Análise do Sistema Elétrico de Potência

NR 10 Sep - Sistema Elétrico de Potência

1 Análise do Sistema Elétrico de Potência

A Análise do Sistema Elétrico de Potência consiste no estudo detalhado do comportamento e desempenho de todos os componentes de um sistema elétrico, incluindo geração, transmissão, distribuição e consumo de energia elétrica. Esse processo envolve a avaliação das condições operacionais, identificação de possíveis falhas, análise da estabilidade e confiabilidade do sistema, além da otimização do fluxo de energia. O objetivo principal é garantir que o sistema opere de maneira segura, eficiente e contínua, atendendo à demanda de energia com qualidade e minimizando os riscos de interrupções ou danos aos equipamentos e infraestrutura

A Análise do Sistema Elétrico de Potência consiste no estudo detalhado do comportamento e desempenho de todos os componentes de um sistema elétrico, incluindo geração, transmissão, distribuição e consumo de energia elétrica. Esse processo envolve a avaliação das condições operacionais, identificação de possíveis falhas, análise da estabilidade e confiabilidade do sistema, além da otimização do fluxo de energia. O objetivo principal é garantir que o sistema opere de maneira segura, eficiente e contínua, atendendo à demanda de energia com qualidade e minimizando os riscos de interrupções ou danos aos equipamentos e infraestrutura

2 Sistema por unidade (PU)

Nesta seção, exploraremos um conceito fundamental para a análise de um sistema elétrico de potência: o sistema de valores por unidade (ou sistema PU). Você já pensou que em um sistema elétrico de potência existem diversos transformadores responsáveis por elevar e rebaixar a tensão ao longo do percurso da energia elétrica? Se considerássemos os variados níveis de tensão nos cálculos com valores reais, a análise do SEP seria extremamente complexa. No entanto, com o sistema por unidade, as diferentes variáveis são convertidas para um único sistema de unidades.

Para contextualizar nosso estudo, imagine que você trabalha no centro de operação de uma empresa que coordena o despacho de energia desde a geração até a carga. Você precisa realizar um estudo de um sistema elétrico composto por uma unidade geradora com tensão de 10 kV, conectada a um transformador elevador que transporta a energia por uma linha de 100 kV. Posteriormente, essa tensão é rebaixada para 20 kV e utilizada por um reator, conforme ilustrado na Figura 2.1.

É necessário determinar qual a potência elétrica consumida por esse reator, e para isso será utilizado um software de simulação. No entanto, para analisar o sistema, é fundamental obter o sistema equivalente em valores por unidade (pu) para simplificar os cálculos. O software de simulação utiliza uma potência base de 100 MVA, portanto, os valores em pu devem ser inseridos nessa base. Para prosseguir com a simulação, você deve obter os parâmetros do sistema no modelo de valores por unidade (pu) e fornecê-los em forma de um banco de dados. Como proceder para obter um sistema simplificado que torne os cálculos mais fáceis? No decorrer desta seção, abordaremos os elementos necessários para construir o sistema equivalente em valores por unidade. Para isso, será essencial entender os principais conceitos sobre como determinar os valores de base, realizar a mudança de base dos valores em pu fornecidos com os equipamentos e, finalmente, utilizar o sistema equivalente para calcular a potência no reator.

A análise do fluxo de potência é uma atividade crucial em sistemas elétricos de potência, visando alcançar condições ideais de operação, controle e supervisão. Seu objetivo principal é determinar as magnitudes de tensão e os ângulos de fase na rede, além da distribuição do fluxo de potência nas barras.

Para isso, é necessário modelar o sistema elétrico por meio de um conjunto de equações e/ou inequações que representem algebricamente seus componentes, como linhas de transmissão, transformadores de potência, geradores e cargas.

Durante a análise de sistemas elétricos, a utilização das variáveis "reais" (volts para tensão, amperes para corrente, ohms para impedâncias, entre outras) torna-se extremamente complexa. Isso ocorre porque, ao longo de um sistema a ser analisado, há elevações e quedas de tensão, utilizando os transformadores de potência, conforme visto nas seções anteriores. Nas análises para obtenção dos fluxos de corrente e potência, as variações de tensões devem ser consideradas, assim como os diferentes parâmetros das linhas, cuja magnitude varia em função do comprimento e características das mesmas.

Para contornar o problema mencionado anteriormente, foi criado o sistema "por unidade" (Sistema PU). Esse sistema visa realizar uma mudança de escala das principais variáveis de análise, como tensões, correntes, potência e impedâncias. Essa alteração de escala expressa os valores das variáveis em forma de uma certa porcentagem de um valor base adotado, tornando os cálculos mais simples e diretos. Inicialmente, vamos entender melhor a diferença entre valores nominais e valores de base (MOHAN, 2016):

  • Valores nominais: São os valores associados aos equipamentos que compõem o sistema elétrico de potência. Por exemplo, geradores, transformadores, linhas de transmissão, bancos de capacitores, entre outros, possuem um valor nominal de tensão (tensão nominal) para o qual foram projetados, considerando aspectos como isolamento, saturação magnética e frequência de operação, e no qual devem operar. Além da tensão nominal, os equipamentos normalmente possuem também uma corrente nominal em termos de valores eficazes, dimensionada no projeto para operação em regime permanente, sem exceder os limites térmicos (aquecimento por dissipação Joule).

