Eletrotécnica Geral

Básico em Eletrotécnica

1 Carga elétrica e campo elétrico

1.1 Eletrostática

Você já ouviu falar de carga elétrica ou eletricidade estática? É sobre esses assuntos que vamos tratar agora, sendo que a eletrostática é a parte da Eletricidade que estuda as propriedades e a ação mútua das cargas elétricas em repouso. Os primeiros estudos a respeito da eletrostática foram feitos pelo filósofo grego Tales, da cidade de Mileto, mais ou menos no ano 600 a.C. Tales observou que, ao fazer o atrito do âmbar (resina fóssil de coloração amarelada) com outros corpos, o âmbar adquire a propriedade de atrair corpos leves, como pedacinhos de palha e sementes pequenas que se encontram em sua proximidade.

Essa propriedade de atrair os corpos é caracterizada por uma grandeza denominada carga elétrica. Nesse caso, dizemos que o âmbar adquiriu carga elétrica ou ficou eletrizado.

Após esse estudo feito por Tales, somente no século XVI, William Gilbert descobriu que outros corpos, quando atritados, adquirem a propriedade de atrair corpos leves, como ocorre com o âmbar.

Como o âmbar, em grego, chama-se eléktron, Gilbert utilizou o termo “eletrizado” para indicar que esses corpos estavam se comportando como o âmbar e “fenômeno elétrico” para o fenômeno do surgimento dessa propriedade que aparece quando os corpos são atritados, originando o termo “eletricidade”, que é utilizado até hoje.

Foi convencionado que um bastão de vidro, quando atritado com um pano de lã, fica com carga elétrica positiva e a lã, com carga elétrica negativa.

Hoje, a explicação para o processo pelo qual os corpos eletrizam-se é baseada no fato de que todos os corpos são constituídos de átomos. O átomo apresenta uma parte central, chamada núcleo, onde temos as partículas chamadas prótons, que apresentam carga elétrica positiva, e os nêutrons, que não apresentam carga elétrica. Ao redor do núcleo, na região chamada eletrosfera, temos as partículas chamadas elétrons, que apresentam carga elétrica negativa.

Normalmente, o átomo tem quantidades iguais de prótons no núcleo e de elétrons ao seu redor, ou seja, a mesma quantidade de cargas positivas e negativas; portanto, o átomo é eletricamente neutro.

Obs:Prótons apresentam carga elétrica positiva e elétrons apresentam carga elétrica negativa.

Quando o corpo encontra-se eletrizado, significa que há um desequilíbrio na quantidade de prótons e elétrons, ou seja, possui excesso ou falta de elétrons. O corpo está eletrizado negativamente quando há excesso de elétrons, significando que foram acrescentados elétrons ao corpo.

1.2 Carga Elétrica Elementar (E)

A menor carga elétrica conhecida atualmente é a carga do elétron, ou a do próton, conhecida como carga elementar e representada pela letra “e”. As cargas do elétron e do próton são iguais em valor absoluto e sua intensidade é:

Quando há falta de elétrons, significa que foram retirados elétrons do corpo, deixando o corpo eletrizado positivamente.

Ao aproximarmos dois corpos eletrizados com cargas elétricas de mesmo sinal, eles repelem-se e, quando eletrizados com cargas elétricas Atenção de sinais opostos, eles atraem-se.

Portanto, para o elétron, que tem carga elétrica negativa, sua intensidade será

e, para o próton, que tem carga elétrica positiva, sua intensidade será 

1.3 Condutores e Isolantes

Os metais, em geral, são bons condutores de eletricidade, pois apresentam os chamados elétrons livres, que são os elétrons que se encontram mais afastados do núcleo e libertam-se facilmente das últimas camadas do átomo, movimentando-se livremente pelo material e facilitando o movimento de cargas elétricas. Os materiais capazes de conduzir a eletricidade são chamados condutores.

1.4 Eletrização por Atrito

Quando dois corpos neutros são atritados, pode ocorrer a transferência de elétrons de um corpo para o outro, isto é, um dos corpos perde elétrons, ficando com falta de elétrons, e o outro ganha esses elétrons, ficando com excesso de elétrons. Nesse caso, dizemos que os corpos ficaram eletrizados, ou seja, os corpos passam a manifestar propriedades elétricas.

