimento deve estar conectado ao sistema de refrigeração para que a transferência do fluido ocorra, seja entre as partes do sistema, ou do sistema para um cilindro em separado;
• Usar mangueiras de boa qualidade, estando certo de que elas estão devidamente ajustadas e firmes, e inspecione suas conexões regularmente;
• Antes de abrir o sistema, checar a pressão no sistema frigorífico;
• A pressão do sistema frigorífico deve ser reduzida para menos de 0.3 BAR (absoluta) através do uso das máquinas recolhedoras;
• Após esta ocorrência, a pressão pode ser reduzida ainda mais com o uso de bomba de vácuo;
• O sistema frigorífico ou suas partes devem estar limpos de qualquer refrigerante, e estas devem ser recolhidas e evacuadas até uma pressão menor do que 0.3 bar (absoluta);
• Não é aconselhável utilizar o mesmo manifold em dois (2) cilindros de pressões diferentes, pois isto pode causar sobrecarga no cilindro de MENOR pressão;
• Em NENHUMA circunstância os refrigerantes devem ser liberados na atmosfera. Os cilindros de recolhimento não devem ter a sua temperatura rebaixada para ajudar no seu enchimento;
• Se recolhido, contate a companhia de reciclagem para que faça a coleta e o transporte do refrigerante indesejado;
• Assegurar que o vácuo é obtido apenas com bomba de vácuo, a quebra do vácuo deve ser feita com nitrogênio extra sêco e que o equipamento de recolhimento e as mangueiras estejam bem limpas de forma que o refrigerante recolhido não seja contaminado devido ao uso anterior dos materiais.
Observação: A pressão referida acima (0.3 bar, absoluta) corresponde ao sistema frigorífico em temperatura ambiente de 20°C. A pressão deverá sofrer alterações conforme a variação da temperatura ambiente.
O tempo requerido para a transferência ou envasamento depende da pressão. O procedimento só estará completo quando a pressão permanecer constante após o desligamento do compressor da máquina recolhedora de gases. Se a pressão SUBIR, isto indica que ainda há líquido refrigerante no sistema.
O fluido refrigerante recolhido pode estar severamente contaminado. O ácido é um produto da decomposição; tanto o ácido hidroclorídrico e o hidrofluorídrico podem estar presentes e são altamente corrosivos. Como o refrigerante pode se misturar com óleo, muito CUIDADO deve ser tomado para prevenir o derramamento de óleo a partir dos vapores dos refrigerantes, evitando assim o contato com a pele e outras superfícies quando executar a manutenção e serviços de reparo do equipamento contaminado. Para o recolhimento de carbonos halogenados, um teste de acidez deve ser conduzido. Este teste de acidez é usado para detectar se há algum componente que se ioniza como um ácido. O teste requer uma amostra entre 100 g e 120 g e tem um limite mínimo de detecção de 0.1 ppm / massa. Se o teste de acidez acusar positivo, a carga total do refrigerante deve seguir por um processo de reciclagem ou regeneração, e os filtros secadores do sistema devem ser substituídos.
Observação: Este teste não é necessário se o recolhimento é feito enquanto um sistema frigorífico estiver sendo fabricado.
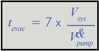
Umidade presente em um sistema pode causar deterioração geral do circuito interno que se manifesta em uma variedade de problemas, incluindo-se o congelamento da válvula de expansão, produção de ferrugem, de ácido e de lodo. Desta forma, toda a vez que o refrigerante for transferido de ou para o sistema, um processo de evacuação deve ser realizado, onde a pressão é reduzida abaixo de 50 Pa (cerca de 400 microns). O tempo necessário para uma evacuação total do sistema (t evac , em minutos) pode ser estimado a partir da utilização da fórmula a seguir:
onte V sys é o volume interno do sistema (em litros) e é a nível de capacidade da bomba de vácuop (em litros/ por minuto). Por exemplo, um sistema de 250 litros usando uma bomba de vácuo de 35 litros por minuito levaria provavelmente 50 minutos para executar a operação. Depois que a bomba de vácuo for desligada, o sistema deve ser deixado em repouso por algum tempo: se a pressão manométrica subir depois de terminado o vácuo, isto sugere que ainda há presença de água (aumento temporário de pressão) ou que exista vazamento (aumento contínuo de pressão).
A Figura 3 mostra a curva de vapor-pressão para água e desde que as pressões requeridas sejam muito BAIXAS para evaporação, as quantidades remanescentes de umidade necessitam de vácuo profundo.
É recomendado que a bomba de vácuo opere apenas para retirada de água do sistema, não usar a bomba de vácuo para recolher o refrigerante ou tampouco uma máquina recolhedora para efetuar o vácuo no sistema. Mesmo porque os óleos POE e PAG comumente usados com HFCs são muito higroscópicos, e estes sistemas requerem um vácuo mais profundo do que os sistemas de CFCS e HCFCs; Isto se aplica similarmente aos sistemas que operam a BAIXAS temperaturas de evaporação.