  • Valores de base: Para determinar os valores dos equipamentos do sistema elétrico por unidade, devem ser adotados valores de base para tensão e potência. A partir desses valores de base de tensão e potência, obtêm-se os valores de base para correntes e impedâncias e, posteriormente, o sistema elétrico pode ser convertido em valores por unidade utilizando os valores de base adotados. Geralmente, para os valores de base de tensão, são escolhidos os valores nominais de cada equipamento, enquanto o valor de base da potência do sistema elétrico é único e escolhido conforme alguma convenção.

Optar por modelar um sistema elétrico em PU se deve a razões bem definidas. Primeiro, os valores por unidade são independentes do tamanho do equipamento, permanecendo em uma faixa conhecida e, portanto, fáceis de verificar ou estimar. Além disso, como os transformadores são equipamentos que envolvem a conversão entre dois níveis diferentes de tensão e são muito comuns no SEP, o uso de valores PU padroniza o sistema em termos de nível de tensão. Se duas partes distintas da rede possuem tensões nominais diferentes, esses valores nominais podem ser adotados como valores de base para cada seção da rede, de forma que, ao se obter o equivalente PU, um valor de 1 pu (padronizamos a unidade de medida em minúscula) em qualquer parte da rede corresponde ao valor nominal da tensão em cada uma dessas partes. Esse procedimento simplifica os cálculos necessários em uma análise de fluxo de carga, onde todos os valores são inicialmente obtidos em unidades pu e posteriormente convertidos para unidades reais utilizando seus respectivos valores de base.

Assim, entendemos que o primeiro passo para determinar o equivalente em por unidade de um sistema elétrico é obter os valores de base para tensão, potência, corrente e impedância. Com os valores de base de potência e tensão, os valores de base de corrente e impedância podem ser calculados da seguinte forma:

As equações mencionadas devem ser usadas com cuidado, considerando se os valores são de linha ou de fase. Uma vez determinados os valores de base, as quantidades em por unidade podem ser obtidas utilizando a seguinte relação:

Em resumo

Um sistema elétrico tem uma potência de base assumida em 100 MVA. Parte desse sistema tem uma tensão nominal de 200 kV, que é adotada como valor de base. Qual será o valor da corrente de 250 A em pu nesse sistema?

Resolução: Uma vez que os valores de potência e tensão de base são fornecidos, precisamos calcular inicialmente a corrente de base:

Agora, para encontrar o valor da corrente de 250 A em pu, usamos a relação:

Portanto, o valor da corrente de 250 A em pu nesse sistema é aproximadamente 0.866 pu.

Cabe ainda ressaltar que os valores em por unidade são mantidos os mesmos seja em uma base monofásica ou trifásica. Um exemplo claro disso é com relação à potência, cujo valor em unidades pu é a mesma seja ela monofásica ou trifásica, enquanto que para calcular o valor em Watts monofásico a partir de uma base trifásica é necessário dividir o valor da potência de base trifásica por três (ou calcular a potência trifásica e dividir por 3).

A mudança de base transfere os valores em por unidade de uma base de valores para um novo valor em por unidade, mas utilizando valores de base diferentes. Basicamente, essa mudança é feita por meio da operação de multiplicação do valor em PU em uma base 1, pela razão entre os valores de base 1 e base 2, conforme mostra a equação a seguir:

A utilização do sistema pu (por unidade) oferece vantagens significativas para cálculos em redes com múltiplos níveis de tensão. Isso ocorre porque ele elimina a necessidade de converter níveis de tensão e corrente na presença de transformadores, mantendo a relação de transformação em pu de 1:1. Para ilustrar, considere um transformador conectado entre as barras k e m de um sistema. A tensão nominal no primário é Vk​ e, no secundário, é Vm. A impedância total no lado do secundário, em Ohms, é dada por Zt, conforme mostrado na Figura 2.2(a). Considerando a relação de transformação, podemos refletir a impedância total em Ohms do lado do secundário para o lado do primário, conforme a equação a seguir e a Figura 2.2(b).

Conforme já vimos, os valores de base são números reais que são iguais às magnitudes das quantidades complexas que elas representam. Vamos, então, assumir que a potência de base para esse transformador seja igual a S, e as tensões de base para o primário e para o secundário sejam as tensões nominais de cada um dos lados (Vk e Vm ). Podemos, então, descrever a impedância de base do primário, conforme a seguir:

Agora, substituindo a equação da impedância em Ohms da impedância do transformador refletida do lado do primário, em termos da impedância do secundário e da relação de transformação, teremos:

Assim, pudemos mostrar que a impedância de um transformador em valores pu é a mesma seja para o lado do primário ou para o lado do secundário. Assim, quando os parâmetros do transformador são fornecidos em pu, não há necessidade de especificar se ele é para o lado do primário ou para o lado do secundário.

Por outro lado, em algumas situações ainda pode ser que seja necessário mudar os valores em pu de alguma grandeza que está em uma determinada base para uma nova base de cálculo. Uma dessas situações ocorre exatamente quando os dados dos transformadores em pu são disponíveis em uma base diferente da base de cálculo utilizada no sistema. A seguir, apresentamos um exemplo de um sistema elétrico no qual é necessário fazer uma mudança de base dos transformadores assim como calcular o valor em por unidade da impedância da linha de transmissão.

Resolução: É possível verificar que podemos dividir o sistema em duas zonas, uma referente ao lado do primário do transformador e uma referente ao lado do secundário, conforme mostra a Figura 2.4.

