Sistema de combate à incêndio

Cozinheiro - Taifeiro

1 Sistema de combate à incêndio

Introdução

A motivação para o desenvolvimento desse assunto para o projeto de fim de curso porque abrange a formação profissional: em normatização aplicáveis às unidades flutuantes que operam na exploração de Óleo de Gás no Brasil. Esse tema tem o objetivo verificar os cálculos do projeto executivo se estão atendendo as normas da Autoridade Marítima Brasileira.

Há diversas maneiras de construir uma plataforma para exploração de petróleo no mar. Uma delas a detentora dos poços produtores, o mais comum, é afretar as unidades. Então essas empresas lançam juntamente com o edital de licitação, os projetos básicos, com os requisitos mínimos. A parte de verificação e detalhamento do projeto, geralmente é feita pela empresa que ganhou a licitação. Ao final do detalhamento, obtêm-se as características dos equipamentos a serem comprados.

Essas empresas são, geralmente, estrangeiras e privadas. Essas como visam apenas em atender o mínimo, devido aos custos, às vezes acabam cometendo equívocos de dimensionamento de um determinado sistema. Na maioria dessas empresas não se atentam pelas normas nacionais, e, podem vir a cometer erros de interpretação que levam a uma sucessão de equívocos, causando prejuízos cessantes.

Como é o objeto desse estudo, o dimensionamento do sistema de combate a incêndio. Há diversos erros, desde os cálculos básicos até o dimensionamento final. Então foi proposto reanalisar as condições originais e ao final apresentar uma possível solução.

2 Objetivo

As plataformas marítimas que operam nas Bacias petrolíferas brasileiras, em sua maioria são construídas no exterior. Entretanto, muitas dessas empresas não levam em conta as normas brasileiras, prestando apenas na planta de processo para uma plataforma de produção, ou, a planta de perfuração no caso de embarcações tipo sondas. E deixam de lado, com isso, várias unidades ficam dias ou meses paradas em algum estaleiro nacional para cumprir tais requisitos. Então, após é possível iniciar as suas operações, isso tem gerado prejuízos cessantes para a empresa.
Esse trabalho de fim de curso tem o objetivo de mostrar essa perspectiva, quanto ao atendimento das regras nacionais. O assunto tratado será o sistema de combate a incêndio do heliponto de uma plataforma de estocagem de petróleo produzido.
O heliponto é a parte fundamental da unidade, pois é por onde se chega e se evacua em caso de abandono controlado. Há diversos requisitos técnicos, ditados em normas da Autoridade Marítima e pela Força Aérea Brasileira, para se colocar um heliponto operacional. Uma das mais importantes regulamentações é verificada pela Marinha do Brasil, e o sistema de combate a incêndio é essencial para manter a integridade estrutural da unidade, evitar que o incêndio se propague em caso de acidente com aeronave no heliponto. Para isso é preciso que esse sistema seja projetado conforme as normas.
Esse projeto mostra um caso real, a unidade não foi projetada por engenheiros estrangeiros sem conhecimento das normas nacionais. Face disso foi subcontratada uma empresa brasileira com amplo conhecimento em normas e regulamentos, e foi feita uma verificação física e foi aconselhada que fizesse a modificação, uma vez que a plataforma ainda está em fase de construção, devido as facilidades do estaleiro, com um custo muito mais baixo que se fosse feito no Brasil devido a falta de espaço nos estaleiros brasileiros, que estão completamente cheios de encomendas.
Então, o objetivo desse trabalho é demostrar através de cálculos, se o sistema original continuará atendendo tanto os requisitos das normas nacionais, quanto das internacionais, devido à modificação a ser feita no sistema de combate a incêndio da plataforma flutuante marítima.
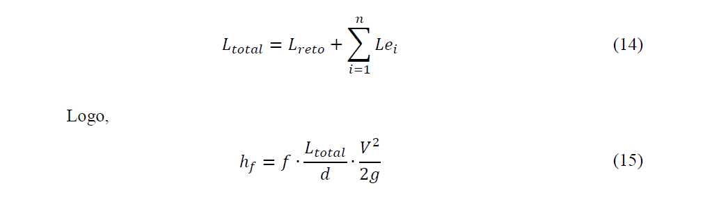
O primeiro passo consiste em recalcular todas as perdas de cargas localizadas e em trechos retos segundo o projeto original, para verificar se há algum erro de cálculos ou inconsistências. Feito isso, traça-se o gráfico do sistema, contra a curva da bomba instalada, e verifica-se o ponto de operação.
Em seguida, propõe-se uma modificação para atender a norma nacional, e, então calcula-se novamente todas as perdas de carga localizadas e de trechos retos. E traçando a nova curva do sistema contra a curva da bomba instalada, verifica-se o novo ponto de operação.
Logo, conclui-se se a bomba continuará ou não fornecendo a vazão requerida pelas normas, com a modificação das tubulações e acessórios.
Para os cálculos foram levado em conta os piores casos, com os dois canhões de espuma e dois hidrantes operando na vazão máxima, ou seja, totalmente abertos.

