Noções Básicas de Elementos de Máquinas

Mecânico de Máquinas Pesadas

1 Elementos de máquinas e mecanismos

Introdução

Inicialmente é importante se conhecer a conceituação de alguns termos técnicos comuns e que seguem a lógica que vai do simples para o complexo no estudo orgânico de máquinas.

Bastidor é o elemento fixo ao qual estão ligados os elementos de uma cadeia cinemática. Ex.: chassi, bloco do motor, carcaça da caixa de câmbio.

Generalidades

Toda máquina é formada por uma quantidade maior ou menor de itens, dependendo da sua complexidade. A rigor, todos esses itens, quando individualizados, são denominados de elementos ou órgãos.

Nesse conceito, tanto a árvore de manivelas de um motor como uma simples arruela são elementos de máquina. Por outro lado, a porca e o parafuso, por serem individualizáveis e terem aplicações independentes em alguns casos, são dois elementos distintos.

Para se agrupar e ordenar os diferentes tipos de elementos de máquina é necessário algum critério. Adota-se aqui a classificação segundo a função principal para a qual os mesmos foram desenvolvidos.

Elementos de transmissão

Entende-se por transmissão a condução de movimento ou potência (rotação e torque) de um ponto a outro, dentro de uma máquina, ou entre máquinas distintas. Tem-se, por exemplo, a transmissão de potência do motor até os pneus dentro de um trator. Pode-se também ter a transmissão apenas de movimento do pneu até o painel do carro para registrar a velocidade. Ou ainda, tem-se a transmissão de potência a partir de um motor estacionário (máquina motora) até um moinho (máquina movida).

Eixos e árvores

    • importante que se faça uma diferenciação conceitual entre eixo e árvore, uma vez que é comum nos depararmos com a utilização incorreta, especialmente do termo eixo. Essa diferenciação tem a ver com os conceitos da resistência dos materiais, uma das áreas básicas de conhecimento na engenharia.

Eixo é um elemento fixo, não submetido a esforço de torção e que apenas suporta rodas, polias, etc. Como exemplo tem-se o elemento que suporta as rodas de uma carreta agrícola. Já a árvore é um elemento que gira transmitindo potência, portanto é submetido a esforço de torção.

Existem árvores retilíneas, árvores de manivelas (típicas nos motores de combustão interna) e árvores flexíveis formadas por cabo de aço girando envolto em uma capa, também flexível como o caso do cabo do velocímetro de um carro ou do odômetro (contador de giro) do motor do trator.


Polias e correias

Duas polias formam um par cinemático quando unidas por um elemento flexível denominado de correia. Uma polia sempre será a motora e a outra a movida.

Para cada tipo de correia existe um tipo correspondente de polia. As correias podem ser planas, normalmente fabricadas em couro, borracha, lona ou mistas e servem para transmissão ou para transporte.


As correias trapezoidais, de borracha com fibras internas para resistir à tração, têm perfil padronizado pela largura e altura da secção. Correias denteadas ou estriadas são fabricadas com borracha e fibras. São próprias para transmissões onde não deve haver deslizamento. As polias normalmente são de aço, alumínio ou madeira.

Existem também polias trapezoidais de diâmetro variável, relativamente comuns em máquinas agrícolas. Podem ser de comando automatizado ou manual para a alteração do diâmetro e por consequência, da relação de transmissão, durante a operação.

Engrenagens

São elementos largamente utilizados em máquinas agrícolas e florestais. Nos primórdios eram rudimentares e construídas em madeira. Hoje são de ferro fundido, no caso de transmissões de baixa velocidade e torque, ou usinadas em aço e de alta precisão nas transmissões mais complexas.

As engrenagens são normalmente classificadas pela sua forma construtiva, e essa, por sua vez, define diferentes aplicações. Existem engrenagens cilíndricas, helicoidais, cônicas e tipo parafuso sem-fim.

As engrenagens cilíndricas são utilizadas somente em árvores paralelas e podem ser de dentes retos, inclinados ou duplos (em “V”). Elas podem ter dentes internos ou externos. Engrenagens helicoidais ou em espiral servem para engrenamentos com árvores em qualquer ângulo, porém não concorrentes. Engrenagens cônicas servem para engrenamentos em árvores em qualquer ângulo e podem ser de dentes retos, inclinados ou curvos, para árvores concorrentes. No caso de árvores não concorrentes podem ser descentradas e ter dentes curvos (hipóides). Também existem as engrenagens tipo parafuso sem-fim, específicas para árvores perpendiculares e não concorrentes.

Duas engrenagens, para que tenham engrenamento perfeito, devem ter dentes iguais. Os dentes são definidos basicamente pelo seu passo que é a distância entre um dente e outro. O número de dentes de uma engrenagem será função do seu diâmetro primitivo (Dp) e do passo (p) (Figura 5).

Rodas denteadas e correntes


As rodas denteadas são análogas às polias. Já as correntes são análogas às correias. A diferença fundamental é que não permitem deslizamento na transmissão.

As correntes podem ser de rolos, dentes, elos fundidos, estampados ou soldados. Correntes de rolos podem ter uma ou mais carreiras de rolos, dependendo da potência a transmitir. São bastante ajustadas e o exemplo mais comum está na transmissão das bicicletas. As correntes de dente são compactas, permitindo transmissões de potências elevadas. Nas 

correntes de elos fundidos os elos são fundidos um a um e encaixados. Já foram bastante utilizadas em máquinas agrícolas e florestais, porém foram gradualmente substituídas pelas correntes de elos estampados. Essas, por sua vez, são bastante comuns em máquinas, nas transmissões de baixa velocidade e potência, sem lubrificação e na presença de poeira. São de baixo custo e bastante praticas na montagem, emendas e desmontagem. As correntes de elos soldados são as mesmas correntes utilizadas para tração, comuns em talhas.

Todas as correntes e rodas denteadas são especificadas pelo seu passo, que é a distância entre um elo e outro. As rodas denteadas normalmente são de ferro fundido ou usinadas em aço.

Rodas de atrito

Embora pareça um princípio ultrapassado de transmissão, as rodas de atrito têm sua aplicação, inclusive em máquinas agrícolas e florestais. A maior desvantagem que têm em relação aos outros princípios é o espaço ocupado. Para que haja atrito tem que haver superfície e em transmissão de potências elevadas essa superfície pode se tornar inviável.

As características e tipos são semelhantes às engrenagens, podendo ser para eixos paralelos ou não. A maior diferença entre ambas é que nas engrenagens é impossível haver deslizamento. Nas rodas de atrito ele existe e em alguns casos é até necessário, por isso a utilização desse princípio.

As rodas de atrito são construídas com diferentes materiais, porém na banda de contato utilizam-se materiais antifricção como borrachas, couro e modernamente, algumas ligas metálicas.

Cabos flexíveis


São comumente aplicados em tração. Os tipos mais comuns são os cabos de aço e as correntes de tração de elos soldados ou torcidos.

Elementos de união

Muitos elementos têm funções aparentemente secundárias, porém a sua ausência pode inutilizar uma máquina. É o caso, por exemplo, de um parafuso no cabeçote de um motor.

Se mal apertado ou ausente pode inutilizar o motor em poucas horas de funcionamento. Os órgãos de união servem, portanto, para unir outros órgãos e podem ser subdivididos em desmontáveis, fixos e flexíveis.

Elementos para uniões desmontáveis

Os elementos para uniões desmontáveis compreendem aqueles que permitem reutilização após desfeita a união.

Acoplamentos

Os acoplamentos ocorrem normalmente entre duas árvores, por exemplo entre a árvore de manivelas de um motor estacionário e uma bomba de irrigação. Dependendo da exatidão desse alinhamento podem ser utilizados diferentes tipos de acoplamentos. Os acoplamentos rígidos se caracterizam por vínculo completo entre as partes. Os elementos envolvidos nesse tipo de acoplamento são as chavetas, árvores estriadas e as flanges (unidas com parafusos e porcas).

Acoplamentos flexíveis são específicos para a união de duas árvores, nos casos em que essas árvores não estejam perfeitamente alinhadas.

A flexibilidade da união compensa tanto desalinhamentos angulares como lineares. São formados basicamente por dois cubos externos, um na ponta de cada árvore, unidos por corrente de rolos, elemento intermediário de borracha flexível, pinos laminados flexíveis, pinos de borracha e outros.

As juntas universais são formadas por uma cruzeta e dois garfos que no prolongamento conectam-se a duas árvores.

São órgãos largamente utilizados em máquinas agrícolas e florestais, especialmente na conexão entre o trator e uma máquina acionada. O trator possui, na sua parte posterior, uma árvore denominada de tomada de potência (TDP). Essa árvore recebe movimento do motor e tem na sua parte terminal, já fora do trator, um acoplamento rígido estriado. As máquinas a serem acionadas são a ela acopladas, porém não estarão alinhadas com a TDP. Portanto, entre a TDP e o ponto de destino do movimento rotativo que passa para a máquina, devem existir órgãos que permitam a transferência do movimento rotativo com ângulos, às vezes de 30° ou mais.

A existência desse ângulo α entre duas árvores gera um avanço ou atraso no giro da árvore movida a cada 900 de giro da árvore motora. Esse avanço ou atraso é tanto maior quanto maior for o ângulo α. Esse comportamento é regido pela equação:

em que:

Esse problema gera pulsações nocivas na máquina movida, com dois picos de avanço e dois de atraso a cada giro. Isso resulta em danos aos mancais, tanto do trator como da máquina e condições totalmente inadequadas de trabalho.

Para evitar isso utilizam-se duas juntas universais, uma unida à TDP e outra unida à máquina e entre as duas dispõe-se uma árvore telescópica, denominada de árvore cardan. Dessa forma todos os picos gerados pela primeira junta são absorvidos e anulados pela segunda. Para isso é necessário que os dois garfos internos estejam num mesmo plano, a 900 dos dois garfos externos. Nessa condição quem sofrerá todos os efeitos da flutuação de rotações será a árvore cardam. Por outro lado, se a montagem for feita com os dois garfos internos em planos perpendiculares, os picos gerados na primeira junta se somarão aos da segunda, com consequências desastrosas para os componentes próximos.

Mancais

Os mancais sempre existirão na união entre árvores ou eixos e bastidores, eixos e rodas ou entre elementos especiais como biela e árvore de manivelas no motor. Servem basicamente para permitir o movimento relativo entre duas superfícies e minimizar o atrito presente. Independentemente do tipo de mancal, o atrito é tanto maior quanto maior for o esforço atuante sobre a união. Esses esforços podem ser radiais, axiais ou angulares, também denominados de combinados.

Eles podem ser de deslizamento, também conhecidos como mancais de fricção e nesse caso podem apresentar ou não uma camisa de material mais macio que o da árvore ou eixo para que se desgaste e seja substituída sem desgastar a árvore ou eixo. Essa camisa normalmente é feita de bronze.

Outro tipo é representado pelos mancais de rolamento ou antifricção, ou simplesmente rolamentos. Os rolamentos podem ser de contato radial ou axial de esferas, agulhas, rolos cilíndricos, rolos cônicos ou ainda de contato angular de esferas.

Parafusos e porcas

São tipicamente elementos de união e fixação dos mais variados elementos. Existe uma infinidade de tipos de parafusos e dos mais variados tamanhos. As aplicações são numerosas e é difícil se imaginar uma máquina que não os utilize. Existem diferentes tipos como de cabeça sextavada, de cabeça quadrada, de cabeça com fenda, com sextavado interno, etc.

Pinos

A aplicação mais comum para os pinos é na fixação de um elemento a outro. Em máquinas agrícolas utiliza-se pinos para acoplar uma máquina ao trator. Eles podem ser elásticos, que entram sob pressão para não saírem sob o efeito, principalmente da vibração das máquinas, ou cilíndricos maciços.

Contrapinos ou cupilhas

São utilizados em inúmeras aplicações, sempre prendendo um elemento a outro. Em máquinas agrícolas e florestais são comuns na função de prender pinos ou até mesmo porcas para que, com as vibrações, comuns nessas máquinas, não soltem-se.

Anéis elásticos


Os anéis elásticos têm função semelhante aos contra pinos, porém prendem elementos com furo cilíndrico em árvores ou eixos que atravessam esses furos.

Arruelas

As arruelas são utilizadas juntamente com parafusos e porcas e servem de elemento de separação entre a porca e o elemento que está sendo pressionado por ela. Com isso as vibrações que possam existir não tendem a soltar a porca. Dependendo do rigor dessas vibrações utilizam-se diferentes tipos de arruelas:

    • arruelas lisas- são utilizadas em fixações normais.

    • arruelas de pressão- são recomendadas para uniões em que há presença de efeitos de vibrações e podem ser cortadas, denteadas ou onduladas.

Elementos para uniões fixas

Pode parecer estranho chamar-se uma solda de elemento de máquina. No entanto sua função é unir dois ou mais elementos. Difere dos parafusos porque é uma união que, para ser desfeita, é necessária a sua inutilização. Além das soldas existem também os rebites.
 

Soldas

Compreendem um campo de estudos muito amplo, cabendo aqui apenas uma classificação básica, a partir dos diferentes princípios de funcionamento.

A solda por arco é a solda elétrica que utiliza geradores ou transformadores de elevadas correntes que fundem um elemento de enchimento, conhecido como e eletrodo. O arco de corrente se fecha quando o eletrodo toca a superfície a ser soldada, quando então funde-se pelo excesso de calor e se deposita no local, formando a solda.

Outra forma é a solda por resistência, que também é uma solda elétrica gerada por corrente elevada que deve passar entre as duas superfícies a serem soldadas, normalmente

carenagens e latarias em geral. A resistência à passagem da corrente nesse elemento é elevada, causando super aquecimento, fusão e, por consequência, a solda. Esse tipo de solda pode ser em pontos ou tipo costura, em linhas.

A solda a gás é conhecida como solda oxiacetilênica e utiliza acetileno queimado em oxigênio para fundir um material de enchimento que faz a solda entre as partes.

Rebites

Os rebites servem para unir duas superfícies, normalmente finas. Para se desfazer a união é necessário cortar, e portanto, inutilizar os rebites.

Elementos para uniões flexíveis

Em máquinas agrícolas e florestais são inúmeras as aplicações de uniões flexíveis realizadas por elementos denominados de molas. As molas servem para:
    • absorver energia de cargas súbitas;
    • atuar como reservatório de energia;
    • assegurar pressão eu força;
    • amortecer.

As diferentes formas de apresentação de molas podem ser agrupadas em helicoidais, tipo prato e tipo lâmina (em feixes).

Elementos de transformação de movimento

Alguns pares cinemáticos têm funções bastante nobres e fundamentais. A transformação de movimento rotativo em linear, ou o seu inverso, são comuns em motores e em muitas máquinas agrícolas e florestais. Especificamente podem ser citadas:

    • biela e árvore de manivelas que transformam o movimento retilíneo de um êmbolo em giro do motor produzindo, nesse processo, o torque;

    • came do sistema de comando de válvulas de um motor, que transforma movimento rotativo da árvore do comando de válvulas em movimente linear das válvulas;

    • excêntricos em geral, comuns, por exemplo, em máquinas que utilizam peneiras, transformando movimente rotativo em linear alternativo para agitar as peneiras.

2 Mecanismos de transmissão

Transmissão direta

A transmissão direta consiste em se acoplar a fonte de potência à máquina a ser movida, diretamente. Para isso une-se as duas árvores, motora e movida, de forma a transmitir movimento ou potência de uma para outra. As árvores poderão estar alinhadas ou não.

Na transmissão com árvores alinhadas não chega a existir um mecanismo. Estão envolvidos apenas elementos de acoplamento desmontável, rígidos ou flexíveis, que unem as duas árvores. Já a transmissão com árvores desalinhadas pode ser por meio de árvore flexível que, juntamente com a capa, forma o mecanismo de transmissão. É utilizado, dentre outros, no cabo do velocímetro para transmitir movimento e nas roçadoras motorizadas costais para transmitir potência.

Outra forma de transmissão com árvores desalinhadas é por meio de árvore cardan e juntas universais que no conjunto formam um mecanismo.
 

Transmissão por correias

Existem basicamente correias planas e correias trapezoidais. Para o caso de correias trapezoidais as árvores devem ser paralelas e as polias perfeitamente alinhadas. Correias planas podem ser utilizadas com árvores perpendiculares cruzadas.

Esse tipo de mecanismo caracteriza-se por transmitir movimento no mesmo sentido entre a polia motora e movida. A exceção pode ocorrer com correia plana cruzada para a inversão do sentido de movimento.
 

São transmissões construtivamente simples e silenciosas que apresentam deslizamento, com exceção das correias denteadas. Têm uma considerável capacidade de absorver choques e como qualquer transmissão resultam em perdas por atrito, deslocamento de ar, ruído, etc. Essa característica é representada pelo rendimento da transmissão ou eficiência (Ef), expresso pela equação:

em que:
P útil é a potência disponível após a transmissão (na árvore movida);

P motriz é a potência de acionamento (na árvore motora)

Nas transmissões por polias e correias essa eficiência varia entre 95 e 98%.
Outro aspecto importante de se conhecer são as relações cinemáticas envolvidas no
mecanismo da figura 28.

Tem-se que:
v1 = v2 = v
ω1 R1 = ω2 R2
como ω= 2πN e R = D/2

então:

Pelo princípio de conservação da energia, tem-se:

Finalmente pode-se definir a relação de transmissão do mecanismo (i), como sendo:

em que:
v - velocidade tangencial
ω - velocidade angular
R - raio
D - diâmetro
N - rotação
P - potência
T - torque

Essa relação tanto pode ser de multiplicação como de redução e expressa numericamente o quanto se ampliou ou reduziu a rotação de um movimento, entre a polia motora e a movida.

Na aquisição de uma correia para aplicação não padronizada é necessário conhecer o seu comprimento que é definido pela equação:

em que:
l - comprimento
I - distância entre os centros das arvores
D - diâmetro primitivo das polias (a partir do centro das correias trapezoidais)

 

Exemplo:

Supondo-se a transmissão entre um motor elétrico e um moinho quebrador de milho, sendo o diâmetro primitivo da polia do motor de 500mm e do quebrador de milho de 1000mm. A rotação do motor é de 1750 rpm, o torque máximo disponível no motor é de 20 Nm e a eficiência da transmissão estimada em 98%. Deseja-se saber qual a rotação na árvore do moinho, a potência disponível, o torque recebido, a relação de transmissão e o comprimento da correia para uma distância entre árvores de 2,0 m.

Algumas observações básicas cabem quanto à utilização e manutenção de transmissões por correias e polias:

    • velocidades não superiores a 25 m s-1 para correias trapezoidais e 85 m s-1 para correias planas;
    • polias alinhadas;
    • não forçar a correia na montagem;
    • verificar frequentemente a tensão da correia;
    • armazenar correias em local seco e fora da ação do sol;
    • manter as transmissões secas e isentas de óleo, graxa e poeira;
    • vida útil de 500 a 1000 h.

Transmissão por correntes


As correntes normalmente utilizadas para transmissões em máquinas agrícolas e florestais são de elos estampados e fundidos, próprias para baixas velocidades. Existem as de rolos, comumente utilizadas nas bicicletas e motocicletas, mais sofisticadas.

Transmissões por correntes só pode ser utilizadas entre árvores paralelas e com as rodas denteadas perfeitamente alinhadas. A velocidade não deve ultrapassar 20 m s1. Nas transmissões com correntes de rolos o rendimento varia de 97 a 98%. As perdas são principalmente dissipadas na forma de calor, exigindo desse tipo de transmissão cuidados especiais com a lubrificação. As transmissões com correntes de elos têm rendimento menor e normalmente não utilizam lubrificação.

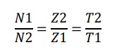
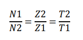
As relações cinemáticas são as mesmas aplicadas às transmissões por correias. A ressalva é de que nesse caso não se utiliza o diâmetro para caracterizar as rodas denteadas e sim o seu número de dentes (Z) e o passo. Esses, por sua vez, seguem as mesmas definições válidas para engrenagens. Portanto, em resumo, tem-se as seguintes relações:

em que
N – rotação
Z – número de dentes da roda denteada
T - torque

O comprimento de uma corrente refere-se ao seu número de elos definido pela equação:

em que:

n - número de elos da corrente Z - número de dentes das rodas rodas denteadas P - passo das rodas e da corrente I - distância entre centros das árvores

Exemplo:

Tem-se uma transmissão por meio de corrente de rolos e rodas denteadas entre um motor estacionário e um picador de forragem com torque disponível na árvore do motor de 15 Nm. A rotação de trabalho do motor é de 1500 rpm. O número de dentes da roda denteada motora é 15 e da movida é 35. O rendimento estimado para a transmissão é de 98%. O passo da corrente e rodas denteadas é de I2.7mm e a distância entre árvores é de 1,0m. Deseja-se saber qual a potência disponível na árvore do picador e qual o número de elos da corrente.

Solução:

Tem-se que o comprimento (l) é o produto de n e p, portanto

Transmissão por engrenagens

Caracteriza-se por ser compacta, própria para locais onde o espaço é limitado. Por- outro lado, se as distâncias entre árvores forem necessariamente grandes, é inviável a sua utilização, pois serão necessárias engrenagens muito grandes. Isso ocorre porque não existe elemento de ligação no par cinemático. Quem une uma engrenagem a outra são seus dente. Esse fato implica na consequência elementar, porém importante, de que as engrenagens motora e movida sempre girarão em sentidos opostos.

No quadro 1 são apresentadas, sinteticamente, algumas características básicas de transmissões com os diferentes tipos de engrenagens disponíveis.

Quadro 1 - Características básicas de transmissões para diferentes tipos


Entre as engrenagens cilíndricas as de dentes retos provocam mais ruídos que as de dentes inclinados. Além do mais, as de dentes inclinados distribuem a carga sempre em mais do que um dente, podendo ser menos espessas (mais estreitas).

A não ser em baixíssimas cargas e baixas velocidades, como ocorre em algumas máquinas agrícolas e florestais, as transmissões por engrenagens exigem lubrificação.

As relações cinemáticas são as mesmas utilizadas em transmissões com correntes e rodas denteadas:

Transmissão por rodas de atrito

É análoga à transmissão por engrenagens no que diz respeito a espaço, tipos, arranjos entre árvores e sentidos de giro. No entanto ocorrem deslizamentos, a exemplo do que acontece com as correias. Esse deslizamento é função do torque a transmitir e da pressão de contato entre as rodas.

É um mecanismo já pouco utilizado, normalmente recomendado para velocidades tangenciais de até 20 m s-1 , com eficiências de 95 a 98% e relação de transmissão de até 5. As relações cinemáticas são as mesmas aplicadas às transmissões por correias:

Transmissão hidrostática

Não se resume a um simples mecanismo, sendo nesse caso denominada de sistema. Será aqui apenas citada por ser uma forma de transmissão, porém por ser um recurso bastante utilizado em máquinas agrícolas e florestais, terá uma abordagem mais profundas, posteriormente, na disciplina. É bastante útil para transmissão à distância e com barreiras físicas e tende a ser gradativamente mais utilizada pela sua praticidade e facilidade de utilização de comandos remotos e automatizados.

O funcionamento se baseia em transmitir força e movimento por meio de um fluido (óleo) praticamente incompressível e confinado. A pressão no fluido é gerada a partir de uma bomba que pode ser de palhetas, engrenagens, êmbolos radiais ou êmbolos em linha com placa oscilante. Os atuadores podem ser lineares (cilindros hidráulicos) ou rotativos (motores hidráulicos) que são, na exc6encia, o inverso da bomba.

Transmissão com mecanismo de segurança

São empregados em máquinas agrícolas e florestais justamente como recurso de proteção a sobrecargas em acionamentos mecânicos. São agrupados em limitadores de torque, freios e acoplamentos direcionais, também conhecidos como catracas.

Os limitadores de torque são empregados para proteger as partes móveis das máquinas de sobrecargas repentinas. Por meio de deslizamento ou rompimento, a conexão entre as partes se desfaz. São também conhecidos como embreagens de segurança ou juntas de deslizamento. Podem ser de atrito, dentes e de rompimento.

Limitadores de torque de atrito são normalmente construídos como duas flanges com um disco de atrito entre ambas como nas embreagens automotivas, ou sistema; também podem ser de várias camadas (multidiscos). Outras formas são encontradas, tais como cone sobre cone, cinta sobre tambor, etc. As próprias correias podem funcionar como limitadores de torque por atrito.

Os limitadores de torque de dentes ou garras têm os dentes inclinados ou são duas superfícies corrugadas presas uma contra a outra por mola axial.

Os limitadores de torque de rompimento consistem basicamente no cisalhamento de um elemento de união tipo pino "fusível”. São pouco utilizados em máquinas agrícolas e florestais rotativas, pois necessitam ser substituídos sempre que rompem.

Os mecanismos de segurança tipo freios são indispensáveis em inúmeras aplicações em máquinas e consistem basicamente de mecanismo de atrito utilizados para regular o movimento dos corpo, reduzindo-lhes a marcha, mantendo sua velocidade constante ou mantendo-os em repouso.

Podem ser tipo sapata externa ou interna sobre tambor, disco sobre disco, cone em superfície cônica, cinta sobre ou dentro de tambor ou discos expansores por meio de esferas.

Os acoplamentos direcionais são as catracas, utilizadas para proteção, governando o sentido de giro ou permitindo travamento em um ou nos dois sentidos do giro.

Acoplamentos direcionais tipo roda livre são utilizados para liberar o acionado quando o acionamento atrasa ou acionado adianta e acoplar novamente quando o acionado atrasa e acionador adianta; é largamente utilizada nas bicicletas.