Assim, iniciaremos determinando os valores de tensão de base de cada zona, podendo ser a tensão nominal de cada um dos lados do transformador:

Assim, temos o sistema equivalente em pu conforme dado na Figura 2.5

3 Cálculo das Perdas de Potência em uma Linha de Distribuição Utilizando o Sistema PU

Descrição da situação-problema

Imagine que você trabalha na operação de uma concessionária de distribuição e prevê um aumento de carga em um dos alimentadores. Este aumento fará com que a corrente de suprimento dessa carga atinja 160 A. No entanto, esse incremento de carga afetará o sistema de transmissão, que é composto por uma linha de transmissão que alimenta a subestação de distribuição com uma tensão de 64 kV. Essa tensão é então reduzida para 8 kV para atender à carga. O sistema é ilustrado na Figura 2.9, levando em conta que as impedâncias dos transformadores são muito menores que a impedância da linha.

A concessionária precisa informar a previsão de perdas na transmissão, de forma que o despacho seja efetuado adequadamente. Dessa forma, você tem a responsabilidade de analisar esse sistema e indicar as perdas existentes para a corrente indicada. Como você faria isso?

Resolução da situação-problema

Uma vez que os transformadores e o gerador têm impedâncias muito inferiores podemos considerar que esses equipamentos possuem impedância nula e dessa forma o circuito pode ser reduzido como mostrado na figura. Assumindo a potência de base de, por exemplo, 100 MVA, teremos a seguinte impedância de base para a linha de transmissão:

Dividindo a impedância da linha e a corrente na carga pelos valores de base teremos:

Agora, o circuito em pu pode ser representado pela figura:

A potência ativa perdida na linha será dada por:

4 Geradores e Cargas Utilizados em SEP

Na primeira seção desta unidade, estudamos o sistema de valores por unidade, ou sistema pu. Nesta seção, continuaremos nossos estudos analisando algumas particularidades do principal gerador utilizado em sistemas elétricos de potência (SEP), especialmente em usinas hidrelétricas e termelétricas: o gerador síncrono. Além disso, examinaremos algumas características das modelagens de cargas elétricas utilizadas em SEP.

Para contextualizar nosso estudo, imagine que você trabalha como técnico de campo em um projeto de uma grande usina hidrelétrica que está em fase de comissionamento. Os geradores a serem instalados nessa usina precisam atender a determinados requisitos para se manterem estáveis. Na fase de comissionamento, alguns valores referentes ao gerador precisam ser ajustados em seus respectivos controladores. Os principais controladores de um gerador hidrelétrico são o regulador de velocidade e a excitatriz.

O regulador de velocidade é responsável por controlar a velocidade da turbina, fornecendo a potência mecânica adequada para o eixo do gerador. Ele faz isso ajustando o fluxo de água que passa pela turbina, regulando sua velocidade. A excitatriz, por sua vez, controla a tensão de excitação do enrolamento de campo, garantindo que a tensão gerada acompanhe a excitação do campo. Essa excitação é crucial, pois fornece a potência reativa adequada para a máquina em cada situação.

Posteriormente, quando o gerador for conectado ao sistema elétrico, será necessário realizar um processo denominado sincronização. Como técnico de campo, você precisará cumprir as seguintes tarefas:

  • Determinar os limites de potência para o controle adequado da turbina da máquina.
  • Determinar os limites de potência de forma a não exceder a excitação da máquina.
  • Estabelecer os requisitos necessários para conduzir o processo de sincronização do gerador com a rede.

Você estaria preparado para realizar essa tarefa? Onde é possível encontrar as informações necessárias para que os controladores sejam ajustados? Qual o passo a passo para a sincronização do gerador com a rede elétrica?

No decorrer da seção você conhecerá os elementos que lhe ajudarão a realizar essa tarefa com êxito.

A maioria dos geradores que abastecem os centros consumidores com energia elétrica são geradores centralizados, conectados ao sistema elétrico de potência, fornecendo energia de maneira a garantir o equilíbrio de potência em todo o sistema (MOHAN, 2016). No Brasil, a maior parte desses geradores utiliza máquinas elétricas conhecidas como máquinas síncronas.

A máquina síncrona é um dispositivo rotativo que possui um enrolamento trifásico no estator e um rotor com um enrolamento que é excitado por corrente contínua para criar um campo magnético estático (UMANS, 2014). Os rotores das máquinas síncronas podem ser de polos salientes ou de polos lisos. Os rotores de polos salientes se destacam por possuir um espaço variável nas faces polares onde os enrolamentos são construídos, enquanto os rotores de polos lisos apresentam uma distribuição uniforme do enrolamento por toda a superfície do rotor, como ilustrado na Figura 2.11 (MOHAN, 2016).

Uma maneira de identificar um rotor de polos salientes é pelo seu grande diâmetro e comprimento curto, geralmente posicionado verticalmente. Já os rotores de máquinas de polos lisos possuem um pequeno diâmetro, grande comprimento e eixo na posição horizontal, com as bobinas no rotor distribuídas uniformemente. As máquinas primárias do gerador síncrono fornecem potência ao eixo da máquina. Em máquinas de polos salientes, as turbinas possuem alta inércia, como as hidráulicas, caracterizadas por baixa velocidade e muitos polos para atender à frequência de 60 Hz da rede elétrica onde o gerador será conectado (UMANS, 2014).

Por outro lado, geradores de polos lisos são comuns em usinas termoelétricas, onde as fontes primárias de energia são turbinas a vapor ou a gás. Essas turbinas têm baixa inércia rotacional (velocidade muito alta), o que resulta em rotores com poucos polos.

