Sistemas de Transmissão em Corrente Contínua (HVDC)

NR 10 Sep - Sistema Elétrico de Potência

1 Sistemas de Transmissão em Corrente Contínua (HVDC)

Introdução

Os sistemas de transmissão em corrente contínua (HVDC) são uma tecnologia avançada utilizada para transmitir grandes quantidades de energia elétrica a longas distâncias. Esses sistemas oferecem várias vantagens em comparação com os sistemas de transmissão em corrente alternada (CA), tornando-se uma escolha ideal para determinadas aplicações específicas.

Princípios Básicos do HVDC

A transmissão em corrente contínua envolve a conversão de corrente alternada (CA) em corrente contínua (CC) para a transmissão e, posteriormente, a reconversão de CC para CA no ponto de recepção. Essa conversão é realizada por meio de estações conversoras que utilizam tecnologias como tiristores ou IGBTs (Transistores Bipolares de Porta Isolada).

Vantagens do HVDC

  • Eficiência em Longas Distâncias: Sistemas HVDC são mais eficientes para transmitir energia elétrica a longas distâncias, devido a menores perdas de transmissão comparadas aos sistemas CA.

  • Interconexão de Redes Assíncronas: Permite a interligação de redes elétricas que operam em diferentes frequências ou que não estão sincronizadas.

  • Transmissão Submarina: HVDC é ideal para transmitir energia através de cabos submarinos, como em conexões entre continentes ou ilhas, devido à menor capacitância e consequente redução de perdas.

  • Controle Preciso de Potência: Proporciona um controle mais preciso e flexível do fluxo de potência, aumentando a estabilidade e a confiabilidade da rede elétrica.

Componentes de um Sistema HVDC

  • Estações Conversoras: Convertedores que transformam CA em CC (na estação de envio) e CC em CA (na estação de recepção).

  • Linhas de Transmissão: Condutores que transportam a corrente contínua de uma estação conversora para outra. Podem ser linhas aéreas ou cabos submarinos.

  • Filtros: Utilizados para minimizar as harmônicas geradas durante a conversão de CA para CC e vice-versa.

  • Dispositivos de Controle: Sistemas de controle que gerenciam a operação do HVDC, assegurando a estabilidade e a eficiência do sistema.

Aplicações Típicas do HVDC

  • Transmissão de Longa Distância: Ideal para transmitir grandes quantidades de energia elétrica de usinas de geração remotas para centros de consumo distantes.

  • Interconexão de Redes Elétricas: Facilita a conexão de redes elétricas que operam em diferentes frequências ou que estão geograficamente distantes.

  • Transmissão Submarina: Utilizado para conectar redes elétricas entre continentes ou ilhas, onde a instalação de linhas aéreas não é viável.

  • Energia Renovável: Integração de fontes de energia renovável, como parques eólicos offshore, à rede elétrica principal.

Os sistemas de transmissão em corrente contínua (HVDC) representam uma solução eficiente e confiável para a transmissão de grandes quantidades de energia elétrica a longas distâncias. Com suas vantagens distintas, como a eficiência em longas distâncias, a capacidade de interconectar redes assincronizadas e a aplicação em transmissões submarinas, os sistemas HVDC desempenham um papel crucial no fortalecimento e na modernização das infraestruturas elétricas globais.

2 Introdução aos Sistemas de Transmissão em Corrente Contínua

No Brasil, o planejamento dos sistemas de transmissão é realizado basicamente em três etapas. A primeira etapa envolve estudos técnicos e econômicos que resultam na elaboração de possíveis soluções a serem implementadas. Essas soluções são selecionadas e submetidas a leilões. A segunda etapa consiste na realização de leilões abertos e públicos, onde são escolhidas as empresas responsáveis pela construção das linhas de transmissão e pela exploração do sistema. Por fim, a terceira etapa é a elaboração do projeto.

A primeira etapa de estudos é extremamente importante, pois é nela que se define se a melhor opção técnica e econômica será viabilizada por um projeto de linha de transmissão em corrente alternada ou se os requisitos do projeto indicarão que a transmissão em corrente contínua (ou HVDC, do inglês high voltage direct current) será a alternativa economicamente mais viável.

Para contextualizar o nosso estudo, imagine que você trabalhe em uma empresa de consultoria especializada em estudos para planejamento da transmissão. Está para ser aberto um processo licitatório para apresentação de soluções para conexão de dois sistemas em corrente alternada por meio de uma linha de transmissão. Sabe-se que a distância entre esses dois sistemas é superior a 700km e que a região a ser instalada a linha apresenta algumas complicações em relação a questão ambientais e de instabilidade. É importante ressaltar, ainda, que ela se encontra em uma área de alta radiointerferência. Como consultor, você deve propor as soluções possíveis para uma linha de transmissão que atenda a alguns requisitos técnicos e econômicos nesse projeto. Como você realizaria essa tarefa? Que tipo de transmissão seria melhor nesse caso: CC ou CA? Quais as aplicações possíveis?

Nesta seção, abordaremos um histórico para entender a aplicação dos sistemas de transmissão CC e falaremos das principais diferenças entre os sistemas de transmissão em corrente alternada e em corrente contínua; analisaremos as vantagens e desvantagens técnica, além das considerações econômicas e ambientais. Esta seção é fundamental para que possamos avançar no estudo dos sistemas HVDC com elo de corrente e elo de tensão, por isso sua dedicação é fundamental.

Nós já estudamos que, em algumas situações, a transmissão em corrente alternada pode deixar de ser vantajosa frente aos sistemas de transmissão em corrente contínua. Uma dessas situações é o caso de transmissões de grandes blocos de potência por grandes distâncias. Além do natural aumento das capacitâncias da linha, o limite de estabilidade é comprometido devido ao aumento da reatância da linha. Para entender melhor esse conceito, vamos apresentar um breve exemplo.

Exemplificando:

Considere o diagrama que representa uma linha de transmissão que conecta as barras 1 e 2, onde a referência angular está considerada na barra 1

Resolução:

Se a reatância da linha é 0,03 pu/km, analise a curva de potência por abertura angular da máquina quando esta linha é de 50km e quando ela é de 500km.

Para fazer esta análise, vamos considerar que a potência ativa que trafega pela linha pode ser dada pela equação a seguir:

Vamos considerar que a magnitude das tensões permaneça em 1pu, então podemos utilizar a equação para traçar um gráfico de potência ativa em função do ângulo de abertura da tensão e como resultado teremos a Figura 3.2.

Percebe-se que ocorre uma grande redução na capacidade de transferência de potência da linha.