3 Mecânica dos Fluidos e centrífugas

Mecânica dos Fluidos

É o estudo dos fluidos em movimento (da dinâmica dos fluidos) ou em repouso (estática dos fluidos) e dos efeitos subsequentes do fluido sobre os contornos, das quais podem ser superfícies sólidas ou interfaces com líquidos.

Escoamento laminar

É definido como aquele no qual o fluido se move em camadas, ou lâminas, uma camada escorregando sobre a adjacente havendo somente troca de quantidade de movimento molecular.

Escoamento turbulento

É aquele no qual as partículas apresentam movimento caótico macroscópico, isto é, a velocidade apresenta componentes transversais ao movimento geral do conjunto ao fluido.

Regime permanente

As propriedades de um determinado ponto, não variam com o tempo. Mas podem variar de um ponto para outro do fluxo, porém se mantêm constantes em cada ponto imóvel do espaço, em qualquer momento do tempo.

Regime uniforme

Se todos os pontos do espaço têm mesma trajetória (em magnitude e direção) que possuem a mesma velocidade em um instante qualquer.

Escoamento compressível

Quando o fluido varia de volume no sistema e a massa específica não é constante. A densidade do fluido muda em relação à pressão.

Escoamento incompressível

Se não houver a variação de volume no sistema e a massa específica não variar. Em geral o escoamento de líquidos é incompressível.

4 Conceitos básicos de mecânica dos fluidos

Equação da continuidade

É uma equação de conservação da massa. Segundo o teorema de transporte de Reynolds, estabelece uma relação entre as taxas de variação do sistema, as integrais de volume e de superfície do volume de controle. Por outro lado, as derivadas temporais do sistema estão relacionadas às leis básicas da mecânica. Fazendo as devidas simplificações encontra-se na forma diferencial é dada por:

Teorema de Benouilli para tubulações

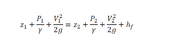
Descreve o comportamento de um fluido movendo-se ao longo de uma linha de corrente e traduz para os fluidos o princípio da conservação da energia. Foram feitas diversas hipóteses do ser um fluido ideal (sem viscosidade nem atrito) em regime de circulação por um conduto fechado, a energia que possui o fluido permanece constante ao longo de seu percurso. E não levando em conta a perda de energia devido ao trabalho de atrito, viscosidade e turbilhonamento. Então para os líquidos reais foi feita a adaptação da Equação de Bernoulli, introduzindo um termo de perda de carga, a equação é dada por:
Máquinas de Fluxo
Tubulações industriais
Perda de carga em regime turbulento
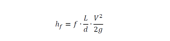
O cálculo da perda de carga em regime turbulento não é obtido diretamente de análise de exclusivamente teóricos, sendo necessário obter dados experimentais. A forma mais comum utilizada é dada pela função de Darcy-Weisbach:
Onde o fator é obtido de fórmulas teórico-experimentais ou de gráficos e é uma função do número de Reynolds e da rugosidade relativa da tubulação. Por exemplo, o Ábaco de Moody, pode-se obter o .
As fórmulas teórico-experimentais:

Perdas de cargas localizadas

Todos os sistemas de tubulações são inerentes os acessórios, que são entrada e saída, redutores ou expansores, curvas ou joelhos, tês, válvulas, etc, gerando perdas de carga que podem ser significativas. Métodos mais utilizados são: Método Direto e Método do Comprimento Equivalente.