Quando acionado por uma máquina primária, a velocidade de rotação do gerador deve ser mantida constante. A relação entre a frequência da tensão gerada e a velocidade de rotação está relacionada ao número de polos da máquina, conforme mostrado na equação de frequência síncrona (f). Essa relação indica que, para obter um gerador com a frequência padrão da rede elétrica, que no Brasil é de 60 Hz, as máquinas com turbinas de baixa inércia rotacional precisam de um número menor de polos em comparação com as máquinas com turbinas de alta inércia (UMANS, 2014).

Para o estudo da máquina síncrona em regime permanente, é necessário um modelo para o circuito equivalente. Na análise de sistemas elétricos de potência, especialmente em estudos de fluxo de carga, utiliza-se o modelo do gerador baseado em uma máquina de polos lisos. Isso ocorre porque esse circuito permite uma análise adequada das características de desempenho da máquina em regime permanente. O modelo dessa máquina é mostrado na Figura 2.12(a) para sistemas equilibrados, utilizando-se o modelo unifilar de sequência positiva. Este modelo é caracterizado por um gerador em série com uma impedância, que na verdade é totalmente caracterizada pela reatância síncrona da máquina.

Em sistemas elétricos desequilibrados, como os sistemas de distribuição, normalmente são utilizados modelos trifásicos da máquina. Nesse caso, três geradores são conectados em estrela aterrada, com tensões de mesma magnitude e defasadas em 120 graus. Esse modelo é mostrado na Figura 2.12(b), onde também são visualizadas as reatâncias série, representadas por uma matriz trifásica de impedâncias. Na diagonal principal encontram-se os valores das reatâncias série, enquanto os elementos fora da diagonal representam as impedâncias mútuas entre fases (MONTICELLI, 2011).

No nosso estudo, utilizaremos prioritariamente o modelo da Figura 2.12 (a), não somente por ser mais simples mas também porque, sendo o gerador síncrono uma máquina que gera tensões equilibradas, a utilização do modelo unifilar de sequência positiva é o bastante para a análise de sistemas equilibrados, que é o foco desta unidade.

Um ponto importante é que quando o gerador de uma usina é conectado ao sistema elétrico, alguns cuidados devem ser tomados. No ponto comum de conexão, o gerador deve ter a mesma característica quanto à tensão, sequência de fase e frequência do lado da rede que ele será conectado. Em outras palavras o comportamento do gerador deve ser um espelho do comportamento da rede (MONTICELLI, 2011).

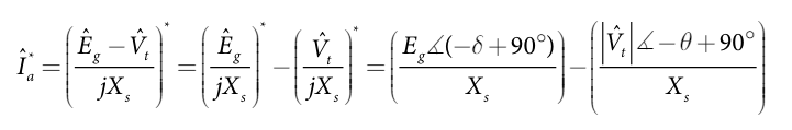
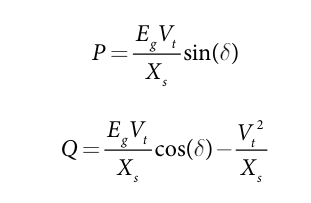
Observando a Figura 2.12 (a), podemos perceber que é possível obter uma característica fasorial da máquina por meio da análise da malha de tensão, onde a tensão terminal ( ˆ Vt ) é dada em função da reatância síncrona e da corrente de armadura, conforme a equação a seguir.

Na equação anterior e na Figura 2.12, a tensão gerada (Eg​) é controlada através da excitação de campo da máquina. O diagrama fasorial resultante indicará se a máquina está operando sobreexcitada (V^ < Eg​) ou subexcitada (V^ > Eg). Em cada caso, o modo de excitação determina como será o fornecimento de potência reativa (Q) juntamente com a potência ativa. Esses diagramas são ilustrados na Figura 2.13 (UMANS, 2014).

Considerando tensão terminal da máquina ( ˆ Vt ) como uma tensão de fase fixa, a potência complexa por fase da máquina é definida na seguinte equação:

A corrente de armadura da máquina corresponde à corrente de saída da máquina, conforme mostrado na Figura 2.12 (a). O conjugado pode ser obtido analisando a equação da corrente, conforme segue:

Para obter a equação da potência complexa (S) basta substituirmos o valor da corrente na equação da potência. Assumindo a referência na tensão terminal, podemos então assumir que q = °0 e assim obtém-se a expressão da potência em função das tensões e da reatância.

Posteriormente, desenvolvemos a equação separando as partes real e imaginária, as equações para a potência ativa, dada em Watts (W), e a potência reativa, dada em Volt-Ampere reativo (VAr), conforme seguintes equações:

Exemplificando

Se um gerador síncrono conectado a um barramento infinito, com reatância síncrona de 0,8 pu, fornece 0,4 pu de potência ativa com um ângulo de carga de 10 graus, determine se essa máquina está subexcitada ou sobrexcitada.

A curva característica da potência de acordo com o ângulo de carga da máquina é mostrada na Figura 2.14. Observe que, pela característica dessa curva, existe uma potência máxima quando o ângulo de carga é igual à 90 graus e esse valor corresponde ao limite de estabilidade estático da máquina (MONTICELLI, 2011; UMANS, 2014).

Com base na equação da potência ativa, podemos observar que, se a tensão terminal é constante, a potência pode ser controlada variando a tensão EgE_gEg​, que, por sua vez, pode ser ajustada adequadamente através da excitação de campo da máquina. Dessa forma, as variações de torque provenientes da fonte primária de potência no eixo podem ser contrabalanceadas ajustando-se adequadamente a corrente de campo, evitando a perda de sincronismo da máquina.