Observação: Os óleos lubrificantes têm pressões de vapor muito baixas e não evaporam no vácuo.

9 Cilindros de recolhimento

Cilindros de recolhimento têm tamanhos variados (ver apendix 3), pois depende do país de origem, tembém têm diferentes arranjos de válvulas e códigos de cores. O uso de cilindros de recolhimento consiste em um risco em particular, portanto algumas medidas de precaução devem ser tomadas:
• Familiarizar-se com as características do cilindro de recolhimento;
• Os fluidos refrigerantes devem apenas ser transferidos para os cilindros específicos, sinalizados para um tipo específico de refrigerante, uma vez que cada refrigerante tem pressões permitidas diferentes;
• Assegurar que o cilindro de recolhimento é do modelo correto, e não utilizar cilindros convencionais de refrigerantes ou cilindros descartáveis;
• Usar apenas cilindros limpos, livres de contaminação por óleo, ácido, umidade, etc;
A capacidade máxima de enchimento de um cilindro é uma função do volume do cilindro e da densidade líquida do refrigerante a uma temperatura de referência (95% do volume líquido a 50 °C conforme regulamentação da ONU, porém, é recomendável até 85% de enchimento líquido devido à presença do óleo). Se o cilindro estiver sobrecarregado, é provável que havendo aumento de temperatura ele poderá explodir (devido à expansão do refrigerante líquido).
Esta é uma questão importante quando o refrigerante for recolhido em sua fase líquida. Similarmente, a pressão máxima de um cilindro não poderá ser excedida, mesmo que temporariamente durante a operação. O cilindro de refrigerante não deve ser sobrecarregado. Algumas vezes, válvulas especiais devem ser ajustadas ao cilindro de refrigerante para evitar a possibilidade de sobrecarga. Uma ilustração da construção interna do cilindro.
O refrigerante deve ser transferido somente para cilindros destinados aos específicos fluidos. O cilindro deve ser identificado facilmente e assinalado com o código de cores respectivo do refrigerante, ou como se estivesse reservado para uso de tal refrigerante.
O cilindro com refrigerante recolhido deve ser marcado com o gás, especificamente, por exemplo “R134a — Recolhido — Não usar antes de analisar”. Notar que alguns países têm regulamentações nacionais que determinam a cor para cilindros de recolhimento. É responsabilidade de quem recolhe o refrigerante, garantir que o cilindro de recolhimento esteja em acordo com as regulamentações e normas técnicas relevantes para o transporte de gases e líquidos pressurizados, como a regulamentação da ONU sobre o Transporte Internacional de Bens e Substâncias Perigosas (UN Regulations Concerning the International Carriage of Dangerous Goods) e outras regulamentações nacionais. Todos os cilindros devem estar sujeitos à inspeção periódica e testes de pressão, assegurando que a data de validade do teste demonstrada na etiqueta do cilindro não tenha expirado e que os testes de pressão sejam efetuados pelo menos a cada 5 anos, e inspeção visual a cada 1 ano.
Cilindros descartáveis com refrigerante não devem ser usados devido à possibilidade de que o gás residual seja descarregado para a atmosfera quando descartado o que gera problemas ambientais e de segurança. Refrigerantes diferentes não devem ser misturados e devem ser armazenados em cilindros diferentes. Um refrigerante não deve ser colocado em um cilindro que contem outro tipo de fluido, mesmo de tipo desconhecido. Um refrigerante desconhecido já armazenado em um cilindro não deve ser liberado na atmosfera, porém identificado, regenerado ou descartado de forma apropriada.
O cilindro de recolhimento deve conter válvulas separadas para gás e líquido, e conter um mecanismo de alívio de pressão. Com o cilindro de duas válvulas, tomar cuidado para não confundir a cor das mesmas, uma vez que estas podem variar entre países e (ou) regiões (por exemplo, nos EUA a válvula de vapor é azul e a de líquido é vermelha. Na Europa, a de vapor é vermelha, e a de líquido azul).
Quando um cilindro é cheio com um refrigerante, a carga máxima permitida sempre deve ser observada, levando em consideração que possíveis misturas de refrigerante e óleo têm densidade menor que a do refrigerante Europ Assegurar que a conexão correta foi feita junto ao sistema e à unidade recolhedora, e depois de concluída a operação, certificar se os cilindros estão em condições seguras, tampados apropriadamente e com as devidas identificações afixadas.
Quando mover um cilindro, use um carrinho com rodas. Assegurar que o cilindro está devidamente amarrado quando o carrinho estiver em movimento. Nunca rolar o cilindro sobre sua base, ou deitá-lo para que possa ser rolado de um local ao outro. Use uma empilhadeira para levantar e carregar contêineres acima de meia tonelada.