Método Direto

A perda de carga localizada é determinada pela expressão:
Onde é o coeficiente de perda de carga localizada, que é um coeficiente experimental tabelado para cada tipo de acessório ou acidente. Cada fabricante fornece os valores de de cada acessório, que podem variar de um fabricante para outro.
Esse coeficiente sofre influência do coeficiente de atrito, do comprimento e do diâmetro, mesmo que em certos casos, podem ser constantes, quando um desses parâmetros variar.

Método do comprimento equivalente

Esse método consiste transformar o acessório ou acidente em um trecho reto, isto é, reproduzir as mesmas condições, mesma perda de carga de um acessório comparada à perda de carga em um trecho reto equivalente. Esses valores podem ser obtidos de catálogos de fabricantes, ábacos ou em livros.
O cálculo inicial é determinar as quantidades e tipos de acessórios. Em seguida, através de tabelas obtêm-se os comprimentos equivalentes de cada acessório, então, somam-se ao comprimento dos trechos retos:
Para ambos os métodos os valores de ou , para instalações industriais, devem ser acrescentado 15%, de modo a corrigir os valores devido ao envelhecimento, por exemplo.
Associação de tubulações
Tubulações em série
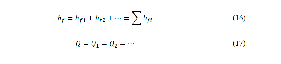
Para se determinar o comprimento equivalente ao sistema de tubulações em série, deve-se considerar que as perdas de carga é a soma de cada trecho e a vazão é constante nos dois trechos, ou seja:
Tubulações em paralelo
Bomba centrífuga
Curva H (Head) x Q (vazão)
O levantamento das curvas teóricas de uma bomba centrífuga é feita segundo a equação básica de Euler, fazendo as devidas transformações de transformar as velocidades em vazões, de modo a obter uma equação do Head em função da vazão.
As curvas reais de funcionamento, as curvas características da bomba, são obtidas a partir das curvas teóricas, por meio da inclusão das perdas inerentes ao sistema.

5 Curvas de potência absorvida x vazão

A curva de potência absorvida pela bomba é definida pela inclusão de outras perdas, além das perdas hidráulicas. Tais como, o rendimento volumétrico, rendimento mecânico. O rendimento hidráulico se refere que uma pequena parte da vazão bombeada pelo rotor não atinge a linha de descarga, o que é recirculada para a sucção da bomba. Essa perda pode representar cerca de 2% para bombas grandes e 10% para bombas pequenas. Então a potência que a bomba absorve do acionador, que pode ser uma turbina, motor elétrico, motor a diesel, etc, que é calculada por:

Curva de (rendimento total) x Q (vazão)

O rendimento total é calculado levando em conta os rendimentos volumétricos e mecânicos, além do rendimento hidráulico.

Apresentação das curvas características das bombas

Altura manométrica do sistema

É a energia por unidade de peso que o sistema solicita para transportar o fluido do reservatório de sucção para o reservatório de descarga, com uma determinada vazão. Essa energia será fornecida por uma bomba, que será o parâmetro fundamental para o selecionamento da mesma. É importante notar que em um sistema de bombeamento, a condição requerida é a vazão, enquanto que a altura manométrica total é uma consequência da instalação.

Cálculo da altura manométrica de sucção ou “Suction Head” ( )

É a quantidade de energia por unidade de peso já existente no flange de sucção para uma determinada vazão. Entretanto, existem diversas considerações a serem feitas quanto à sucção, por exemplo, se o tanque é pressurizado ou não, se a altura estática é positiva ou negativa.

A altura estática depende do referencial, que pode ser colocando em qualquer lugar. Geralmente é colocado no nível de sucção da bomba. Uma das formas de se calcular é utilizando o Teorema de Bernoulli entre dois pontos, um na superfície da água e o outro no flange de entrada da bomba.

Reservatório pressurizado com altura estática positiva

A altura manométrica de sucção para um reservatório pressurizado ( ps), com altura estática de sucção ( zs) positiva e perda de carga na linha e acessórios (hfs ).

Reservatório aberto com altura estática negativa

Cálculo da altura manométrica de descarga ou “Discharge Head” (hd )

É a quantidade de energia por unidade de peso que deve existir no flange de descarga para que o fluido alcance o reservatório de descarga nas condições determinadas pelo projeto do sistema, como a vazão e pressão. Analogamente aos cálculos da altura manométrica de sucção, primeiramente pode-se utilizar o Teorema de Bernoulli entre o ponto do flange de descarga e o ponto final da linha, então:

Reservatório pressurizado com descarga no fundo

Reservatório não pressurizado com descarga no fundo

Reservatório não pressurizado com descarga livre

Reservatório não pressurizado considerando o efeito sifão com descarga livre

Reservatório não pressurizado considerando o efeito sifão com descarga afogada

Reservatório não pressurizado com altura estática negativa

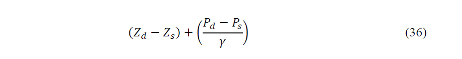
Cálculo da altura manométrica total

6 Determinação da curva do sistema

A curva do sistema é um gráfico que mostra a variação da altura manométrica total com a vazão, ou seja, o que demonstra a variação de energia por unidade de peso que o sistema solicita em função da variação da vazão. Então, pode-se dividir a Eq. (35) em duas partes:
Uma parte estática, que não dependem da vazão, mas somente das condições dos reservatórios de sucção e de descarga, e, das alturas estáticas:

Determinação do ponto de trabalho em função do sistema

Calculada a curva do sistema é possível, então, escolher uma bomba. Há diversas maneiras de selecionar uma bomba. Deve-se considerar que a bomba poderá trabalhar na faixa de vazão calculada no projeto, ou determinada em normas. Deve-se escolher uma bomba que se aproxima da vazão desejada que consiga fornecer o “Head” necessário para vencer a energia do sistema. A bomba deve trabalhar, de preferencia, próximo ao seu rendimento máximo, caso contrário estaria perdendo dinheiro, com uma bomba que consome muita energia para se conseguir uma determinada vazão.
Para isso traça-se a curva do sistema (H x Q), “Head” x Vazão, sob a curva da bomba, na intercessão será o ponto de trabalho. Logo, é obtido o valor da vazão de operação, para ser comparada aos valores de projeto, se a bomba atende ou não. O “Head” de operação, a potência absorvida e o rendimento da bomba no ponto de trabalho.

7 Unidades marítimas

Breve histórico

A primeira plataforma flutuante de perfuração foi construída em 1947, nos Estados Unidos, essa unidade foi construída tendo base nos equipamentos de unidades terrestres, que sofreram algumas adaptações para o ambiente marinho. Anos se passaram, as plataformas de petróleo estão cada vez mais modernas, é o “estado da arte” em tecnologia. Hoje, há plataformas automatizadas, que fazem quase todo o processo de perfuração, sem a intervenção humana. E ainda, plataformas de produção que podem ser operadas remotamente, de um centro de operações em terra.
Na exploração de petróleo no continente, em terra, é feito por sondas de perfuração, unidades de distribuição e de processamento do petróleo. Entretanto, para o ambiente marinho, fora da costa, tiveram que ser feitas diversas adaptações, e, novas tecnologias tiveram que ser desenvolvidas. Devido à complexidade de se extrair o petróleo e manter as pessoas trabalhando em um ambiente hostil, sujeito as condições adversas do clima e do mar.
No Brasil, a primeira plataforma feita no País para explorar o petróleo no mar foi em 1968, a PETROBRAS, lançou a plataforma auto-elevável, que perfurou poços em Sergipe.

8 Semissubmersíveis

São plataformas flutuantes, que possuem flutuadores ou “pontoons”, em inglês. Esse tipo de unidade pode ter ou não um sistema de propulsão.
Sem propulsão, que permanecem ancoradas como as FPSOs, são geralmente empregadas para a instalação de módulos de produção, como não possuem tanques para armazenamento do petróleo processado, precisam trabalhar em conjunto com uma plataforma tipo FSO.
As plataformas semissubmersíveis que possuem um sistema de propulsão, geralmente tem uma planta de perfuração, pois não mais estáveis, que os navios sonda.
Existem outras variantes, como a instalação de módulos de acomodação, chamados “flotéis”, que são usadas somente para alojamento das pessoas. Ou ainda, podem possuir equipamentos ultra especializados como guindastes de alta capacidade para a instalação de equipamentos submarinos, por exemplo.

Tension Leg Platform (TLP)

Unidades flutuantes, que podem possuir características de uma plataforma semissubmersíveis ou com outro tipo de geometria, mas o diferencial são ancoradas no leito marinho, por tendões, que são tracionadas. No Brasil, no final de 2013 foi instalada a primeira plataforma desse tipo, que terá a função de bombear o petróleo do poço até a plataforma tipo “FPSO”.

Normas e regulamentos aplicados às plataformas “offshore”

Em virtude à complexidade das operações “offshore”, novas normas e regulamentos tiveram que ser criadas ou adaptadas ao ambiente marinho, pois as normas industriais existentes são válidas para atividades em terra, entretanto vários itens foram aproveitados e modificados, dando um grau mais severo.
Internacionalmente, essas normas e regulamentos foram criados pela Organização Marítima Internacional, “International Maritime Organization”, ou simplesmente IMO, sigla em inglês. Essa Organização é uma agência especializada das Organizações das Nações Unidas (ONU), que possui a sede em Londres. A IMO possui uma Assembleia, um Conselho, diversos Comitês e Subcomitês Técnicos que cuidam de vários assuntos, tais como, salva guarda da vida humana no mar, proteção do meio ambiente marinho, combate a incêndio e outras.
A Organização foi criada com intuito de padronizar e criar requisitos mínimos de segurança para as pessoas que trabalham a bordo das embarcações. Os Armadores, os donos das embarcações, são obrigados a seguir as normas, devido à obrigatoriedade do registro de uma embarcação. Esse registro é feito em um País, que é denominado Bandeira. O Estado de Bandeira é a Administração das embarcações. O Panamá, Ilhas Marshall, Libéria, Vanuatu são alguns exemplos de Bandeiras.
Uma vez registrado em uma Bandeira, a embarcação deve cumprir todas as normas e regulamentos as quais a Bandeira é signatária. O cumprimento não é imediato a embarcações têm um prazo para se adequarem as novas regras. Caso não sejam cumpridos tais requisitos à unidade poderá até perder o seu registro, temporariamente, o que é muito grave, gerando prejuízos cessantes ao Armador. Devido às empresas afretadoras ou operadoras não contratam embarcações que não possuem tal registro em dia.
As normas não foram criadas e nem adotadas de imediato pelos Países membros da IMO, mas, somente, após diversos acidentes com grandes fatalidades e de grande repercussão mundial, que a Organização Marítima Internacional estabeleceu prazos para o cumprimento dos requisitos de segurança. Seguem alguns exemplos de acidentes, que fizeram que os Armadores levassem seus navios para os estaleiros para adaptação, caso contrário, não poderiam operar as suas embarcações.
No Brasil, existe uma norma somente para helipontos “offshore”, que é a Normas da Autoridade Marítima número 27 (vinte e sete), ou NORMAM-27 como é mais conhecida. Essa norma no passado era uma adaptação das normas brasileiras de helipontos militares, que possuía um capítulo dentro das Normas da Autoridade Marítima número 01 (um), o capítulo 6 (seis) ditava algumas regras de construção e operação de helipontos marítimos. Anos se passaram, após diversos Seminários internacionais e debates técnicos foi criada uma norma exclusiva para helipontos marítimos, que tem o objetivo alinhar com as normas internacionais.
Mas infelizmente, a norma nacional não está igual a norma internacional, e, isso tem prejudicado os armadores, que precisam adaptar o seu heliponto as normas nacionais, toda vez que a embarcação venha a operar em águas brasileiras. Segundo o SOLAS, as normas do País costeiro é soberano perante as embarcações que venham a operar nas suas jurisdições. Ou seja, além das normas internacionais que é requerido pela Bandeira, as normas nacionais do País costeiro também devem ser respeitadas antes de iniciar a operação.
A verificação é feita pela Marinha, se os parâmetros mínimos das normas estão sendo cumpridas, e, só após tal inspeção com resultado satisfatório, serão autorizados a iniciar a operação. Caso contrário, não poderão operar ou simplesmente sair, se for constatado uma deficiência muito grave, a embarcação estará detida, até saná-la.

Heliponto, “helicopter deck” ou simplesmente “helideck”

É o local destinado ao pouso seguro, onde os parâmetros de segurança devem ser atendidos, são verificados durante a fase de projeto, e, ao final antes de entrar em operação sofre uma vistoria feita pela Marinha para verificar tais parâmetros, se aprovado será autorizado pela Autoridade Marítima, representada pela Diretoria de Portos e Costas (DPC), e por fim a Agência de Aviação Civil (ANAC) emitirá as Portarias autorizando as operações aéreas.

Escolha do tamanho do heliponto

A área a ser protegida pelo sistema de combate a incêndio é o heliponto ou “helideck”, em inglês, que possui uma área que pode acomodar um diâmetro (D), no caso desse estudo é igual a 23 m. O parâmetro “D” é escolhido em função do maior helicóptero a operar no heliponto, ou seja, o comprimento total de um helicóptero da ponta do rotor principal até a ponta do rotor de cauda.

9 Sistema de combate à incêndio em heliponto de plataformas marítimas

Todas as unidades industriais possuem um sistema de combate a incêndio, que monitora e combate o princípio de incêndio. Segundo a teoria básica do fogo, que é composta por três elementos fundamentais, o combustível, o comburente (ar) e a fonte de calor. Se um desses elementos forem removidos não haverá fogo.
Dependendo de cada situação, utiliza-se uma técnica de combate a incêndio, em plataformas marítimas utilizam-se basicamente duas técnicas fundamentais: primeira é a eliminação do comburente, o ar, por isso que todas as plataformas possuem aletas de ventilação são dispositivos automáticos ou manuais, que fecham as entradas de ar. O segundo sistema é a eliminação do calor, feita através de chuveiros automáticos ou “sprinklers”, em inglês, que são dimensionados seguindo as regras internacionais.
O combate a incêndio varia conforme a área a ser protegida, isto é, como é o ambiente, que tipos de equipamentos existem, por exemplo. Se possuir dispositivos elétricos utiliza-se o sistema de CO2 ou o pó químico. Há normas internacionais para o dimensionamento, as escolhas dos tipos e da quantificação dos equipamentos de combate a incêndio devem ser instaladas em determinadas áreas. Em helipontos marítimos são utilizados o sistema de combate a incêndio com espuma, uma mistura de água salgada e líquido gerador de espuma (LGE), com concentração de três por cento, isto é, para cada cem litros de solução são necessários noventa e sete litros de água e três litros de líquido gerador de espuma.

Tipos de sistemas de combate a incêndio

O sistema primário de combate a incêndio em plataformas é o de água com ou sem espuma. A espuma de combate a incêndio é uma massa de bolhas pequenas de densidade menor que a de muitos líquidos inflamáveis e menor que a densidade da água. Trata-se de um agente que cobre e resfria, produzido através da mistura do ar com uma solução que contém água e espuma mecânica.
30 5.2. Sistema de combate a incêndio em plataformas marítimas 5.2.1. Tipos de sistemas de combate a incêndio O sistema primário de combate a incêndio em plataformas é o de água com ou sem espuma. A espuma de combate a incêndio é uma massa de bolhas pequenas de densidade menor que a de muitos líquidos inflamáveis e menor que a densidade da água. Trata-se de um agente que cobre e resfria, produzido através da mistura do ar com uma solução que contém água e espuma mecânica. Figura 30 – Treinamento de combate a incêndio com espuma Tetraedro da espuma, a espuma combate incêndios de líquidos inflamáveis ou combustíveis de quatro maneiras:
Inicialmente foi desenvolvido para ser usado em hidrocarbonetos na concentração de 3% e para solventes polares na concentração de 6%. É compatível com pó químico seco e pode ser utilizado com água doce ou salgada. Atualmente também está disponível na concentração de 3% tanto para hidrocarbonetos como para solventes polares e também na concentração de 1% para hidrocarbonetos e 3% para solventes polares, trazendo ainda mais vantagens na utilização, pois estes novos LGE’s possibilitam minimizar o estoque enquanto a capacidade de extinção é maximizada.
Os LGE’s do tipo AFFF são compatíveis com pó químico seco e podem ser usados com água doce ou salgada. Trata-se da combinação de composto de tensoativos fluorados e hidrocarbonetos, polímero de alto peso molecular e solventes. Solventes polares como o álcool podem destruir espumas que não são resistentes ao álcool. O LGE Formador de Filme Aquoso Resistente a Álcool (AFFF/ARC) age formando um filme aquoso sobre o combustível de hidrocarboneto. Quando usado com solventes polares, forma uma membrana polimérica resistente que separa a espuma dos combustíveis, e previne a destruição do colchão de espuma.
As nossas mais novas formulações foram produzidas para serem usadas a 3% em ambos os grupos de combustíveis, em 1% para hidrocarbonetos e 3% para solventes polares. Com as novas fórmulas, tem-se uma maior proteção utilizando-se menor quantidade de concentrado.