Além do limite de estabilidade estática, outros fatores influenciam a manutenção da estabilidade do gerador síncrono quando conectado a um sistema elétrico de potência. A curva de capacidade do gerador é uma fonte importante de dados para identificar quais máquinas podem atender a uma demanda específica de carga no sistema. Essa curva define uma região de operação segura para a máquina no plano da potência complexa. Um exemplo dessa curva é mostrado na Figura 2.15, onde os limites operacionais são determinados por circunferências desenhadas no plano de potência complexa.

Assim, a máquina síncrona não pode operar em qualquer um dos pontos do plano complexo de potências sem que os valores nominais se excedam.

A região de operação da máquina está restrita a, basicamente, três fatores:

1. O aquecimento da armadura, determinada pela corrente de armadura.

2. O aquecimento do enrolamento de campo, determinado pela corrente de campo.

3. O limite de estabilidade em regime permanente.

Como observamos, a curva de capacidade do gerador síncrono define a região e os limites da potência no plano complexo de potências, com eixos P e jQ, considerando uma tensão terminal fixa. É importante notar que a operação como gerador corresponde à parte da curva em que a potência ativa é positiva.

Além da potência gerada, em estudos e análises do sistema elétrico de potência, devemos também considerar as cargas, que consomem a energia gerada pelos geradores e transmitida pelas linhas de transmissão e distribuição. Assim, uma carga no sistema elétrico de potência pode ser definida de várias maneiras (MOHAN, 2016):

  • Um equipamento conectado ao SEP que consome energia.
  • A energia total consumida por todos os equipamentos conectados ao SEP.
  • Uma parte do sistema elétrico sem a representação total de seus equipamentos, tratada como um único elemento consumidor de potência.

Para estudos de fluxo de carga, é crucial abordarmos o modelo das cargas, que relaciona a potência (ativa e reativa) consumida pela carga. O modelo mais comum utilizado é o de potência constante, onde se assumem os valores das potências ativa e reativa (P e Q) demandadas em cada uma das barras do sistema. Ao adotar uma convenção para a potência elétrica, o sinal da potência na convenção de carga deve ser oposto ao sinal adotado para as potências provenientes dos geradores.

Contudo, existem outros tipos de modelos de carga que podem ser utilizados em estudos, especialmente em sistemas de distribuição de energia. Esses modelos incluem o de impedância constante e o de corrente constante. A seguir, discutiremos melhor cada um deles.

Cargas de impedância constante:

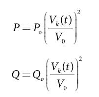
Como o nome sugere, a impedância permanece constante mesmo com as variações que ocorrem na tensão da barra em que a carga está conectada. Alguns exemplos desse tipo de carga incluem capacitores, equipamentos que utilizam resistência para aquecimento e lâmpadas incandescentes. Nesse modelo, a variação da carga é proporcional ao quadrado da tensão.

Cargas de corrente constante:

Esse tipo de carga pode ser modelado conforme mostrado nas equações a seguir, onde a intensidade da corrente e a defasagem angular entre tensão e corrente permanecem constantes, mas o valor da tensão varia. Dessa forma, as variações de potência são proporcionais às variações da tensão. Exemplos desse tipo de carga incluem fornos a arco, lâmpadas fluorescentes e outros tipos de lâmpadas, como as de vapor de mercúrio.

Cargas de potência constante:

Esse modelo é amplamente utilizado em simulações de fluxo de carga em sistemas elétricos de potência, especialmente em sistemas de transmissão de energia. Nesse modelo, as potências ativa e reativa permanecem constantes, independentemente das variações de tensão, conforme mostrado nas equações a seguir:

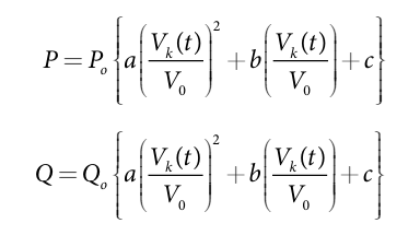
Além desses, outros modelos estáticos de carga são possíveis, como os modelos exponenciais. No entanto, o modelo exponencial não possui um significado físico. Um modelo que apresenta um significado físico, correspondendo a um agregado de cargas que combina os tipos de impedância constante, corrente constante e potência constante, é o modelo ZIP. Esse modelo pode ser representado pelas duas equações a seguir. Ele é amplamente utilizado para caracterizar o comportamento estático de cargas em estudos de fluxo de potência e estabilidade de tensão. Nas equações, os coeficientes a, b e c determinam a porcentagem de cada um dos tipos de carga para a modelagem na barra.

Além desses modelos estáticos podem ser também modeladas cargas dinâmicas que expressam as potências ativa e reativa no tempo de acordo com a dinâmica característica dessas cargas, como os motores elétricos.

Estudo de um turbo-gerador conectado a um sistema elétrico de potência

Descrição da situação-problema:

Imagine que você está trabalhando em uma usina termoelétrica. Nessa usina, existe um turbo-gerador conectado à rede por meio de um barramento infinito. Um barramento infinito é um barramento cuja tensão de operação é fixa e não sofre alterações devido à conexão de uma carga ou um gerador. Esse turbo-gerador é do tipo de polos lisos, e a tensão na barra infinita corresponde à barra de tensão terminal do gerador, podendo ser assumida como igual a 1 pu.

