INTRODUÇÃO ELETROTÉCNICA

Básico em Eletrotécnica

1 PRODUÇÃO DE ENERGIA ELÉTRICA

Circuito Elétrico: caminho percorrido por uma corrente elétrica graças a uma diferença de potencial.

 

Diagrama Básico de um Circuito

 

Convenção de sinais

 

2 ELEMENTOS IDEAIS DE CIRCUITOS

 RESISTOR IDEAL

Relação v x i em um Resistor Ideal

 

Resistência CC de um fio cilíndrico, maciço e homogêneo

 

Fontes de Tensão

Ideal

 

Real (possui uma resistência interna Ri)

 

3 Fontes de Corrente

Ideal

Real (possui uma resistência interna Ri)

4 Lei de Kirchoff das tensões (LKT)

“Em qualquer malha fechada de um circuito que seja percorrida em um sentido, a soma algébrica das tensões é nula.”

 

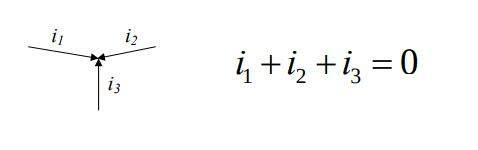
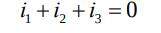
5 Lei dos nós de Kirchoff (LKC)

“A soma algébrica das correntes que entram em (ou que saem de) um nó é igual a zero.”

 

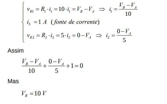
Exemplo: Determinar a tensão nos terminais da fonte de corrente do circuito elétrico abaixo.

 

Sabe-se pela LKC que, no nó A, tem-se:

 

Mas, pelas relações v x i no resistor e pela propriedade das fontes de corrente, tem-se que:

 

6 Associação de resistores

SÉRIE

Paralelo

Potência

7 Análise CC de malhas e nós

Definições

GRAFO

conjunto de segmentos chamados ELEMENTOS e pontos chamados NÓS, os quais são terminais dos ELEMENTOS, ligados de maneira tal que os ELEMENTOS são incidentes somente aos NÓS.

 

Componente terminal de um elemento.

ELEMENTO

Componente entre dois nós adjacentes.

--> Ativo – possui fonte de tensão ou de corrente.

--> Passivo – não possui fonte de tensão ou de corrente

SUB-GRAFO

Qualquer conjunto de elementos e nós de um grafo.

 

CAMINHO

Sub-grafo com não mais de dois elementos ligados a cada nó.

 

MALHA ou LAÇO

Caminho no qual os dois nós terminais coincidem e os nós interiores são distintos.

 

ÁRVORE (de um grafo)

É um sub-grafo que contém todos os vértices e nenhuma malha ou laço.

 

RAMOS (de uma árvore)

Elementos que pertencem à árvore.

CORDAS (de uma árvore)

Elementos que não pertencem à árvore.

TEOREMA: Para uma dada árvore “T” de um grafo “G” com “n” nós e “e” elementos, existem exatamente “r = n - 1” ramos e “c = e – n + 1” cordas.

COROLÁRIO: Num circuito elétrico existem “r” equações linearmente independentes relativas à LKC e “c” equações linearmente independentes relativas à LKT.

ANÁLISE

  • Circuito elétrico com “e” elementos;
  • O circuito possui então “2e” incógnitas a determinar (“e” tensões e “e” correntes);
  • São necessárias “2e” equações para se determinar as “2e” incógnitas;
  • Cada elemento possui uma relação v x i, logo já se dispõe de “e” equações;
  • Pelo corolário acima existem “r=n-1” expressões relativas à LKC;
  • Ainda pelo corolário acima existem “c=e-n+1” expressões relativas à LKT;
  • Total das equações disponíveis para resolver o circuito elétrico é de: t = e + r + c = e + (n – 1) + (e n + 1) = 2e

8 Correntes de malhas x Correntes nos elementos

Exemplo: Calcular as correntes e tensões em todos os elementos do circuito abaixo.

 

As relações v x i, juntamente com as relações LKC e as relações LKT perfazem as 6 relações necessárias para se resolver o circuito acima. Desta forma:

 

Fazendo (1) – (2) e (2) – (3) e substituindo respectivamente em (5) e (6), consegue-se eliminar as variáveis relativas às tensões. Assim procedendo:

 

Rearranjando estas equações, fica:

 

Substituindo (10) nas equações (7) e (8) vem que:

 

Rearranjando estas equações, fica:

 

Ou ainda, dividindo por 5 a primeira e por 2 a segunda, vem que:

 

Somando (11) com (12) vem que:

 

Substituindo (13) na equação (12) vem que:

 

Substituindo (13) e (14) na equação (10) vem que:

 

Substituindo os valores encontrados para as correntes nas equações (1) a (3) vem que:

 

Este exemplo mostra que apenas as relações v x i, acrescidas das expressões relativas às leis de Kirchoff (LKC e LKT) são suficientes para se resolver um circuito elétrico.

De posse das tensões e correntes em todos os elementos o analista pode, por exemplo, calcular as potências fornecidas por cada elemento. Por exemplo, as potências fornecidas pelas fontes de tensão do circuito vão ser iguais a:

 

O leitor pode perceber que a fonte presente no elemento 1 fornece potência (ela é positiva, de valor 20 W), enquanto a fonte presente no elemento 3 consome potência (a potência fornecida é negativa, de valor -10 W). O elemento 2, resistor puro, obviamente consome potência, ou seja, fornece potência negativa. Esta afirmativa pode ser comprovada calculando a sua potência fornecida, ou seja:

 

O leitor pode perceber também que a soma das potências fornecidas em todos os elementos do circuito é nula, ou seja:

 

Este tipo de resultado ajuda ao analista iniciante a verificar se sua análise está ou não correta, uma vez que permite uma prova simples de que os resultados obtidos estão corretos ou não.