10 Funcionamento do sistema de combate a incêndio

Em helipontos marítimos é usado à espuma como elemento de combate. Ela atua na criação uma película selante ao ar sobre o fogo, para apaga-lo por abafamento, isto é, removendo de ar. E, também auxilia na remoção dos vapores combustíveis, eliminando a alimentação do fogo, no resfriamento, trocando calor com a mistura água e espuma.
Em unidades marítimas, o sistema de combate a incêndio primário, é composto basicamente por:
A sucção das bombas é feita por caixas de mar, independentes, que tem a função de coletar a água do mar e garantir a uniformidade do fluxo, para não haver a chance de cavitação nas bombas. A sua estrutura permitem a ligação direta da água do mar para o interior do navio.
Os acionamentos dessas bombas e válvulas podem ser manual ou remoto. A tecnologia evoluiu de tal forma que as ações de combate a incêndio, independem da ação humana, devido aos milhares de sensores espalhados ao redor de cada equipamento. Em caso de principio de incêndio o sistema é acionado imediatamente. Em plataformas de produção mais modernas, o sistema de diluvio, pode ser acionado automaticamente, após os sensores de calor ou sensores infravermelho, que conseguem detectar o principio de incêndio e iniciar o combate imediatamente. Um moderno sistema de combate a incêndio está ilustrado no Anexo B.

11 Considerações Finais

O projeto original foi projetado seguindo as normas internacionais, entretanto não conseguiu atender as normas brasileiras em vários requisitos. O foco do projeto final foi demonstrar onde o sistema de combate a incêndio não conseguiu atendê-las. Primeiro ponto: negligenciou regras importantes, como o uso de pelo menos dois canhões simultaneamente, sem ter mais um de reserva, totalizando três equipamentos. Por razão do método de combate a incêndio, o porquê para não se ter somente dois canhões de espuma, mas possuir três.
Segundo fator importante que o posicionamento dos canhões não é satisfatório, pois foram colocados praticamente lado a lado, se houver um acidente próximo, inviabilizará o uso dos dois canhões. O correto seria defasá-los de 120° de modo a cobrir toda a área, e mesmo que tenha um acidente próximo a um dos canhões os outros dois estarão disponíveis. Terceiro ponto importante a ser considerado, que a pressão utilizando um canhão pode ser tão grande que ao invés de combater o principio de incêndio pode empurrar a aeronave ou as pessoas para fora do heliponto, jogando-as no mar.
O quarto é a troca ou adaptação do tanque de espuma, aumentando-o, visto que o preço de um tanque novo ou adapta-lo é muito menor ao se comparar com o valor da perda total da unidade. A mudança atenderá ambas as normas e melhorará o sistema de combate a incêndio, garantindo a integridade da unidade “offshore” evitando que o fogo se propague para outros pontos da plataforma.
Por fim, a construção ou o afretamento de uma plataforma, antes da sua contratação, deve-se levar em conta além dos custos fixos e já conhecidos, acrescentar os custos em adequação às normas brasileiras, que em sua maioria é um custo bastante considerável, mas não comparável com o custo de operação. Mas evita prejuízos caso a embarcação não esteja preparada e precisa ficar parada por dias ou até meses até a conclusão das devidas adaptações.

12 Referências bibliográficas

[1] E. E. de Mattos e R. de Falco, Bombas Industriais, Rio de Janeiro: Interciência, 1998.

[2] P. C. S. Telles e D. G. P. Barros, Tabelas e gráficos para projetos e tubulações, Interciência, 2011.

[3] F. M. White, Mecânica dos Fluidos, McGraw-Hill, 2002.

[4] I. M. Organization, Code for the Construction and Equipment of Mobile Offshore Drilling Units, 2012.

[5] I. M. Organization, Safety of Life at Sea, 2012.

[6] I. M. Organization, International Code For Fire Safety Systems, 2000.

[7] U. C. A. Authority, Standards for Offshore Helicopter Landing Areas, 2013.

[8] I. C. A. Organization, Heliport Manual, 1995.

[9] I. C. A. Organization, Aerodromes - Heliports, vol. II, 2009.

[10] A. B. o. Shipping, Helicopter decks and facilities, 2008.

[11] I. C. A. Organization, Airport Services Manual, 1990.

13 Anexos