Inicialmente, o gerador opera sobreexcitado, com tensão de excitação 50% acima do valor nominal. O barramento infinito demanda do gerador uma potência ativa de 25% da potência de base do sistema. A reatância síncrona desse gerador é de 1 pu. Nessas condições, os operadores precisam identificar se a máquina está próxima de atingir o ângulo de carga de 90 graus, levando a máquina à instabilidade. Como você faria para identificar o valor do ângulo de carga? Caso a máquina esteja em uma operação segura, qual seria o menor valor de excitação que a máquina poderia operar, de forma a não levar a máquina à instabilidade?

Para determinar o menor valor de excitação que a máquina poderia operar de forma segura, precisamos garantir que o ângulo de carga (δ) não atinja 90 graus. Para operar em um valor seguro, consideramos um ângulo significativamente menor que 90 graus, por exemplo, 30 graus. A equação da potência ativa nos dá:

Portanto, o menor valor de excitação que a máquina pode operar de forma segura, mantendo-se longe do ângulo de carga de 90 graus, é 0,5 pu.

Além disso, considerando sua experiência em sistemas de gestão de risco, você pode elaborar um plano de tratamento para garantir a estabilidade contínua do gerador. Isso incluiria monitoramento contínuo das variáveis críticas e a implementação de controles predefinidos para resposta rápida a qualquer variação inesperada na operação do gerador.

5 Introdução ao Fluxo de Potência

pós compreender como modelar os elementos presentes no sistema elétrico de potência, podemos prosseguir com nossos estudos e avançar para a formulação básica e solução de problemas de fluxos de carga. Este conhecimento é essencial para a análise do sistema elétrico, e você deve ser capaz de aplicar métodos eficientes para essa finalidade.

Basicamente, a solução do problema de fluxo de carga consiste em determinar o estado de operação da rede (tensões nas barras e fluxos de potência nos ramos) para uma dada condição de demanda na rede elétrica. Isso requer a aplicação de teorias de circuitos, como a descrição das equações nodais e de malhas, além da resolução do sistema.

Devido aos objetivos do algoritmo de fluxo de carga, veremos que a implementação dessa ferramenta exige o uso de métodos numéricos iterativos.

Suponha que você trabalha em uma empresa de transmissão de energia elétrica, sendo responsável pelo departamento de operação dos sistemas. Entre suas responsabilidades, está a elaboração de relatórios que determinam e/ou analisam as tensões nas barras, os fluxos de potência pelas linhas, as soluções para fluxo de carga e outras grandezas de interesse.

Recentemente, você recebeu a tarefa de analisar uma rede de 3 barras para obter as condições operativas do sistema. O sistema elétrico em questão, representado na Figura 2.17, é uma rede em anel composta por três barras. Uma dessas barras (barra 3) está conectada a uma carga caracterizada por uma impedância fixa, enquanto as outras duas barras se conectam a equivalentes externos. Esses equivalentes externos são modelados pelo equivalente Norton dos sistemas conectados a cada barra, consistindo em uma fonte de corrente fixa em paralelo com uma reatância. As duas fontes de corrente injetam correntes de 1,38 + j2,72 pu na barra 1 e 0,69 + j1,36 pu na barra 2.

Seu supervisor está particularmente interessado nos resultados relacionados à barra 3. Portanto, você deve apresentar um relatório técnico detalhado, contendo a análise da corrente que passa pela carga conectada na barra 3 e a potência consumida nessa barra. Como você realizaria essa tarefa?

Para solucionar esse problema, você irá estudar nessa seção maneiras de como fazer a formulação básica do problema de fluxo de carga e também quais os possíveis métodos de solução. No entanto, será necessário muito empenho, pois trata-se de uma etapa crucial para o perfeito entendimento dessa ferramenta.

A análise de um sistema elétrico de potência nem sempre envolve o sistema completo. Pode ser necessário analisar apenas uma parte específica, como uma linha de transmissão ou um segmento do sistema com algumas barras. Visto que essa parte do sistema não opera de forma isolada, é crucial conhecer detalhadamente as informações pertinentes à seção a ser analisada (como parâmetros de linhas de transmissão, transformadores, estados de chave, geradores, etc.) e entender o comportamento da rede externa à área em foco. A Figura 2.18 ilustra esse conceito. Na Figura 2.18 (a), todo o sistema é considerado. Entretanto, a área de análise pode ser restrita e modelada separadamente, conforme mostrado na Figura 2.18 (b).

Com esse conhecimento e o modelo dos componentes do sistema elétrico de potência que vimos nas últimas seções, iremos conhecer os fundamentos de como analisar os sistemas elétricos de potência. Essa análise consiste basicamente em resolver o problema de fluxo de potência (ou fluxo de carga) da rede, ou seja, obter as condições de operação da rede tais como tensões nas barras e fluxos de potência nos ramos, em função da topologia da rede e da demanda e geração de potência elétrica. Faremos a análise sempre em regime permanente, ou seja, quando os estados das chaves, carga e geração forem bem definidos de forma que não existam oscilações ou perturbações que afetem o resultado final. Entretanto, sabemos que os sistemas elétricos são sistemas dinâmicos, ou seja, as variações em parâmetros da rede podem conduzir a variações de outras grandezas, levando a períodos transitórios que precedem uma nova condição de operação. No entanto, uma vez que os novos valores das grandezas da rede se estabilizam, o fluxo de carga deve conseguir processar as informações para saber se o sistema entrará em um novo ponto de operação em equilíbrio após o transitório, ou, de outra forma, entrará em instabilidade. Esse conceito está ilustrado na Figura 2.19:

Assim, nos concentraremos apenas na análise estática da rede, que desconsidera o período transitório. Para isso, faremos uso de equações algébricas e de análise de circuitos, podendo ou não utilizar métodos numéricos. As equações algébricas poderão ser do tipo linear ou não linear. Basicamente, para resolver o problema do fluxo de potência adotamos os seguintes passos:

1. Modelamento dos componentes da rede.

2. Obtenção do sistema de equações (ou inequações) algébricas.

3. Escolha do método de solução.

4. Obtenção do estado de operação em regime permanente.

O fluxo de potência é uma ferramenta essencial tanto na operação quanto no planejamento de redes elétricas. Durante a operação de sistemas de transmissão, análises de segurança são realizadas por meio de várias simulações de fluxo de potência para determinar o estado da rede após contingências. Se forem detectadas violações nos limites de operação da rede, ações corretivas ou preventivas podem ser implementadas.

No contexto de planejamento, as alterações na configuração da rede são geralmente realizadas com estudos de aumento de demanda, utilizando a ferramenta de fluxo de carga.

Começaremos com o estudo de uma rede mais simples e, em seguida, veremos como estender a análise para sistemas mais complexos.

Exemplificando

Considere o modelo da rede radial a seguir, formada por uma linha de transmissão e uma Carga na barra 2, conforme mostra a Figura 2.20.

Determine a potência necessária na barra 1 para que o balanço de potência ocorra e a tensão na barra 2 para o atendimento dessa carga.

Resolução: 

A Tensão na barra 1 pode ser fornecida, por exemplo, por um transformador elevador na subestação de uma usina, mantida constante por meio de um complexo sistema de controle.

As Leis de tensão de Kirchhoff para analisar esse sistema. Assim, deveremos ter que:

No exemplo resolvido, as soluções negativas obtidas para V2 não têm significado para o problema da análise do sistema, então, podem ser desprezadas. Para as soluções positivas, vamos supor que a potência ativa da carga na barra 2 seja variável e que a potência reativa seja nula, poderemos construir o seguinte diagrama baseado na equação obtida no exemplo:

Na curva, podemos ver duas regiões, uma estável e uma instável. Na região estável, os pontos representam o comportamento da rede como o esperado fisicamente. Por exemplo, se a potência da barra 2 aumentar além do caso base, circulará mais corrente pelo circuito e, dessa forma, a queda de tensão na linha aumenta, levando a uma menor tensão na barra 2. Na região instável, o comportamento não é compatível com o esperado fisicamente.

Essa análise inicial que fizemos retrata características importantes quando, por exemplo, desejamos estudar o fluxo de potência em uma linha de transmissão (análise de 2 barras). Entretanto, quando se tratam de redes maiores, a análise algébrica começa a ficar difícil de ser realizada analiticamente, de forma que será necessário recorrer a métodos numéricos de resolução. Antes, porém, é necessário desenvolver todo o modelo matemático do sistema. Para iniciar o desenvolvimento do modelo matemático que descrever a rede é necessário determinar a matriz de admitância nodal da rede (Ybus ). Essa matriz constitui uma matriz quadrada cuja ordem é igual ao número de barras do sistema (tratando-se de um sistema de transmissão em que a análise é feita considerando o modelo monofásico da rede). Ou seja, se o sistema tem N barras, então, a matriz de admitâncias terá dimensão N N´ , sendo composta pelas admitância equivalentes em cada um das posições.

A formulação dessa matriz é feita da seguinte maneira:

1. A admitância da impedância conectada entre um nó k e a referência (impedância shunt) é considerada no elemento principal da matriz (k, k);

2. A admitância da impedância conectada entre os nós k e m são acrescidos no elemento principal dessas barras (m, m) e (k, k) e o negativo dessas admitâncias compõe os elementos (m, k) e (k, m).

 

 

Assim, podemos equacionar as correntes em função da matriz de admitância nodal conforme mostrado na equação a seguir, onde, sendo k e m as barras do sistema, teremos as adimitânicas formadas pelos elementos de condutância (Gkm ) e susceptancias ( Bkm ), ou ainda Ykm = Gkm + jBkm

É importante lembrar que quando as admitâncias, condutâncias e susceptâncias estiverem apresentadas em letras minúsculas ( ykm , gkm e bkm) estamos falando dos valores das linhas, e quando as admitâncias, condutâncias e susceptâncias estiverem em letras maiúsculas (Ykm , Gkm e Bkm) estamos nos referindo aos elementos da matriz de admitância.

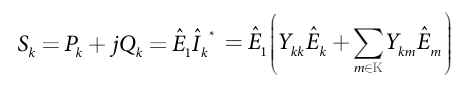
No problema de fluxo de carga, na prática são especificadas as injeções de potência (P e Q) e não as correntes. Assim, partindo da formulação da equação nodal das correntes, para uma determinada barra k, sendo K o conjunto de barras conectadas a k, temos a equação da corrente conforme segue:

Ainda conseguimos calcular a injeção de potência nessa barra fazendo:

Desenvolvendo essa equação, tem-se as equações para a potência ativa e reativa:

Em caso de sistemas com um grande número de barras, o modelamento da rede por meio da matriz de admitâncias e das equações nodais de corrente e potência são preferencialmente utilizadas. No entanto, a solução das equações simultâneas de fluxo de potência exige o uso de técnicas iterativas até mesmo para os sistemas de energia mais simples. Essas técnicas iterativas consistem em métodos numéricos de solução que foram desenvolvidos ao longo do tempo para solucionar o problema de fluxo de carga. Para cada aplicação existem os métodos mais apropriados. Os fatores considerados na escolha são, por exemplo, a precisão da solução, se existem controles de limites ou não, se a simulação é on-line ou off-line, se tratam-se de casos simples ou casos múltiplos, entre outros.

Além disso, os algoritmos e métodos de solução mais utilizados consideram a velocidade do método, principalmente em redes de grande dimensão, mas também em aplicações de tempo real ou casos de simulações de múltiplos cenários; o espaço de memória utilizado; a confiabilidade do método frente a problemas mal condicionados, em tempo real, ou em simulações de casos de contingência; a habilidade para incorporar características especiais, como o controle de limites, representação de equipamentos, geração distribuída, entre outros; e também a facilidade para manutenção e promoção de melhorias no algoritmo.

Quando modelamos um sistema elétrico de potência precisamos atentar para a característica das barras. Normalmente, há quatro grandezas básicas relacionadas a cada barra da rede: o módulo de tensão, o ângulo e as potências, ativa e reativa, injetadas na barra. Conforme mostra o quadro a seguir, dependendo da informação conhecida dá-se uma classificação diferente para a barra. No entanto, para ser devidamente analisado, um sistema deve sempre possuir uma referência de tensão, ou seja, uma barra adotada como referência na qual o módulo de tensão e o ângulo são conhecidos. A essa barra dá se o nome de barra SLACK. Ela é responsável, ainda, pelo balanço de potência no sistema.

Existem ainda outras variações e tipos de barras, mas as apresentadas na tabela são as principais. A formulação básica do problema de fluxo de carga deve ocorrer independentemente da tipologia da rede e de como os dados são apresentados. A sequência de passo para sua definição consiste na determinação dos valores dos elementos passivos na rede, determinação dos valores complexos de cada carga, determinação das especificações e restrições do gerador de energia, descrição do modelo matemático que define o fluxo de energia na rede, e a resolução das equações.

Exemplo prático:

Digamos que você foi designado a resolver um sistema de responsabilidade de empresa de transmissão onde trabalha, em que seu supervisor está interessado nos resultados ocorridos na barra 3. Com base na Figura 2.17, que ilustra o sistema em questão, é possível calcular a matriz admitância e na sequência encontrar todas as correntes, potências ativas e reativas que fluem no sistema.

Como vimos, a matriz admitância ( Ybus ) é uma matriz simétrica e quadrada de ordem n, onde n é o número de barras do sistema, nesse caso teremos uma matriz 3x3, que é obtida obedecendo as equações a seguir:

Dessa forma, a matriz admitância do sistema é:

Para calcular a tensão nas barras segue-se as equações abaixo:

A partir desses dados, foi possível calcular todas as correntes, potências ativas e reativas que fluem no sistema. Nas Figuras 2.23 e 2.24 foram convencionados os nomes e sentidos das correntes e potências e nos Quadros 2.2 e 2.3 são apresentados os seus respectivos valores.

No Quadro 2.2, a somatória das correntes das fontes é igual a somatória das correntes das cargas, conforme a lei das correntes de Kirchhoff. Já para o caso das potências, Quadro 2.3, a somatória das potências das fontes é igual a somatória das potências das cargas, juntamente das perdas de potência nas linhas entre as barras.

Mencione em seu relatório seus resultados e análises, comente sobre a tendência da potência ativa fluir da barra de maior ângulo de tensão para a barra de menor ângulo de tensão, bem como a potência reativa de fluir da barra de maior módulo de tensão para a barra de menor módulo de tensão. Ressaltando os valores das correntes e potências injetadas na barra 3, observe que se trata de um valor negativo, pelo fato da barra estar na condição de consumo em vez de geração. Também é importante destacar que as potências efetivas injetadas na barra 1 e barra 2 correspondem à soma da potência fornecida pela fonte, subtraindo a potência da carga da respectiva barra. Por exemplo, a potência injetada na barra 1 é igual a potência da fonte (1,3486+j2,8348), subtraindo a potência da carga (0+j0,2,1187), totalizando (1,3486+j0,7161).

6 Análise da Capacidade Térmica de Uma Linha de Transmissão

Descrição da situação-problema

Imagine que a sua empresa foi contratada para analisar uma linha de transmissão de 90 Ohms conforme mostrado na Figura 2.24. Essa linha está conectada entre dois geradores que operam cada um em valor nominal de tensão. A linha tem uma capacidade térmica de 62,5 MW, ou seja, essa é a potência máxima que pode ser transportada pela linha de transmissão de forma que as perdas joule não comprometam o funcionamento da linha. Sua tarefa nessa análise é determinar qual é a máxima abertura angular entre os geradores de forma que não se exceda essa capacidade de transferência de potência da linha. Como você realizaria essa tarefa? Como você deve equacionar o sistema e quais as variáveis e envolvidas?

Resolução da situação-problema

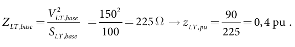
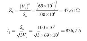
Primeiramente, devemos obter um sistema equivalente pu para toda a rede compreendendo as impedâncias dos geradores, dos transformadores e da linha de transmissão. Inicialmente, podemos definir a potência de base do sistema como sendo 100 MVA, portanto, as impedâncias percentuais dos geradores permanecem as mesmas e as impedâncias em percentuais dos transformadores precisam passar por uma mudança de base, ou seja:

Para a linha de transmissão temos que converter os valores de ohms para pu:

Basta, então, somarmos as impedâncias e teremos:

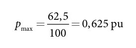
O valor da potência ativa máxima em pu que pode trafegar na linha será:

Logo podemos calcular a máxima abertura angular fazendo:

Logo, essa será a máxima abertura angular possível.