9 Métodos de Solução de Circuitos Elétricos

Embora as relações v x i, adicionadas às expressões relativas às LKC e LKT sejam suficientes para resolver circuitos elétricos, o leitor percebe que a solução de um circuito simples como o anterior pode ser longa e trabalhosa quando se utiliza estas equações. A solução pode ser ainda mais trabalhosa em circuitos reais (Sistemas Elétricos de Potência, circuitos industriais, placas de circuito impresso com circuitos eletrônicos analógicos, circuitos motrizes que envolvam motores elétricos, etc).

Desta forma, foram desenvolvidos métodos adicionais, que conseguem promover a solução de circuitos elétricos de forma mais fácil e com menos trabalho, denominados métodos de solução de circuitos elétricos. Neste item serão apresentados dois métodos de solução que visam facilitar o trabalho de resolver circuitos elétricos.

10 Métodos das Correntes de Malhas

O método das correntes de malha utiliza as denominadas correntes de malhas básicas. Malhas básicas são malhas que contém apenas uma corda. Assim, no circuito anterior, o leitor pode perceber que existem duas cordas e, por conseguinte, vão existir apenas duas malhas básicas, conforme figura abaixo.

 

Utilizando a LKT para as duas malhas básicas, vem que:

 

Rearranjando as equações, fica:

 

Simplificando vem que:

 

Multiplicando (1) por 3 e somando com (2) vem que:

 

O valor de I2 pode ser calculado a partir de (1) ou de (2). Assim:

 

Os valores das correntes nos elementos pode ser calculado simplesmente verificando que:

 

O leitor deve perceber que a solução deste circuito passou pela solução de um sistema de 2 equações e 2 incógnitas, enquanto para o método geral, foi necessário a solução de um sistema de 6 equações e 6 incógnitas. A diferença fica ainda maior para circuitos elétricos associados a sistemas reais antes mencionados com a presença de centenas a milhares de elementos.

As equações (1) e (2) podem ser colocadas na forma matricial, resultando:

 

O leitor pode perceber que a matriz das resistências de laço é formada da seguinte maneira:

11 Métodos das Tensões dos Nós

O método das tensões dos nós utiliza as denominadas tensões de nó. Tensões de nó são diferenças de potencial de todos os nós do circuito elétrico em relação a um nó eleito como referência. Desta forma, como no circuito exemplo existem apenas dois nós, elegendo o nó B como referência, vai existir apenas uma tensão de nó. Desta forma, haverá apenas uma equação a ser resolvida para se chegar à solução do circuito.

 

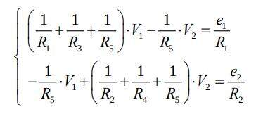
O método pode ser mais bem ilustrado se aplicado em um circuito com mais de dois nós, como o circuito a seguir:

 

Rearranjando os termos vem:

 

Na forma matricial tem-se que:

 

Estas equações podem ser escritas da forma:

 

Exemplo: Determinar a tensão V e a potência consumida pela resistência de 47 Ω utilizando os métodos das tensões nodais e das correntes de malhas.

 

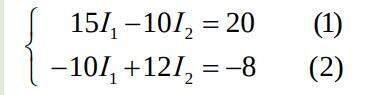
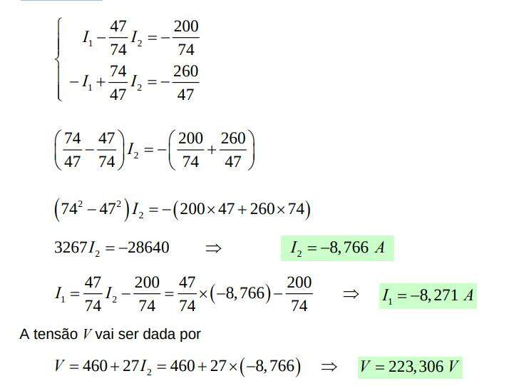
12 Método das correntes de malhas

Aplicando o método vem que:

 

Rearranjando 

Resolvendo

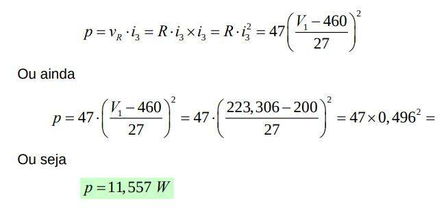
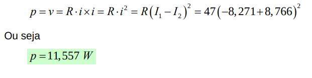
A potência dissipada no resistor de 47 Ω vai ser dada por:

 

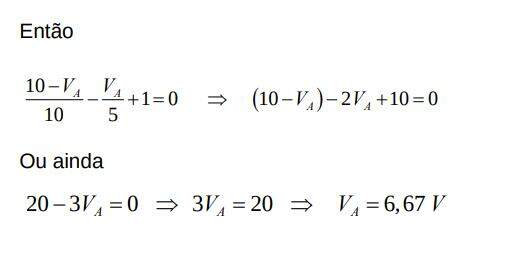
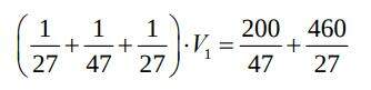
13 Método das tensões dos nós

Aplicando o método vem que:

 

Rearranjando:

 

Resolvendo:

 

A potência dissipada no resistor de 47 Ω vai ser dada por: