Princípios da Eletricidade

Formação Básica em Eletricista Predial e Residencial

1 Eletricidade Estática

O Átomo:

Tudo que ocupa lugar no espaço é matéria. A matéria é constituída por partículas muito pequenas chamada de átomos. Os átomos por sua vez são constituídos por partículas subatômicas: elétron, próton e nêutron, sendo que o elétron é a carga negativa (-) fundamental da eletricidade e estão girando ao redor do núcleo do átomo em trajetórias concêntricas denominadas de órbitas.

O próton é a carga positiva fundamental (+) da eletricidade e estão no núcleo do átomo. É o número de prótons no núcleo que determina o número atômico daquele átomo. Também no núcleo é encontrado o nêutron, carga neutra fundamental da eletricidade.

No seu estado natural um átomo está sempre em equilíbrio, ou seja, contém o mesmo número de prótons e elétrons. Como cargas contrárias se anulam, e o elétron e próton possuem o mesmo valor absoluto de carga elétrica, isto torna o átomo natural num átomo neutro.

Átomo Estável e Instável:

Um átomo é estável como vimos anteriormente, quando a quantidade de energia dos elétrons (-) e dos prótons (+) são iguais. Como os elétrons estão divididos em camadas distanciadas proporcionalmente do núcleo, os mesmo possuem energias diferentes, chamados níveis de energia. O nível de energia de um elétron é diretamente proporcional a distância do seu núcleo. Os elétrons situados na camada mais externa são chamados de elétrons de valência.

Quando estes elétrons recebem do meio externo mais energia, isto pode fazer com o elétron se desloque para um nível de energia mais alto. Se isto ocorre, dizemos que o átomo está num estado excitado e portanto instável. Na camada mais externa suficiente, alguns dos elétrons de valência abandonarão o átomo, se tornando elétrons livres que produz a corrente elétrica num condutor metálico.

Leis das Cargas Elétricas:

Alguns átomos são capazes de ceder elétrons e outros são capazes de receber elétrons. Quando isto ocorre, a distribuição positivas e negativas que era igual deixa de existir. Um corpo passa a ter excesso e outro falta de elétrons. O corpo com excesso de elétrons passa a ter uma carga com polaridade negativa, e o corpo com falta de elétrons terá uma carga com polaridade positiva.

O Coulomb:

A quantidade de carga elétrica que um corpo possui é dada pela diferença entre número de prótons e o número de elétrons que o corpo tem. A quantidade de carga elétrica é representada pela letra Q, e é expresso na unidade COULOMB (C).

A carga de 1 C = 6,25x1018 elétrons. Dizer que um corpo possui de um Coulomb negativo ( -Q ), significa que um corpo possui 6,25x1018 mais elétrons que prótons.

Exemplo: Um material dielétrico possui uma carga negativa de 18 12 5, ×10 elétrons. Qual a sua carga em um Coulomb?

Carga Elétrica Elementar:

A menor carga elétrica encontrada na natureza é a carga de um elétron ou próton. Estas cargas são iguais em valor absoluto e valem:

Para calcular a quantidade de carga elétrica de um corpo, basta multiplicar o número de elétrons pela carga elementar.

Campo Eletrostático:

Toda carga elétrica tem capacidade de exercer força. Isto se faz presente no campo eletrostático que envolve cada corpo carregado. Quando corpos com polaridades opostas são colocados próximos um do outro, o campo eletrostático se concentra na região compreendida entre eles. Se um elétron for abandonado no ponto no interior desse campo, ele será repelido pela carga negativa e atraído pela carga positiva.

Quando não há transferência imediata de elétrons do/para um corpo carregado, diz-se que a carga esta em repouso. A eletricidade em repouso é chamada de eletricidade estática.

Diferença de Potencial:

Em virtude da força do seu campo eletrostático, uma carga é capaz de realizar trabalho ao deslocar uma outra carga por atração ou repulsão. Essa capacidade é chamada de potencial. Cargas diferentes produzem uma d.d.p. (diferença de potencial). A soma das diferenças de potencial de todas as cargas do campo eletrostático é conhecida como Força Eletromotriz (F.E.M.). A sua unidade fundamental é o Volt. A diferença de potencial é chamada também de Tensão Elétrica. A tensão elétrica é representada pela letra E ou U. Exemplo: Qual o significado da tensão de uma bateria ser igual a 6 V?

2 Eletrodinâmica

Corrente Elétrica:

Determinados materiais, quando são submetidos a uma fonte de força eletromotriz, permitem uma movimentação sistemática de elétrons de um átomo a outro, e é este fenômeno que é denominado de corrente elétrica. Pode-se dizer, então que cargas elétricas em movimento ordenado formam a corrente elétrica, ou seja, corrente elétrica é o fluxo de elétrons em um meio condutor. A corrente elétrica é representada pela letra Ι e sua unidade fundamental é o Ampère.

Define-se 1 A como sendo deslocamento de 1 C (6,25×10 e) 18 através de um condutor durante um intervalo de 1 s.

A definição matemática da intensidade de corrente elétrica é dada por:

Fluxo de Corrente:

Se ligarmos às duas extremidades de um fio de cobre, uma diferença de potencial, a tensão aplicada faz com que os elétrons se desloquem. Esse deslocamento consiste num movimento de elétrons a partir do ponto de carga negativa Q− numa extremidade do fio, seguindo através deste e chegando à carga positiva Q + na outra extremidade.

O sentido do movimento de elétrons é de – para +. Este é o fluxo de elétrons. No entanto para estudos convencionou-se dizer que o deslocamento dos elétrons é de + para – .Este é o chamado de fluxo convencional da corrente elétrica.

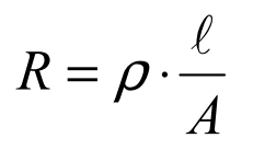
Resistividade Elétrica:

Define-se resistência como sendo a capacidade de um fio condutor ser opor a passagem de corrente elétrica através de sua estrutura.

Verifica-se experimentalmente que a resistência elétrica de um resistor depende do material que o constitui e de suas dimensões.

Para simplificar a análise dessas dependências, vamos considerar que os condutores tenham a forma de um fio cilíndrico como mostra a figura abaixo. Esta é a forma largamente utilizada tanto na transmissão de energia elétrica como na construção de resistores.

Considere vários fios condutores de mesmo material, mesma área de secção transversal de comprimentos diferentes. Verifica-se que quanto maior o comprimento tanto maior é a resistência do fio. Então, a resistência é diretamente proporcional ao comprimento do fio.

Se tomarmos vários condutores de mesmo material, mesmo comprimento, mas de diâmetro diferentes, verificamos que a resistência é inversamente proporcional à área da seção reta do fio.

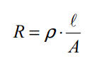
A constante de proporcionalidade é uma característica do material e simboliza-se por ρ (letra grega rô). Recebe o nome de resistividade.

A resistência de um condutor é diretamente proporcional ao seu comprimento e inversamente proporcional à área da secção transversal do fio. Assim:

No Sistema Internacional a unidade de resistividade é ohm-metro (Ωm). A condutância é o inverso de resistência. A unidade da condutividade é o mho (Ω-1) ou Siemens (S).

Resistor Elétrico:

A energia elétrica pode ser convertida em outras formas de energia. Quando os elétrons caminham no interior de um condutor, eles se chocam contra os átomos do material de que é feito o fio. Nestes choques, parte da energia cinética de cada elétron se transfere aos átomos que começam a vibrar mais intensamente. No entanto, um aumento de vibração significa um aumento de temperatura.

O aquecimento provocado pela maior vibração dos átomos é um fenômeno físico a que damos o nome de efeito joule.

É devido a este efeito joule que a lâmpada de filamento emite luz. Inúmeras são as aplicações práticas destes fenômenos. Exemplos: chuveiro, ferro de engomar, ferro elétrico, fusível, etc.

O efeito joule é o fenômeno responsável pelo consumo de energia elétrica do circuito, quando essa energia se transforma em calor. O componente que realiza essa transformação é o resistor, que possui a capacidade de se opor ao fluxo de elétrons (corrente elétrica). Símbolo:

Lei De Ohm:

Considere o resistor abaixo, mantido a uma temperatura constante. Quando o mesmo for submetido a uma tensão elétrica (d.d.p.) E, circulará, pelo mesmo uma corrente elétrica Ι.

Mudando o valor da d.d.p. para E1, E2, ... En , o resistor passa a ser percorrido por uma corrente I1, I2, … Ιn. O Físico alemão George Simon Ohm, verificou que o quociente da tensão aplicada pela respectiva corrente circulante era uma constante do resistor.

Código de Cores para Resistores:

O código de cores é a convenção utilizada para identificação de resistores de uso geral. Compreende as séries E6, E12 e E24 da norma internacional IEC.

Procedimento para Determinar o Valor do Resistor:

Identificar a cor do primeiro anel, e verificar através da tabela de cores o algarismo correspondente à cor. Este algarismo será o primeiro dígito do valor do resistor.

Identificar a cor do segundo anel. Determinar o algarismo correspondente ao segundo dígito do valor da resistência.

Identificar a cor do terceiro anel. Determinar o valor para multiplicar o número formado pelos itens 1 e 2. Efetuar a operação e obter o valor da resistência.

Identificar a cor do quarto anel e verificar a porcentagem de tolerância do valor nominal da resistência do resistor.

Observação.: A primeira faixa será a faixa que estiver mais perto de qualquer um dos terminais do resistor.

3 Eletrodinâmica II

O valor será 270W com 5% de tolerância. Ou seja, o valor exato da resistência para qualquer elemento com esta especificação estará entre 256,5W e 283,5W.

Entenda o multiplicador. Ele é o número de zeros que você coloca na frente do número. No exemplo é o 10, e você coloca apenas um zero se fosse o 100 você colocaria 2 zeros e se fosse apenas o 1 você não colocaria nenhum zero.

Outro elemento que talvez necessite explicação é a tolerância. O processo de fabricação em massa de resistores não consegue garantir para estes componentes um valor exato de resistência. Assim, pode haver variação dentro do valor especificado de tolerância. É importante notar que quanto menor a tolerância, mais caro o resistor, pois o processo de fabricação deve ser mais refinado para reduzir a variação em torno do valor nominal.

Potência Elétrica:

Se um trabalho está sendo executado em um sistema elétrico, uma quantidade de energia está sendo consumida. A razão em que o trabalho está sendo executado, isto é, a razão em que a energia está sendo consumida é chamada Potência.

Em eletricidade, a tensão realiza trabalho de deslocar uma carga elétrica, e a corrente representa o número de cargas deslocadas na unidade de tempo. Assim em eletricidade:

A unidade fundamental de potência elétrica é o WATT.

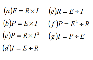
Fórmulas Matemáticas Relacionando Tensão, Corrente, Resistência e Potência Elétricas.

Associação em Série

Quando resistores são conectados de forma que a saída de um se conecte a entrada de outro e assim sucessivamente em uma única linha, diz-se que os mesmos estão formando uma ligação série. Neste tipo de ligação a corrente que circula tem o mesmo valor em todos os resistores da associação, mas a tensão aplicada se divide proporcionalmente em cada resistor.

Os resistores que compõem a série podem ser substituídos por um único resistor chamado de Resistor Equivalente.

Como a corrente é comum a todos os termos da equação ela pode ser simplificada (cortada) nos dois lados da igualdade:

Associação em Paralelo:

Quando a ligação entre resistores é feita de modo que o início de um resistor é ligado ao início de outro, e o terminal final do primeiro ao termina final do segundo, caracteriza-se uma ligação paralela. Neste tipo de ligação, a corrente do circuito tem mais um caminho para circular, sendo assim ela se divide inversamente proporcional ao valor do resistor. Já a tensão aplicada é a mesma a todos os resistores envolvidos na ligação paralela.

Para dois resistores em paralelo é possível calcular a Req através de uma outra fórmula:

Associação Mista:

É o caso mais encontrado em circuitos eletrônicos. Neste caso há resistores ligados em série e interligados a outros em paralelo. Para se chegar a Req, faz-se o cálculo das associações série e paralelo ordenadamente, sem nunca “misturar” o cálculo, ou seja, associar um resistor em série a outro esteja numa ligação paralela.

Considerações finais sobre a Lei de Ohm:

A Lei de Ohm pode ser definida como a relação entre a Tensão, a Corrente e a Resistência em um circuito elétrico de corrente contínua. Ela pode ser definida como uma constante de proporcionalidade entre as três grandezas. Ela estabelece que:

Com a passagem da corrente elétrica pelo condutor, há choques dos elétrons contra os átomos do material, com consequente aumento da temperatura (efeito Joule). Este fato acarreta dois fenômenos opostos no condutor: um aumento da energia de vibração dos átomos do material, opondo-se à corrente elétrica (aumento da resistência); e um aumento do número de cargas livres e também de suas velocidades, favorecendo a passagem de corrente elétrica (diminuição da resistência). Quando os dois fenômenos se contrabalançam, o condutor é ôhmico ou linear, pois sua resistência permanece constante.

Quando o primeiro fenômeno predomina, a resistência do condutor aumenta com a temperatura, e é o que ocorre com o filamento de uma lâmpada incandescente.

Lei de Ohm em Circuitos com Resistência em Série:

A corrente elétrica é a mesma em todas as resistências, e a tensão elétrica se dividirá proporcionalmente ao valor das resistências.

Aplicação da Lei de Ohm em Circuitos Resistências em Paralelo:

A tensão elétrica será a mesma em todas as resistências, e a corrente elétrica se dividirá inversamente proporcional ao valor da resistência.

Circuito Divisor de Tensão:

Num circuito série, cada resistência produz uma queda de tensão “E” igual a sua parte proporcional da tensão total aplicada.

Uma resistência R mais alta produz uma queda de tensão maior do que uma resistência mais baixa no circuito série. Resistências iguais apresentam quedas de tensão iguais.

Circuito Divisor de Corrente:

Às vezes torna-se necessário determinar as correntes em ramos individuais num circuito em paralelo, se forem conhecidas as resistências e a corrente total, e se não for conhecida a tensão através do banco de resistências. Quando se considera somente dois ramos do circuito, a corrente nem ramo será uma fração da total Ι . Essa fração é quociente da segunda resistência pela soma das resistências.

Onde 1 Ι e 2 Ι são as correntes nos respectivos ramos. Observe que a equação para a corrente em cada ramo tem o resistor oposto no numerador. Isto porque a corrente em cada ramo é inversamente proporcional à resistência do ramo.

Transformação Y ( T ) / ∆ ( π ) e vice-versa:

Alguns circuitos possuem resistências interligadas de uma maneira que não permite o cálculo da Req pelos métodos conhecidos – série e paralelo. As resistências podem estar ligadas em forma de redes Y ou ∆. A solução do circuito então é converter uma ligação em outra, de modo a permitir a associação em série e/ou paralelo após essa conversão.

4 Geradores e Receptores

Definição de Gerador:

Gerador é um dispositivo capaz de criar e manter uma d.d.p. entre dois pontos de um circuito. É essa d.d.p. que permite o movimento de cargas elétricas que constituem a corrente elétrica. Para “transportar” uma carga de um ponto a outro, o gerador realiza um trabalho sobre ela. A razão entre o trabalho realizado e a carga transportada mede a capacidade do gerador de levar cargas dos potenciais mais baixos para potenciais mais baixos. Essa razão é a Força Eletromotriz (fem) do gerador representado pela letra “E”. Assim:

A força eletromotriz do gerador é sempre constante, pois ela não depende da corrente elétrica que atravessa.

Equação do Gerador:

Associação em Série:

Os geradores são associados de forma que o pólo positivo de um se ligue diretamente ao pólo negativo do outro.

A corrente que atravessa todos os geradores é a mesma;

A fem da associação é a soma das fem’s dos componentes da série;

A resistência interna da associação é igual a soma das resistências dos elementos da associação.

Associação em Paralelo:

Os geradores são associados de forma que os pólos positivos fiquem ligados a um único ponto, e os pólos negativos da mesma forma a um outro ponto.

A corrente se subdivide entre os geradores;

A fem da associação é a própria fem de um dos elementos da associação;

O inverso da resistência de cada elemento da associação.

Rendimento do Gerador ( η ):

No interior do gerador a corrente vai do pólo de menor potencial para o de maior potencial. Estão envolvidas neste caso três formas de potência: gerada; fornecida e dissipada. Cada uma das potências tem sua forma de cálculo, como segue:

O rendimento do gerador é razão entre a Pf e a Pg, assim como entre a ddp e a FEM do mesmo.

Receptores:

São os elementos do circuito que transformam a energia elétrica em outra forma de energia que não exclusivamente térmica. Contudo uma parte da energia elétrica recebida é dissipada na resistência interna do receptor assim como no gerador. Nos receptores, a tensão necessária para o seu funcionamento interno é dada por E`, ou Força Contra-Eletromotriz ( fcem ).

Equação do Receptor:

Rendimento Elétrico do Receptor ( η’ ):

Em um receptor estão em jogo, assim como no gerador três formas de potência: recebida (fornecida para o receptor); útil (transformada em trabalho) e a dissipada internamente.

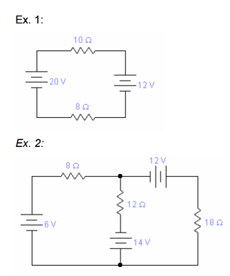
5 Leis De Kirchoff

Lei das Tensões:

A Lei das Tensões de Kirchoff pode ser utilizada para determinar as várias correntes em um circuito elétrico. Uma vez em que as correntes elétricas estão definidas, torna-se simples a tarefa de calcular as várias tensões do circuito. Esta lei pode ser definida como:

Método para cada malha:

a) Arbitre um sentido para a corrente elétrica;

b) Siga o sentido desta corrente, realizando o somatório das tensões;

c) Para fontes, considere sua tensão com o sinal do pólo de entrada;

d) Para resistências, considere a queda de tensão R.i ;

e) Iguale o somatório a zero.

Lei das Correntes:

Esta lei visa o equacionamento das correntes nos diversos nós de um circuito, e por isso é também conhecida por “Lei de Nós”.

Análise Nodal:

O método nodal da análise é baseado nas equações da “Lei de Kirchoff” para corrente, em termos potenciais (tensões) nodais, os quais são tomados como desconhecidos para um conjunto de equações simultâneas. Em um circuito elétrico há n nós principais; um deles é escolhido como nó de referência, e a ele é atribuído arbitrariamente um potencial zero Volt. Aos demais nós são atribuídos então diferentes potenciais simbólicos.

Passos para Análise Nodal:

a) Selecione o nó principal, que será o nó de referência, e atribua a cada um dos nós restantes seus próprio potencial em relação ao nó de referência;

b) Atribua correntes nos ramos (a escolha da direção é arbitrária);

c) Expresse as correntes nos ramos em termos de potenciais dos nós;

d) Escreva uma equação de corrente para cada um dos nós conhecidos;

Sentido da Corrente:

6 Capacitores

Tratamos até agora das propriedades resistivas dos circuitos elétricos. A resistência, que é a oposição ao fluxo de corrente está associada à dissipação de energia. Além da propriedade resistência, um circuito elétrico também pode possuir as propriedades da indutância e da capacitância, sendo que ambas estão associadas ao armazenamento de energia.

Capacitância:

Propriedade de um circuito se opor a qualquer variação de tensão no circuito. Alternativamente, capacitância é a capacidade de um circuito elétrico armazenar energia em um campo eletrostático.

Força Exercida por Duas Cargas:

Pelos conceitos da eletrostática, cargas iguais se repelem, e cargas diferentes se atraem. A força exercida entre elas é dada pela Lei de Coulomb como:

Materiais Dielétricos:

Isolantes ou dielétricos são caracterizados pelo fato de possuírem poucos elétrons livres, isto é, os elétrons estão fortemente ligados ao núcleo. Sem a aplicação de um campo elétrico, um átomo dielétrico é simétrico, mas na presença de um campo elétrico os elétrons se deslocam de forma a ficarem próximos da carga positiva do campo elétrico. Uma medida de como as linhas de força são estabelecidas em um dielétrico é denominada permissividade. A permissividade absoluta (ε) é a relação entre a densidade de fluxo no dielétrico e o campo elétrico sobre o mesmo.

A constante dielétrica então, é a relação entre permissividade de um material e a permissividade do vácuo, e é definida como:

Representação Gráfica da Capacitância:

Existe uma relação entre a tensão aplicada entre duas placas paralelas separadas por um dielétrico, e a carga que aparece nestas placas. Analise o circuito abaixo:

Ao fecharmos a chave, circulará uma corrente da fonte para as placas, no início alta. Quando houver um equilíbrio de cargas, isto é E = v, a corrente Ι tenderá a zero. Este processo é chamado “carga”, e leva um tempo muito pequeno.

Um gráfico relacionando a tensão e a carga acumulada gera uma relação linear. A constante de proporcionalidade a tensão e a carga acumulada e a tensão, isto é, a inclinação da reta é a capacitância.

A unidade de capacitância é o Coulomb/ Volt, que é definida Farad. A capacitância é determinada pelos fatores geométricos A (área) e d (distância) das placas que formam o capacitor. Quando a área das placas é aumentada, aumenta a capacitância. Da mesma forma quando a separação entre as placas aumenta, a capacitância diminui.

Então temos que:

Definição de Capacitor:

Simbologia:

Associação em série:

Quando os capacitores são conectados em série, a fem “E” é dividida pelos capacitores, e a capacitância equivalente ou total Ct, é menor que o menor dos capacitores. Analisando o circuito abaixo:

Todos os capacitores adquirem a mesma carga elétrica; ou seja; Q1 = Q2 = Q3. A tensão total é igual a Et = E1 + E2 + E3.

Então:

Associação em paralelo:

Quando dois capacitores são conectados em paralelo, a carga total adquirida pela combinação é dividida pelos capacitores da associação, e a capacitância total é a soma das capacitâncias individuais. Analise o circuito ao lado:

Cada capacitor adquire uma carga dada por:

Energia Elétrica de um Capacitor:

A energia armazenada em um capacitor é medida pelo trabalho elétrico, quando a carga Q passa de uma armadura para a outra descarregando o capacitor. Ocorre que durante essa operação a tensão “E” do capacitor diminui até zero. Com o auxílio da matemática pode-se demonstrar que a energia armazenada num capacitor é representada pela área do gráfico abaixo:

Reatância Capacitiva (Xc):

A reatância capacitiva é a oposição ao fluxo de corrente CA devido à capacitância no circuito. A unidade de reatância capacitiva é o OHM. Pode-se calcular a reatância capacitiva através da equação abaixo:

A tensão e a corrente num circuito contendo somente reatância capacitiva pode ser determinada utilizando-se a Lei de Ohm. Entretanto, no caso de um circuito capacitivo substitui-se R por Xc.

7 Indutores

Indutância:

A capacidade que um condutor possui de induzir tensão em si mesmo quando a corrente varia é a sua auto-indutância ou simplesmente indutância. O símbolo da indutância é o L e a sua unidade é o Henry (H). Um Henry é a quantidade de indutância que permite uma quantidade de indutância que permite uma indução de 1 V quando a corrente varia na razão de 1 A/ 1s. A fórmula para a indutância é:

Reatância Indutiva (XL):

A reatância indutiva é a oposição à corrente CA devida à indutância do circuito. A unidade da reatância indutiva é o OHM. A fórmula para a reatância indutiva é:

Num circuito apenas formado por indutância, pode-se calcular a tensão e a corrente aplicando a LeiΩ de Ohm, bastando para isto substituir R por XL.

Associação de Indutores:

O sistema de associação de indutores é o mesmo de resistores e capacitores, ou seja, em série, paralelo e mista. O método de cálculo para se chegar à indutância equivalente é o mesmo para resistores.

8 Tensão Alternada

Geração de tensão alternada:

A tensão alternada é produzida girando uma bobina. À medida que a bobina corta as linhas de força entre os pólos magnéticos, produz-se uma tensão. Essa tensão varia de zero até o valor de pico e volta a zero conforme uma senóide.

Assim é produzida a eletricidade nas usinas hidrelétricas. A geração ocorre quando um condutor se movimenta num campo magnético, induzindo uma tensão nesse condutor.

Esta tensão depende da intensidade do campo magnético, da velocidade do condutor e da direção em que se movimenta o condutor. A senóide é obtida pelo movimento de rotação do condutor. A polaridade da tensão induzida depende da posição da espira em relação aos pólos do ímã. Na corrente alternada os elétrons mudam o sentido do seu movimento. Em altas frequências, a corrente se limita à superfície do condutor, com isso, a resistência aumenta .

Vantagens da corrente alternada:

Ela pode ser transmitida a grandes distâncias mais economicamente que a corrente contínua, sem grandes perdas. Para isso, pode-se elevar e diminuir a tensão por meio de transformadores.

A equação da tensão alternada senoidal é:

Características da Tensão e da Corrente Alternada:

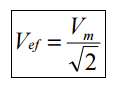
• Valor eficaz (Vef ou Ief):

Também chamado de RMS (root mean square), é o valor que produz o mesmo efeito que um valor em corrente contínua faria. É igual a 0,707 vezes o valor de pico (Vm). A maioria dos instrumentos de medida é calibrada em unidades eficazes ou médio-quadráticas, o que permite a comparação direta dos valores CC e CA.

• Valor médio (Vm):

É a tensão média da onda senoidal durante um meio ciclo. Geometricamente, corresponde a altura de um retângulo que tem a mesma área da senóide.

• Frequência (f):

É o número de ciclos por segundo, dada em Hertz.

• Período (T):

É o tempo necessário para completar um ciclo. É o inverso da freqüência. No Brasil a frequência é de 60Hz, o que dá um período de 16,5 ms.

Tipos de Cargas em Sistemas de Tensão Alternada:

Existem três tipos de cargas nos sistemas de tensão alternada: as resistivas, as indutivas e as capacitivas. As capacitivas não realizam trabalho e são utilizadas normalmente como filtros, como elementos auxiliares de partida de motores monofásicos e como compensadores de reações indutivas.

Carga Resistiva:

De acordo com a Lei de Ohm, a carga resistiva funciona como um limitador de corrente, não existindo outro tipo de reação, ou seja, I = E/R. Graficamente, pode-se observar que a corrente em uma carga puramente resistiva se mantém em fase com a tensão aplicada em seus terminais, como apresentado na figura abaixo.

Uma carga resistiva funciona como um dissipador de energia, consumindo toda a energia fornecida pela rede elétrica. A potência fornecida pela rede é dada pelo produto da tensão e da corrente, denominada potência aparente, dados pela equação:

A potência útil dissipada por uma carga resistiva é dada pelo valor médio do produto da tensão e da corrente, ou seja, o valor médio da potência aparente. Graficamente, se observa na figura abaixo que toda a potência fornecida pela fonte é dissipada na forma de calor, ou em outras palavras, a área sob a curva do produto tensão corrente é positiva, indicando que a carga está consumindo energia.

Carga Indutiva:

As cargas indutivas são aquelas que na presença de tensão alternada armazenam energia sob a forma de campo eletromagnético, como é o caso de reatores e motores, dentre outras. A carga puramente indutiva produz uma reação na corrente elétrica como limitação de seu valor e ainda provoca um atraso de 90 graus em relação à tensão induzida em seus terminais. Essa reação é denominada reatância indutiva, representada de acordo com a equação:

Uma carga puramente indutiva não realiza trabalho, ou seja, durante meio ciclo da tensão da fonte, o indutor armazena energia sob a forma de campo eletromagnético e durante o segundo meio ciclo da tensão ele devolve a energia para a fonte, o que pode ser mais bem compreendido ao se observar à figura abaixo.

Carga Capacitiva:

As cargas capacitivas são aquelas que na presença de tensão alternada armazenam energia sob a forma de campo elétrico, como é o caso de condensadores, filtros, dentre outras. A carga puramente capacitiva produz uma reação na corrente elétrica como limitação de seu valor e ainda provoca um atraso de 90 graus na tensão em relação a corrente.

Essa reação é denominada reatância capacitiva, representada de acordo com a equação:

Uma carga puramente capacitiva não realiza trabalho, ou seja, durante meio ciclo da tensão da fonte, o capacitor armazena energia sob a forma de campo elétrico e durante o segundo meio ciclo da tensão ele devolve a energia para a fonte, o que pode ser mais bem compreendido ao se observar à figura abaixo.

Circuito Série:

Num circuito série constituído por um resistor e um indutor, aplicamos uma tensão E de uma fonte geradora da CA, de freqüência f. Sendo I a corrente alternativa que circula pelo circuito, a queda de tensão no resistor será:

A tensão aplicada está defasada de um ângulo φ da corrente, cujo valor é a soma geométrica entre ER e EL.

Assim a tensão aplicada será:

Circuito Paralelo:

Num circuito paralelo, constituído por um resistor e um indutor, aplicamos uma tensão E, de freqüência f de uma fonte geradora de CA. Pelo resistor circula uma corrente IR dada por:

Se ligarmos um capacitor em paralelo, teremos:

Na prática, costuma-se ligar capacitores em paralelos aos circuitos (que na maioria das vezes são de comportamento indutivo) com o fim de se ter um fator de potência próximo a unidade (φ = 0º). Isto equivale tornar o circuito com comportamento próximo ao resistivo ou ohmico. Tal medida é interessante, uma vez que a componente, defasada de 90º em relação à tensão, diminui, permitindo o melhor aproveitamento das linhas de transmissão.

9 Tensão Alternada II

Quando uma linha é formada por três condutores com as tensões entre um e outro iguais, porém defasadas de 120°, temos uma rede trifásica.

A representação da corrente alternada ou tensão trifásica é a que se vê nas figuras abaixo.

Quando ligamos a uma linha trifásica três fontes receptoras, ou três elementos de uma fonte receptora, temos um circuito trifásico. Conforme a maneira de efetuarmos as ligações temos um circuito estrela ou triângulo ( Y ou ∆ ).

Circuito estrela ou Y:

As três extremidades dos finais dos elementos são ligadas entre si, e as três iniciais à linha. Como se pode ver na figura abaixo, a corrente que passa pela linha, é a mesma que passa pelos elementos, isto é, à corrente de linhas é igual a corrente de fase.

O ponto comum aos três elementos chama-se neutro. Se deste ponto se tira um condutor, temos o condutor neutro, que em geral é ligado à terra. A tensão aplicada a cada elemento (entre condutores de fase e neutro) é chamada tensão de fase e a entre dois condutores de fase tensão de linha.

Circuito triângulo ou Delta:

A extremidade final de um elemento é ligada à inicial do outro, de modo que os três fiquem dispostos eletricamente, segundo os lados de um triângulo equilátero. Os vértices são ligados à linha.

Temos que a tensão da linha é igual à tensão da fase e a corrente da linha será:

Os elementos de um receptor trifásico são representados respectivamente por U-X, V-Y e W-Z, onde U, V e W representam as extremidades iniciais, ou por 1-4, 2-5 e 3-6, sendo 1, 2 e 3 os inícios, pois cada elemento tem sua polaridade que deve ser conservada na ligação. A distribuição de energia elétrica é feita em geral em sistemas trifásicos, cujas redes podem ser ligadas em estrela ou triângulo.

Na rede em Y, o neutro é ligado à terra, obtendo-se duas tensões uma entre fase e neutro e outra entre fases 3 vezes maior.

Ex: Efase = 127V ; Elinha = 220V.

Quando a rede é em triângulo, podemos retirar um condutor do centro de cada fase, obtendo-se duas tensões, sendo uma o dobro da outra. Exemplo: 110 e 220 V.

Em geral, as cargas monofásicas (lâmpadas e pequenos motores) são ligadas à tensão mais baixa e as trifásicas (força, aquecimento industrial etc.) à mais alta.

As cargas monofásicas, num circuito trifásico, devem ser distribuídas igualmente entre as fases, para que uma não fique sobrecarregada em detrimento das outras.

Potência nos Circuitos de Tensão Alternada:

A potência consumida por um circuito de corrente contínua é dada em watts, pelo produto da tensão pela corrente.

Em corrente alternada, este produto representa a potência aparente do circuito, isto é, a potência que o circuito aparenta ter uma vez que há uma defasagem entre E e I. É medida em volt-ampères (VA):

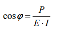
O fator de potência é de suma importância nos circuitos de CA. A NB-3 especifica o valor mínimo do fator de potência em 0,8, medido junto ao medidor de energia. Mede-se o fator de potência em aparelhos chamados de medidores de cos φ. O fator de potência pode ser determinado por:

O fator de potência deve ser o mais alto possível, isto é, próximo à unidade. Deste modo, com a mesma corrente e a mesma tensão, conseguimos uma maior potência ativa, que, como sabemos, é a que produz trabalho no circuito.

Ao produto R = E x I x sen φ denominamos de potência reativa; é a porção da potência aparente que hora é fornecida pelo gerador à carga, hora é devolvida pela carga ao gerador. Nos circuitos trifásicos, a potência ativa total é a soma das potências de cada fase.