Quando iniciamos os nossos estudos do sistema elétrico de potência, vimos que ele se iniciou com a modalidade de transmissão em corrente contínua. Foi com Thomas Edison em 1897 que tivemos o primeiro suprimento de eletricidade em baixa tensão utilizando corrente contínua (KIM et al., 2009). Contudo, após a guerra das correntes, a transmissão em corrente alternada (CA) de Nikola Tesla se consolidou como a alternativa mais viável, visto que transmissão CC requeria que os pontos de geração se dessem muito próximo dos pontos de consumo de forma a minimizar as perdas de transmissão. Como sabemos, uma alternativa foi aumentar a tensão de transmissão, mas isso incorria em grandes custos o que contribuiu para o estabelecimento da corrente alternada como modalidade de transmissão de energia.

Esse entrave na elevação do nível de tensão CC para transmissão esteve por muito tempo relacionado aos custos, o que impossibilitou que essa tecnologia avançasse. Seria necessário fazer uso de grandes conversores de frequência mecânicos juntamente a um conjunto motor-gerador. Já o sistema CA de Nikola Tesla era mais flexível nesse sentido, pois o uso do transformador para elevação do nível de tensão se torna possível (lembre-se que, para o transformador funcionar adequadamente, é necessário haver variação de fluxo no tempo, o que não ocorre ao alimentá-lo com corrente contínua) Assim, a tecnologia CA permitiu a transmissão de energia elétrica em longas distâncias, possibilitando gerar energia onde fosse mais conveniente – não necessariamente próximo do consumo –; elevar o nível de tensão e transmitir essa energia por longos caminhos até os pontos de utilização (SETRÉUS; BERTLING, 2008).

Isso funcionou como estado da arte até final do século XIX, pois a utilização de energia durante um tempo se resumia a alimentação de pequenas cargas e iluminação. No entanto, à medida que as pessoas começaram a utilizar mais a energia elétrica, a demanda por mais centros de geração e mais linhas de transmissão aumentava. Apesar de tanto a transmissão CA como CC andarem um pouco juntas no início, a tecnologia de transmissão CA, até do final do século XIX e começo do século XX, foi predominante, pois apresentava melhor desempenho e mais confiabilidade. No entanto, de um tempo recente para cá, a transmissão CA já não conseguia suprir a necessidade sem que os níveis de elevação da tensão no transporte fossem economicamente e tecnicamente mais viáveis em CA do que em CC para algumas distâncias.

Com a criação da válvula de mercúrio e a apresentação de um retificador fazendo dela (Retificador a vapor de mercúrio de Hewitt) em 1901, a dificuldade de conversão de níveis de tensão CC começa a ser superada, tornando possível a transmissão de potência CC por longas distâncias. A tecnologia das válvulas a arco de mercúrio evoluiu a partir do ano de 1930 e, em 1945, um primeiro sistema HVDC foi desenvolvido e implementado na cidade de Berlim, na Alemanha. Contudo, esse sistema não foi colocado efetivamente em operação por conta do fim da Segunda Guerra Mundial (SETRÉUS; BERTLING, 2008).

Foi somente em 1954 que o primeiro sistema de transmissão CC utilizando um conversor a arco de mercúrio foi colocado em operação comercial. Isso ocorreu para interligar a ilha de Gotland até a costa da Suécia. Posteriormente, em Sardenha, na Itália, uma linha CC também foi implementada em 1967. Na América do Norte em 1970 e 1973 ocorreu, respectivamente nos Estados Unidos e no Canadá, a implementação da tecnologia HVDC utilizando válvulas de arco de mercúrio para as linhas de transmissão de longa distância em Pacific Intertie - EUA e Nelson River – Canadá.

Ainda no Canadá, foi implementado, em 1972, o sistema HVDC – o primeiro sistema HVDC back-to-back assíncrono em El River, entre as províncias de Quebec e New Brunswick. Entretanto, esse sistema diferenciou-se dos demais por serem utilizadas válvulas de tiristores, o que marcou a introdução de uma nova tecnologia que veio a substituir as antigas válvulas a arco de mercúrio. Entre 1970 e 2000, a nova tecnologia HVDC passou a ser dominada pelos conversores comutados em linha, utilizando as válvulas de tiristores. Entretanto, com o desenvolvimento dos dispositivos semicondutores a partir de 1990, como os IGBTs (Insulated-gate bipolar transistor ou transistores de junção bipolar com porta isolada) e os GTOs (Gate turn-off thyristor), uma nova tecnologia utilizando conversores de fonte de tensão surgiu tornando possível níveis de suportabilidade de tensão maiores.

Conforme vimos, o avanço dos sistemas HVDC foi viabilizado pelo crescimento da eletrônica de potência, em particular com o surgimento dos dispositivos semicondutores de potência Tiristor, IGCT IGBT e MOSFET, conforme ilustrado na Figura 3.3 (a). A capacidade de conduzir potência e a velocidade de chaveamento desses dispositivos são indicadas na Figura 3.3(b).

A principal característica dos dispositivos semicondutores é que eles são capazes de terem a sua condução controlada por algum mecanismo. Por exemplo, os diodos só conduzem corrente elétrica se polarizados de maneira direta e bloqueiam a passagem de corrente se polarizados de maneira reversa. Já os tiristores bloqueiam tanto a tensão de polarização direta quanto a reversa. Para aplicações de alta potência também podem ser utilizados os tiristores controlados de porta integrada - integrated gate controlled thiristors (IGCT), que consistem em uma evolução dos GTOs. A condução dos tiristores pode ser de certa forma controlada fazendo com que eles entrem em condução no instante desejado. Existe atualmente disponível uma ampla faixa de valores nominais de corrente e tensão para os tiristores, sendo que sua aplicação deve ser específica para esses valores. Assim, a escolha do correto dispositivo semicondutor depende de sua potência e frequência para a aplicação, como mostra a Figura 3.4. Na Figura 3.4 (a) é mostrada a potência do conversor fazendo uso do dispositivo semicondutor, e a corrente para cada tipo de aplicação é mostrada na Figura 3.4 (b), mostrando também a tensão de bloqueio.

Assim, a aplicação do HVDC é destinada a transmitir grandes quantidades de potência por longas distâncias, onde um sistema de transmissão CC tende a ser mais econômico que um sistema de transmissão CA. Um exemplo disso é quando se utiliza a transmissão de energia por meio de cabos submarinos, o sistema HVDC é quase sempre a escolha realizada devido a sua vantagem econômica. Outro tipo de aplicação é para garantir a estabilidade do sistema. Em muitos casos, pode ocorrer de um elo de transmissão CA causar instabilidade aos sistemas e, nesse caso, o elo é feito por meio de uma transmissão CC (MOHAN, 2016).

Na Figura 3.5 pode ser visualizada a representação do sistema HVDC por meio de um diagrama unifilar. De um lado, o sistema com tensão CA está representado por um gerador equivalente denotado por AC1, e do outro lado tem-se o outro sistema CA denotado por AC2. Em ambas as extremidades se encontram um transformador para elevar/abaixar a tensão, e um conversor CA/CC ou CC/CA, dependendo do sentido do fluxo de energia considerado. A potência é transmitida em uma linha de transmissão HVDC.

A Figura 3.6 mostra dois tipos de sistemas de HVDC: (a) um sistema com elo de corrente que utiliza tiristores e (b) um sistema com elo de tensão que utiliza chaves, tais como o Transistor Bipolar de Porta Isolada — Insulated Gate Bipolar Transistor (IGBTs). Ambos os sistemas serão discutidos futuramente.

Podemos citar, ainda, outros elementos que compõem o sistema HVDC, como:

• Disjuntores CA para isolar o sistema HVDC do sistema CA no caso de ocorrência de defeitos.

• Filtros CA e bancos de capacitores, que normalmente são instalados do lado CA para prevenir os harmônicos gerados pelo conversor, podendo, também, serem usados para absorver ou fornecer potência reativa.

• Reatores e filtros CC para reduzir a ondulação de corrente CC e evitar descontinuidades em baixa potência, além de proteger os dispositivos de falhas durante a comutação.

O Conversor é o principal componente do sistema HVDC, pois executa a conversão de CA para CC ou de CC para CA, podendo este ser um dispositivo fonte de corrente ou fonte de tensão.

Podemos destacar as principais vantagens do sistema HVDC conforme pontuado em Pinto (2018):

• São econômicos para transmitir grande quantidade de energia a longas distâncias, já que o custo com condutores é reduzido, uma vez que o sistema necessita apenas de dois condutores (ou, até mesmo de um, se o terra for usado como retorno). Desse modo, consequentemente, o custo das torres de sustentação é também reduzido.

• Não há problemas de instabilidade na linha.

• Uma maior transmissão de potência por condutor é possível com o sistema DC.

• As perdas por efeito corona são baixas, e a radiointerferência é menor.

• Há fácil reversibilidade e controlabilidade do fluxo de potência.

• A estabilidade transitória do fluxo de potência pode ser melhorada ao se fazer uma conexão paralela de linhas HVAC (high-voltage alternating current) e HVDC.

• Ao acontecer uma falta, o controle da rede do conversor diminui significativamente a corrente dela.

• Estações intermediárias não são necessárias.

Ainda segundo Pinto (2018), são pontuadas também as principais desvantagens do sistema HVDC:

• Uma considerável quantidade de potência reativa é necessária nas estações conversora.

• A manutenção dos isoladores precisa ser mais frequente.

• Há perdas adicionais nos transformadores conversores. As perdas são contínuas. O sistema de refrigeração tem de ser eficiente para dissipar o calor.

• As estações conversoras são compostas por tiristores de alta potência, uma tecnologia relativamente cara se comparada aos sistemas de corrente alternada.

• Introdução de harmônicos. Os conversores geram quantidade considerável de harmônicos em ambos os lados, CA e CC. Alguns são filtrados, mas outros permanecem no sistema, podendo interferir no sistema de comunicação.

Quando comparamos as linhas de transmissão CA com a CC, verificaremos que o custo tem uma relação com a distância, como mostra a Figura 3.7. O cruzamento da curva da transmissão CA com a CC ocorre em uma distância aproximada de 600 a 800 km.

Essas informações consistem em uma pequena introdução aos sistemas HVDC. No entanto, para aprofundar nosso estudo, faremos uma análise dos principais conversores utilizados na implementação de sistemas de transmissão em corrente contínua. Esse assunto será mais explorado nas próximas seções

Exemplo Prático:

Vamos retomar a situação em que você precisa propor uma solução para realizar a interconexão de dois sistemas CA por meio de uma linha de transmissão. De acordo com as informações que foram passadas, as soluções a serem apresentadas para concorrer ao processo licitatório precisam considerar uma distância de 700km entre os dois sistemas CA, mas também outros entraves de ordem ambiental e técnica. A região na qual a linha deve se encontrar é uma região de instabilidade e que sofre muitas interferências de radiofrequência. Com essas informações, é possível justificar que a melhor opção para uma linha de transmissão é optar por um sistema HVDC, pois entre as diversas vantagens desse sistema, estão os benefícios econômicos de se transmitir uma grande quantidade de energia a longas distâncias com um custo reduzido dos condutores. Com essa redução de condutores, os custos com as torres de sustentação também caem. A distância é um fator que também corrobora para a escolha, uma vez que em distâncias de 600km a 800km, o custo das linhas CC passa a ser menor que o custo da linha de transmissão CA. No entanto, os aspectos econômicos não são os únicos que favorecem a escolha de um sistema HVDC. Devido à grande instabilidade dos sistemas CA e considerando a região na qual a linha deve ser instalada, o sistema HVDC se apresenta mais vantajoso por não incorrer em problemas de estabilidade e minimizar as interferências de radiofrequência na linha. Além disso, as perdas por efeito corona são significantemente reduzidas.

Quanto à aplicação, a situação descrita se encaixa perfeitamente em uma das aplicações principais do sistema HVDC que consiste em transmitir grandes quantidades de energia por longas distâncias. Para esse tipo de aplicação, pode ser que ocorram maiores custos de implementação da linha (pois requer mais equipamentos, conversores, filtros, etc.) . No entanto, o retorno se justifica no longo prazo, uma vez que o custo pela transmissão do MWh é menor utilizando os sistemas HVDC. Quando se tratam, entretanto, de linhas de transmissão AC de longas distâncias, normalmente são exigidas subestações de manobras e também compensação de reativos, o que em algumas situações equaliza o custo em comparação com a implementação de um elo de transmissão em corrente contínua. Assim sendo, todas essas justificativas devem ser levadas em consideração ao descrever a solução a ser submetida no processo licitatório. Fazendo dessa forma, a sua tarefa estará cumprida com êxito

Uso da tecnologia HVDC em Cabos Subterrâneos:

Descrição da situação-problema

Imagine que um processo licitatório foi aberto para apresentação de soluções para o projeto de uma linha de transmissão que interligará dois sistemas de transmissão em corrente alternada. Contudo, a distância entre esses dois subsistemas é de 60km. Um dos engenheiros da empresa justificou que para este projeto o mais indicado é a construção de uma linha curta CA, em um projeto simples e de fácil implementação. Contudo, existe um fator que não foi considerado pelo engenheiro na avaliação, que é a necessidade de que esta linha seja subterrânea, pois devido a aspectos ambientais, não será possível construir linhas aéreas na região de interconexão dos dois sistemas. Nesse caso, qual seria a alternativa para construção da linha? Seria possível construir uma linha de transmissão CC, mesmo para esta distância curta?

Resolução da situação-problema

Diferente dos cabos aéreos CA, não existe restrição física limitante ou nível de potência para o sistema HVDC utilizando cabos subterrâneos ou submarinos. Os cabos subterrâneos podem ser utilizados de forma compartilhada com outros sistemas sem impactar na confiabilidade no uso comum deste sistema. Além disso, com o sistema HVDC para cabos subterrâneos é possível obter grandes economias em termos de perdas e custos dos cabos. Dependendo do nível de potência a ser transmitida, estas economias podem começar a partir de cabos com 40 km ou mais longos.

Em se tratando de cabos CA, existe uma capacidade de transmissão máxima devido aos componentes reativos, uma vez que os cabos possuem altas capacitâncias e baixas indutâncias no caso de cabos subterrâneos. Embora isso possa ser compensado por meio de compensação shunt intermediária em cabos subterrâneos, não é prático fazer isso para cabos submarinos, por exemplo. Para uma dada área abrangida por um condutor, as perdas com os sistemas HVDC podem ser de até metade das perdas com linhas CA. Isso porque os cabos CA normalmente requerem mais condutores devido à operação em três fases, carregando mais componentes reativos, efeito skin e correntes induzidas na bainha e armadura. Com esse sistema de cabos, existe também a necessidade de balancear as cargas ou também o risco de pós-contingências de sobrecargas, normalmente requerendo o uso de reatores série conectados ou transformadores defasadores. Por outro lado, esses problemas não existem quando utilizado um sistema HVDC controlado. Cabos HVDC com juntas pré-fabricadas usadas com transmissão baseada em VSC são mais leves, mais flexíveis e mais fáceis de unir do que os cabos de papel óleo impregnados em massa usados para transmissão HVDC convencional, tornando-os mais propícios para aplicações de cabos terrestres, onde as limitações de transporte e os custos extras de emenda podem elevar os custos de instalação. As instalações de cabo de baixo custo possibilitadas pelos cabos HVDC extrudados e juntas pré-fabricadas tornam a transmissão subterrânea de longa distância economicamente viável para uso em áreas com restrições de direitos de passagem ou sujeitas a dificuldades de licenciamento ou atrasos com linhas aéreas.

3 Sistemas HVDC Com Elo de Corrente

Os sistemas HVDC consistem em sistemas de transmissão no qual a energia é transmitida em corrente contínua. Conforme estudamos na seção anterior, esse tipo de sistema pode ser vantajoso em situações em que se deseja transmitir grandes blocos de energia a grandes distâncias. Na Seção 1 analisamos um panorama geral da transmissão CC, abordando alguns aspectos técnicos e históricos, falando sobre os principais tipos de dispositivos utilizados nos conversores e também comparando os sistemas de transmissão CC e CA.

Nesta seção, iremos estudar o tipo convencional de sistema HVDC utilizando conversores a tiristores, que são aplicados a sistemas HVDC com elo de corrente; veremos como se dá o fluxo de potência em sistemas desse tipo e como fazer o controle adequado do conversor de forma a garantir o fluxo de energia de um sistema de corrente alternada a outro. Falaremos, ainda, sobre os melhoramentos de sistemas com elo de corrente.

Para contextualizar nosso estudo, vamos retomar a situação em que você trabalha em uma empresa de consultoria especializada em estudos para planejamento da transmissão. Será aberto um processo licitatório para apresentação de soluções para fazer a conexão de dois sistemas em corrente alternada por meio de uma linha de transmissão de cerca de 700km, em uma região com complicações em relação a questões ambientais e de instabilidade, pois se tratar de uma área de radiointerferência. Você já elaborou um estudo que mostrou que a melhor opção para essa linha é por meio de um sistema HVDC. Cabe agora apresentar um projeto de um conversor. Seu supervisor solicitou que você apresente o funcionamento de um sistema HVDC com elo de corrente, indicando principalmente como fazer o controle dos conversores de modo a garantir o fluxo de potência adequado. Em sua apresentação, você deve destacar o modo de operação dos conversores e qual a relação do ângulo de disparo dos tiristores do conversor nesse controle de fluxo. Como seriam os modos de operação do conversor tiristorizado? Como fazer o adequado controle de potência?

Nesta seção elencaremos os conhecimentos necessários para que você possa resolver essa problemática. À medida que você for estudando o conteúdo da seção, já será possível imaginar uma solução.

Os sistemas HVDC convencionais empregam a tecnologia utilizando válvulas tiristorizadas, chamadas de comutação por linha ou, ainda, HVDC com elo de corrente. Nesse modo, os conversores requerem uma fonte de tensão síncrona para operar (MOHAN, 2016). A configuração em blocos básica desse sistema é mostrada na Figura 3.8, consistindo em um arranjo de dois polos, um positivo e um negativo em relação à terra. Em cada polo, temos dois conversores que são tiristorizados e alimentados por meio de transformadores com conexão Y - Y e Y - Δ . Isso é feito para introduzir uma defasagem de 30 graus. Existe, ainda, uma indutância de linha extra em série, de forma a atenuar as variações instantâneas de corrente no elo CC.

Tiristores têm uma operação similar aos diodos, no entanto estes são dispositivos de quatro camadas. A sua simbologia é representada por um diodo com os terminais anodo (A) e catodo (K), mas também com um terminal adicional denominado de porta (gate) (G). Os tiristores também conduzem corrente somente na direção direta e bloqueiam a tensão de polarização negativa, mas, ao contrário dos diodos, os tiristores podem bloquear a condução mesmo com uma tensão de polarização direta. A condução depende de um pulso no pino G, conforme mostra a Figura 3.9, em que temos um circuito simples para converter CA em CC, com um tiristor em série com uma carga RL.

Na operação do circuito, inicialmente temos o semiciclo positivo da onda de entrada polarizando diretamente o tiristor. No entanto, esse dispositivo não conduz a corrente imediatamente a partir de wt = 0. A condução só ocorre após um disparo aplicado à porta por meio de um pulso, que pode acontecer em um ângulo α. Esse instante, no qual a corrente começa a fluir, pode ser controlado (atrasado) em relação a wt = 0 através de um ângulo de atraso. Uma vez em estado de condução, o tiristor se sustenta e se comporta como um diodo.

Na figura 3.9 (b), a forma de onda na carga é mostrada e comparada com a tensão de entrada. Sendo um circuito com carga RL, a corrente é atrasada em relação à tensão no momento da condução do tiristor. Assim, a corrente continua fluindo pelo tiristor durante parte do semiciclo negativo até que essa corrente caia para zero. Nesse momento, a tensão na carga é reduzida a zero, e o tiristor só volta a conduzir após um novo pulso, estando no semiciclo positivo. O controle do ângulo de atraso é denominado controle de fase, permitindo controlar a tensão média nos terminais da carga RL.

Em sistemas HVDC tradicionalmente utilizados, cada conversor utiliza seis tiristores, como apresentado Figura 3.10 (a). Por ser uma estrutura básica de conversão, trata-se de um retificador de onda completa trifásico, denominado de comutação a seis pulsos (ou ponte de Graetz). O termo comutação a seis pulsos é devido a seis comutações ou chaveamentos que ocorrem por um período de onda resultando em uma característica harmônica de um ripple de seis vezes a frequência fundamental da tensão CC de saída. Assim, cada ponte de seis pulsos é composto por seis tiristores controlados.

Vamos entender a operação desse conversor, pois ele é fundamental para compreendermos o link de transmissão em corrente contínua (CC). Suponhamos que o conversor seja alimentado por fontes trifásicas, conforme mostrado na Figura 3.10 (b), onde os tiristores estão agrupados na conexão com o nó P e na conexão com o nó N. A fonte de corrente Id​ e a tensão Vd​ representam o lado CC do conversor.

Se ajustarmos o ângulo de disparo para zero, teremos uma operação idêntica à dos diodos em uma ponte de retificação trifásica. Em todos os casos, pelo menos um dos diodos do agrupamento superior conduzirá durante o semiciclo positivo de qualquer uma das fases. Da mesma forma, pelo menos um dos diodos do agrupamento inferior conduzirá durante o semiciclo negativo de qualquer uma das fases. Isso ocorre porque todos os diodos do agrupamento superior têm seus catodos conectados, e o tiristor com o anodo conectado à tensão mais alta conduzirá, enquanto os outros ficarão polarizados reversamente.

As formas de onda para a tensão de saída retificada em cada um dos nós e da tensão total de saída Vd​ são apresentadas nas figuras 3.11 (a) e 3.11 (b), sendo que a tensão d v é dada por:

A Figura 3.11 (c) também apresenta as correntes em condução nas fases durante cada semiciclo de 180 graus. Verifica-se que a condução em cada tiristor ocorre apenas por um período correspondente a 120 graus em cada semiciclo.​

A tensão rms entre fases dentro de cada intervalo de 60 graus é mostrada na Figura 3.11 (b) como VFF Podemos assim então determinar a tensão média do lado CC conforme a seguir:

Podemos agora analisar o que ocorre quando há um atraso no disparo dos tiristores. Vamos definir este ângulo de atraso como um valor genérico α, medido em relação ao ângulo no instante de condução natural (zero). Se isso for feito, as ondas serão como mostrado na Figura 3.12. 

Percebe-se que as ondas do lado CC diferem das apresentadas na Figura 3.11 (a) por uma área do semiciclo correspondente a A. Essa área representa as perdas por atraso no disparo, sendo expressa em volts-radiano. Pode-se assumir que o instante inicial de contagem de tempo seja o cruzamento das tensões de duas fases. Nesse ponto, a forma de onda da tensão fase-fase ainda pode ser expressa como

Assim, é possível calcular a queda ΔVa na tensão média do lado CC.

Logo, o valor médio da tensão no lado CC pode ser controlado pelo ângulo de atraso como:

Exemplificando

Seja um conversor trifásico operando com um ângulo de disparo de 150 graus, como será a forma de onda das tensões e correntes nesse caso?

Resolução:

A Figura 3.13 mostra como serão as formas de onda.

Dessa forma, a tensão entre pontos P e N do lado retificado e os valores médios serão negativos, indicando que está havendo uma inversão da tensão de operação. A potência flui, então, do lado CC para o lado CA. Pode-se perceber também que do lado CA as formas de onda da corrente estarão atrasadas pelo ângulo de disparo quando comparada a situação do ângulo de disparo em zero graus.

Podemos, então, resumir a operação do conversor com relação ao ângulo de disparo conforme se apresenta na Figura 3.14 (a). Observa-se que, quando o ângulo de disparo é menor que 90 graus, o conversor opera como um retificador e a tensão de saída é positiva. Para valores de ângulo de disparo maiores que 90 graus, a operação é como um inversor. Note, no entanto, que existe um limite de ângulo, neste caso de 160 graus, isso para garantir o ângulo de comutação necessário para a operação segura de um tiristor para o próximo. Na Figura 3.14 (b) é mostrado que o fluxo de potência é positivo para o modo conversor e negativo para o modo inversor, uma vez que a corrente flui na mesma direção para os dois casos.

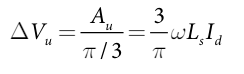
É importante destacar, no entanto, que essas análises se passam para o caso ideal, em que a indutância série do enlace é igual a zero e, por conta disso, as correntes no lado CA são comutadas de forma instantânea de um tiristor para o outro. Contudo, quando consideramos essa indutância, o processo é um pouco diferente. Poderemos representar o seu efeito como um atraso na comutação representado pelo intervalo u, finito, como mostra a Figura 3.15. Assim, conforme mostra a forma de onda, teremos, durante o intervalo em que ocorre este atraso, a tensão instantânea CC reduzida devido à queda de tensão na indutância em série. Assim, a área adicional que representa a redução na tensão de saída pode ser dada como:

Logo, teremos uma queda de tensão adicional dada por:

Temos, então, que representar a tensão com a presença da indutância como V= Vd0 − ΔVa​. Substituindo essa expressão na equação obtida anteriormente, teremos:

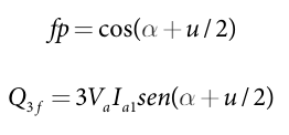
E considerando a tensão durante o intervalo de comutação u, com o conversor operando como inversor, tem-se:

Já a corrente elétrica do lado CA tem um formato trapezoidal, conforme mostrado na Figura 3.8. Esse formato é também devido ao atraso na comutação. Assim, a corrente de fase fica atrasada em relação à tensão de fase por um ângulo α + μ / 2. Dessa forma, podemos determinar o fator de potência atrasado e a potência reativa como:

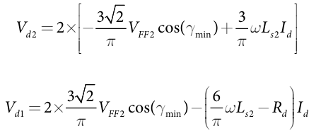
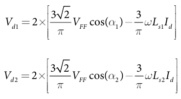
Vamos considerar o enlace completo de um sistema de transmissão HVDC conforme mostrado na Figura 3.16. Rd é a resistência da indutância série e, dessa forma, como cada terminal consiste em dois conversores de seis pulsos, podemos descrever as tensões indicadas na figura como:

Na figura, as tensões são de tal forma que a corrente trafega pelos conversores, e a linha de acordo com a convenção. Assim, os ângulos devem ser controlados de ambos os lados de forma a controlar a tensão média, a corrente média e a potência média no sistema. A corrente pode ser calculada pela seguinte equação, considerando Rd muito pequena:

Assim, a potência fluindo do sistema 1 para o sistema 2, a tensão Vd2 deve ser ajustada como negativa por meio do controle do conversor do lado receptor operando como inversor, enquanto que o conversor do lado emissor opera como retificador. O contrário ocorre quando a potência flui do sistema 2 para o sistema 1. No inversor, o ângulo de extinção constante γ, mantido constante em um valor mínimo, geralmente de 15° a 20°, pode ser definido como segue:

O ângulo de extinção pode ser substituído nas equações para o conversor 2 operando como um inversor, assim obtemos:

Com o conversor 2 operando como um inversor em um ângulo de extinção mínimo γmin, a tensão vd1 , é representada graficamente na Figura 3.17, em função da corrente Id no elo CC. O conversor 1 está operando como um retificador, com seu ângulo de atraso controlado para manter a corrente no elo CC em seu valor de referência, Id,ref. Assim, sua característica aparece como uma linha vertical. A interseção das características do inversor e do retificador estabelecem o ponto de operação em termos da tensão e corrente em um sistema HVDC.

Melhorias nos sistemas HVDC podem ser conseguidas introduzindo filtros ativos, que, além de reduzir o espaço para a instalação, melhoram o desempenho do sistema. Em outros casos, pode-se também utilizar capacitores em série entre os transformadores.

Com o estudo desta seção, pudemos compreender o funcionamento do conversor convencional usado em sistemas HVDC utilizando transistores. Grandes avanços na eletrônica de semicondutores permitiram o desenvolvimento de outros tipos de conversores com elo de tensão. Nas próximas seções esse será o tema abordado.

Exemplo prático:

Com os conhecimentos sobre os sistemas HVDC adquiridos nesta seção, vamos retomar a situação em que você trabalha em uma empresa de consultoria em planejamento de sistemas de transmissão, que está participando de uma licitação para realizar a conexão de dois sistemas em corrente alternada através de um sistema HVDC, sendo esta a melhor opção para a linha. Você deve apresentar um projeto de um conversor. Seu supervisor solicitou que você apresente o funcionamento de um sistema HVDC com elo de corrente, indicando principalmente como fazer o controle dos conversores de modo a garantir o fluxo de potência adequado. Em sua apresentação, você deve destacar o modo de operação dos conversores e a relação do ângulo de disparo dos tiristores do conversor neste controle de fluxo.

Para realizar essa tarefa, podemos retomar o funcionamento do conversor trifásico de seis pulsos, conforme mostrado na Figura 3.14, a qual estamos retomando aqui. Como pode ser observado, a operação do conversor com relação ao ângulo de disparo pode ter dois comportamentos: um é quando o ângulo de disparo é menor que 90 graus, e assim o conversor opera como um retificador, sendo a tensão de saída positiva. Para valores de ângulo de disparo maiores que 90 graus, a operação é como um inversor. Contudo, existe um limite de ângulo no caso de operação como inversor de 160 graus, isso para garantir o ângulo de comutação necessário para a operação segura de um tiristor para o próximo. O fluxo de potência é positivo para o modo conversor e negativo para o modo inversor, uma vez que a corrente flui na mesma direção para os dois casos. Isso, em outras palavras, significa que o fluxo de potência tem sentido saindo dos terminais CC do conversor quando ele opera como retificador, e tem o sentido oposto, ou seja, entrando, quando o conversor opera como retificador

Assim, podemos apresentar o funcionamento do sistema HVDC com elo de corrente conforme mostrado na Figura 3.16, a qual também estamos repetindo a seguir. Assim, podemos fazer algumas considerações sobre os controles e os modos de operação. A condição mais comum é como a mostrada: o conversor do lado direito opera com ângulos de disparo do tiristor tal que ele funcione como um retificador para manter a corrente de elo constante, enquanto o outro conversor opera com um ângulo de disparo do tiristor maior que 90 graus, de forma que funcione como um inversor, cuja função é garantir um ângulo mínimo visando minimizar a necessidade de suporte de reativos. A potência ativa a ser transmitida pode ser usada para determinar o valor de referência da corrente a ser mantida constante.

4 Implementação de Um Conversor de 12 Pulsos a Partir de Conversores de 6 Pulsos

Descrição da situação-problema

Imagine que uma empresa está projetando o sistema HVDC com elo de corrente e no projeto está determinada a utilização de conversores de 12 pulsos. No entanto, a empresa já possui um contrato para fornecimento de conversores de 6 pulsos para um projeto que teve que ser postergado pelo cliente devido a restrições de orçamento. Você que está projetando um novo sistema HVDC bipolar deveria solicitar a compra de novos conversores, mas seu supervisor solicitou que você verificasse a viabilidade de utilizar os conversores de 6 pulsos de modo que no projeto estes conversores fossem conectados para implementar um conversor de 12 pulsos. Como você realizaria essa tarefa? É possível fazer essa conexão?

Resolução da situação-problema

A Figura 3.10 mostra um conversor de 6 pulsos ligados em ponte, sendo uma generalização para sistemas trifásicos de um conversor monofásico. Foi visto que o modelo do conversor de um sistema HVDC bipolar emprega conversores de 12 pulsos que são constituídos por conversores de 6 pulsos sendo estes conectados a transformadores com secundário, tanto em Y quanto em triângulo. O uso desses dois transformadores é para garantir uma defasagem de 30 graus entre dois picos consecutivos da corrente retificada. Dessa forma, a implementação do conversor de 12 pulsos em um sistema bipolar deve realmente utilizar os conversores de 6 pulsos, como mostra a Figura 3.8.

5 Sistemas HVDC com Elo de Tensão

Estamos finalizando o nosso estudo sobre sistemas de transmissão em corrente contínua, o chamado sistema HVDC. Na primeira seção, passamos por uma visão geral desse tipo de sistema, pelo histórico de aplicação e por alguns fatores que conferem as vantagens técnicas e econômicas do sistema. Na última seção, estudamos o principal tipo de sistema HVDC, aquele que utiliza os conversores com elo de corrente. Nesta seção, finalizaremos os estudos do sistema HVDC abordando um tipo de conversor que, diferente dos conversores de fonte de corrente, utilizam transistores para implementar chaves controladas de forma a realizar as suas funções no sistema HVDC.

Para contextualizar nosso estudo, imagine agora a seguinte situação: você trabalha em uma empresa de consultoria especializada em estudos para planejamento da transmissão e um projeto do sistema HVDC retornou para você com um requisito adicional. De acordo com os requisitos do projeto, o sistema deve prever um controle de reativos sem que a potência reativa seja consumida da rede elétrica CA, pois isso pode fazer com que o perfil de tensão da rede seja afetado. Nesse contexto, seu supervisor quer saber se os conversores utilizados no sistema não poderiam ser adaptados ou modificados de forma a prever um maior controle de reativos.

Como você realizaria essa tarefa? É possível utilizar os conversores com elo de corrente que estudamos anteriormente? Ou a melhor opção agora seria utilizar os conversores com elo de tensão? No estudo desta seção você irá adquirir os conhecimentos necessários para responder a esses questionamentos. No entanto, é necessário que você se empenhe nos seus estudos e se dedique o máximo possível.

Quando abordamos o sistema HVDC com elo de corrente, pudemos observar que, em ambos os modos de operação dos conversores, seja como retificador ou inversor, existe uma necessidade de retirar uma potência ativa do sistema CA e isso é um fator limitante para os sistemas HVDC com elo de corrente. Entretanto, existe a possibilidade de se utilizarem conversor transistorizados de forma a superar essa limitação. Esses sistemas são comumente denominados sistemas HVDC com elo de tensão, cujo esquema é mostrado na Figura 3.18 (a). A Figura 3.18 (b) mostra um diagrama unifilar do sistema do tipo HVDC com elo de tensão (MOHAN, 2016).

Pode-se verificar no diagrama de blocos que cada conversor pode absorver ou fornecer potência reativa para o sistema de forma independente e com o controle necessário. Existe, contudo, uma diferença com relação aos sistemas de elo de corrente, que é a presença de um capacitor em paralelo com o lado CC do conversor. Esse capacitor funciona como uma espécie de “porta de tensão”, o que também confere ao conversor o nome de “conversor fonte de tensão” (MOHAN, 2016).

Os sistemas HVDC utilizando conversores fonte de tensão (do inglês, utiliza-se o acrônimo VSC – voltage source converter) normalmente utilizam modulação por largura de pulso (PWM). Foram incialmente empregados nos anos 90, sendo que de lá para cá houve grandes progressos nos valores nominais de tensão, tornando-os comparáveis aos conversores tiristorizados. Os conversores fonte de tensão são normalmente do tipo autocomutáveis e utilizam transistores do tipo IGBT (Insulated-gate bipolar transistor).

A tecnologia VSC veio então para controlar ambas as potências, ativas e reativas, de forma independente, assim como a potência reativa controlada em cada terminal de forma independente do nível de tensão CC da transmissão. Essa capacidade de controle flexibiliza a alocação de conversores em qualquer ponto da rede CA, uma vez que não existe restrição com relação ao valor mínimo da capacidade de curto-circuito da rede.

Os conversores com elo de tensão são baseados em chaveamento PWM e caracterizados por um lado de corrente contínua com um capacitor e de um lado de um sistema CA indutivo. A tensão contínua resultante é bem definida, mas a corrente CA é controlada pelo processo de modulação.

Na Figura 3.19 (a) temos uma representação de um dos conversores na interface com a parte CA do sistema, onde encontramos uma indutância L (MOHAN, 2016). O modelo monofásico deste conversor pode ser representado conforme mostra a Figura 3.19 (b), em que o lado CA é mostrado como uma fonte de tensão, e entre as fontes de tensão encontra-se a indutância interna do sistema, sendo esta figura uma representação direta do apresentado na 3.19 (a). Logo, podemos descrever a equacionamento das tensões conforme a seguinte equação, que decorre diretamente da análise da malha na Figura 3.19 (b).

Conforme podemos perceber da equação descrita, a tensão por fase do conversor pode ser controlada para estar nas mesmas frequências, magnitude e no mesmo ângulo de fase da rede, e disso decorre diretamente a representação fasorial da Figura 3.19 (c). Note por esse diagrama que a corrente pode ser controlada dentro de uma circunferência (representada a esquerda) e como consequência, a queda de tensão na indutância pode ser modificada de forma a determinar a tensão do conversor com a amplitude e fase desejadas. Dessa forma também se controla a potência em termos de direção e magnitude. Note também que se pode exercer o controle da potência reativa que é absorvida ou fornecida pelo conversor em termos de sua magnitude (MOHAN, 2016).

Para entender como as tensões trifásicas podem ser sintetizadas pelo conversor tomaremos o comportamento de três transformadores ideais hipotéticos cuja relação de espiras é continuamente variável, assim como mostra a Figura 3.20 (a). Estes transformadores ideais diferem dos transformadores que comumente já estudamos por que esses transformadores ideais são representações funcionais do conversor de modo chaveado que é necessário para a operação do conversor do elo CC por fonte de tensão. Tomaremos então apenas um destes transformadores e observaremos o seu funcionamento conforme mostra a Figura 3.20 (b). Por questões de análise assumiremos que a variação de tap deste transformador pode variar na faixa entre 0 e 1 continuamente. Assim, a tensão no secundário não poderá se tornar negativa, e deve haver uma componente CC com metade da tensão do barramento CC, que é introduzida. Como resultado tem-se uma tensão de saída na forma senoidal que pode variar ao redor da componente CC podendo tornar-se negativa ou positiva, conforme nos mostra a equação logo a seguir (MOHAN, 2016):

Para que se consiga a tensão descrita nesta última equação temos que partir de que no transformador ideal VaN = da Vd, e dessa forma a tensão pode ser obtida variando a relação de transformação com o tempo, assim como mostrado na Figura 3.21 e nas equações a seguir:

Como resultado deste processo, tem-se as três tensões de saída conforme mostrado na Figura 3.22 (a) e cujas formas de onda podem ser visualizadas na Figura 3.22 (b). Podemos perceber que as três formas de onda oscilam em torno de uma componente CC no entanto estas tensões de modo comum podem ser canceladas a partir das tensões fase-fase, e sendo assim as compontes CC podem ser desconsideradas na tensão de saída. Ainda, por meio de Modulação por Largura de Pulso do vetor espacial (conhecido como Space-Vector PWM, ou SV-PWM), é possível modular a tensão de modo comum, de forma a incrementar a capacidade da tensão de saída do conversor (MOHAN, 2016).

Precisamos agora entender como este comportamento do transformador ideal com tap continuamente variável é obtido na prática. Neste caso, utilizam-se chaves de duas posições, assim como apresentado na Figura 3.23 (a). Esta chave tem uma porta de tensão do lado CC e uma porta de corrente do lado CA. Considerado que esta chave seja ideal, controlada por um sinal qa, conforme mostrado na figura. Assim, quando este sinal é o sinal de nível logico 1, temos a chave na posição para cima, e no caso de nível lógico baixo em qa temos a chave para baixo. A constituição real desta chave é feita por meio de dois diodos e dois IGBTs conforme mostrado na Figura 3.23 (b).

Agora, vamos ver o que ocorre quando operamos esta chave em uma alta frequência, que deve ser duas a três ordens de magnitude maior que a frequência de 60 Hz, que é a frequência para qual queremos sintetizar a onda senoidal. Para isso digamos que a frequência de chaveamento seja de 6kHz. Esta frequência irá resultar em uma forma de onda conforme mostrada na Figura 3.24 (a). Note que ao longo da senoide o ciclo de chaveamento varia o período de acordo com a frequência de chaveamento, mas mantendo o nível alto em um tempo dado por Tup que pode variar e desta forma o valor médio da tensão de saída pode ser variado de acordo com a razão do tempo na qual a tensão é mantida em nível alto e o período total do ciclo de chaveamento. Dessa forma temos as seguintes equações (MOHAN, 2016):

Além do valor médio, poderemos perceber que a tensão de saída possui harmônicos de chaveamentos não desejados e isso está apresentado na Figura 3.24 (b), sendo mostrado, neste espectro, os múltiplos da frequência de chaveamento circundados por uma faixa lateral no harmônico h e ao redor dele, dado pela equação:

Assim, é importante salientar que esses harmônicos devem ser filtrados adequadamente e, para isso, o projeto do conversor deve prever os harmônicos. Essa filtragem é necessária de forma a não causar impactos no sistema CA. O fasor da corrente pode ser administrado de forma a controlar a tensão do conversor, como já vimos, a fim de garantir o fluxo de potência em ambos os sentidos, fornecendo a potência reativa de modo controlado. Assim, quando consideramos novamente o diagrama de blocos da Figura 3.18, as potências ativas são iguais, mas as potências reativas Q1 e Q2 podem ser totalmente independentes uma da outra, o que permite auxiliar a estabilidade de tensão.

A onda senoidal gerada pelo conversor deve ter a menor distorção possível, por isso, as técnicas de modulação PWM podem ser diferentemente aplicadas na operação do conversor. Como os conversores VSC apresentam chaves autocomutadas, permite-se a determinação dos instantes de disparo e de corte. Assim, as principais vantagens desse tipo de conversor para o método tradicional é que os conversores VSC são rápidos e independentes para o controle de fluxo de potência ativa e reativa, possuem capacidade de garantir a qualidade da onda gerada e não necessitam de transformadores especiais, como no caso nos conversores com elo de corrente. Além disso, esses conversores possuem imunidade sobre distúrbios na rede no processo de comutação. Aliado a isso, a flexibilidade do controle permite que ele seja operado como retificador ou inversor, sendo essas operações feitas com fator de potência atrasado ou adiantado (operação em quatro quadrantes). Entretanto, atualmente, quando comparados com os conversores com elo de corrente, apresentam limitações em relação à potência.

A partir dos estudos desta seção, pudemos cobrir os aspectos básicos dos sistemas HVDC, permitindo que você tenha os conhecimentos necessários para avançar quando for atuar com os sistemas de transmissão em corrente contínua em seu ambiente profissional.

Contesto Teórico:

Vamos retomar a situação-problema apresentada no início da seção: você trabalha em uma empresa de consultoria especializada em estudos para planejamento da transmissão e um projeto do sistema HVDC retornou para você com um requisito adicional referente ao controle de reativos. Esse controle deve ser realizado pelo sistema do projeto sem que a potência reativa seja consumida da rede elétrica CA, pois isso pode fazer com que o perfil de tensão da rede seja afetado. Nesse contexto, seu supervisor quer saber se os conversores utilizados no sistema não poderiam ser adaptados ou modificados de forma a prever um maior controle de reativos.

Conforme estudamos nesta seção, o conversor adequado para esta finalidade é o conversor com elo de tensão, não o conversor com elo de corrente.

Quando falamos sobre os conversores com elo de corrente, pudemos observar que, seja operando como retificador ou inversor, existe uma necessidade de retirar uma potência ativa da rede alternada, o que é um fator limitante para este tipo de sistema. Entretanto, existe a possibilidade de se utilizarem conversores transistorizados de forma a superar essa limitação.

Os sistemas HVDC que utilizam os conversores transistorizados de que estamos falando são chamados de HVDC com elo de tensão. Eles são baseados em chaveamento PWM e têm como característica um lado de corrente contínua com um capacitor e outro de um sistema CA indutivo. A tensão contínua resultante é bem definida, mas a corrente CA é controlada pelo processo de modulação.

É importante salientar, contudo, que a tensão de saída possui harmônicos de chaveamentos não desejados, que devem ser filtrados adequadamente de forma a não causarem impactos no sistema CA. O fasor da corrente pode ser administrado de forma a controlar a tensão do conversor e garantir o fluxo de potência em ambos os sentidos, fornecendo a potência reativa de modo controlado. As potências ativas em ambos os lados do link do sistema serão iguais, mas as potências reativas podem ser totalmente independentes uma da outra, o que permite auxiliar na estabilidade de tensão.

As técnicas de modulação PWM aplicadas na operação do conversor devem garantir uma onda senoidal com a menor distorção possível. Como os conversores apresentam chaves autocomutadas, podemos sumarizar as vantagens em relação ao método tradicional, usando conversores com elo de corrente conforme segue:

• São rápidos e independentes para o controle de fluxo de potência ativa e reativa.

• Possuem capacidade de garantir a qualidade da onda gerada.

• Não é necessário utilizar transformadores especiais, como no caso dos conversores com elo de corrente.

• Possuem imunidade sobre distúrbios na rede no processo de comutação. 

• Conferem flexibilidade do controle, permitindo que ele seja operado como retificador ou inversor, sendo essas operações com fator de potência atrasado ou adiantado (operação em quatro quadrantes).

Assim, com essas informações apresentadas, deve-se avaliar o emprego desses sistemas HVDC para atender os requisitos do cliente e, uma vez justificados os argumentos para tal aplicação, sua tarefa estará concluída com êxito!

Implementação prática

Funcionamento do conversor HVDC com elo de tensão:

Descrição da situação-problema:

Imagine que você foi alocado pelo seu supervisor para ministrar um treinamento de sistemas HVDC com elo de tensão para os estagiários da empresa em que você trabalha. Você precisa detalhar o funcionamento do conversor HVDC, pois essa é a base para a compreensão do sistema. Dessa forma, você deve realizar uma apresentação indicando como ocorre o chaveamento dos transistores durante o funcionamento do conversor. Como você realizaria essa tarefa? Quais os aspectos mais importantes a serem destacados no processo? Lembre-se de que, acima de tudo, você precisa ser didático o suficiente para que todos entendam o processo.

Resolução da situação-problema:

Atente ao fato de que os estagiários precisam entender bem como é comportamento do conversor do sistema HVDC com elo de tensão. Para isso, você pode retomar a Figura 3.23 (a), em que se percebe a utilização de chaves de duas posições pelos conversores. Essa chave tem uma porta de tensão do lado CC e uma porta de corrente do lado CA, considerando que ela seja ideal, controlada por um sinal qa, conforme mostrado na figura. Assim, quando esse sinal é o sinal de nível logico 1, temos a chave na posição para cima e, no caso de nível lógico baixo em qa, temos a chave para baixo. A constituição real dessa chave é feita por meio de dois diodos e dois IGBTs, conforme mostrado na Figura 3.23 (b).

Podemos ver que quando o sinal é de nível alto, apenas o transistor superior conduz. A corrente poderá, então, fluir no indutor de saída em ambas as direções através do transistor superior, se essa for positiva, ou através do diodo superior se for negativa. No ponto A, o potencial é o mesmo do barramento CC superior e, dessa forma, vaN = Vd. Quando o sinal é de nível baixo, a corrente de saída fluirá através do diodo inferior ou através do IGBT inferior. Logo, percebemos que o chaveamento faz com que a chave esteja nas posições superior ou inferior.