Corpos neutros antes do atrito

A unidade de carga elétrica no Sistema Internacional de Unidades (SI) é o Coulomb, representado pela letra C.

Isolantes de eletricidade ou dielétricos são os materiais que apresentam os elétrons fortemente ligados ao núcleo do átomo, dificultando o movimento de cargas elétricas. Como exemplos, temos a borracha, o vidro e a mica.

Corpos eletrizados após o atrito

Na eletrização por atrito, os corpos ficam carregados com cargas de sinais contrários, porém com a mesma quantidade de carga.

A tabela a seguir é chamada série triboelétrica e mostra a tendência de alguns elementos ganharem ou perderem elétrons de acordo com os elementos que estão sofrendo atrito.

1.5 Eletrização por Contato

Quando um corpo eletrizado é colocado em contato com outro neutro, pode ocorrer a transferência de elétrons de um para o outro, fazendo com que o corpo neutro também fique eletrizado. Considere um bastão de plástico eletrizado negativamente e uma chapa de cartolina neutra que se encontram separados.

Quando colocamos os dois corpos em contato, alguns elétrons que estão em excesso no bastão são transferidos para a chapa de cartolina neutra. Separando os corpos novamente, a chapa de cartolina fica eletrizada negativamente, devido aos elétrons que foram transferidos do bastão.

Após o contato, os corpos ficam eletrizados com cargas elétricas de mesmo sinal.

Se os corpos forem condutores e idênticos,ou seja, se tiverem a mesma forma e mesmas dimensões e estiverem isolados, as cargas elétricas dos condutores após o contato serão iguais.

1.6 Eletrização por Indução

Considere um bastão de plástico eletrizado negativamente e uma chapa de cartolina neutra que se encontram separados. É possível eletrizar a chapa de cartolina sem o contato com o bastão, como no processo anterior, através do fenômeno denominado indução eletrostática, bastando aproximá-la do bastão.

Aproximando o bastão eletrizado negativamente da chapa de cartolina, as cargas elétricas negativas da cartolina são repelidas para a extremidade oposta, fazendo as cargas elétricas da cartolina ficarem com uma distribuição diferente da inicial, ou seja, há uma concentração de cargas elétricas de um tipo em uma extremidade da chapa e de outro tipo na outra extremidade. Esse fenômeno é chamado indução eletrostática, o bastão é chamado indutor e a chapa de cartolina, induzido.

Fazendo a ligação da chapa com a terra, alguns elétrons irão escoar para a terra.

Em seguida, é feita a interrupção da ligação da chapa com a terra, fazendo com que a cartolina fique eletrizada positivamente.

Desse modo, consegue-se fazer um corpo que se encontra neutro ficar eletrizado sem que haja o contato com outro corpo. Um corpo se encontra eletrizado quando apresenta excesso de elétrons ou falta de elétrons, que acarreta excesso de prótons. A quantidade de carga elétrica (Q) de um corpo que se encontra eletrizado pode ser determinada multiplicando-se a quantidade de partículas (elétrons ou prótons) em excesso no corpo pelo valor da carga elementar.

 

Na qual:

Q = quantidade de carga elétrica do corpo;

n = quantidade de partículas (elétrons ou prótons) em excesso no corpo;

e = valor da carga elementar

Quando o corpo apresenta excesso de elétrons, sua carga elétrica é negativa, pois o elétron apresenta carga negativa, e a intensidade da carga elementar é

Quando o corpo apresenta excesso de prótons, sua carga elétrica é positiva, pois o próton apresenta carga positiva, e a intensidade da carga elementar é

2 Lei de Coulomb

1.8 Lei de Coulomb

Você viu que, ao aproximarmos dois corpos de cargas elétricas puntiformes (cargas que apresentam dimensões desprezíveis em relação à distância que as separa de outra carga) de mesmo sinal, eles repelem-se e, quando eletrizados com cargas elétricas de sinais opostos, eles se atraem. Você sabia que isso se deve à ação de forças de natureza elétrica sobre eles?

Charles Augustin de Coulomb determinou experimentalmente, em 1785, o valor dessa força elétrica de atração ou repulsão através da balança de torção, obtendo também a lei que a descreve

Analisando as mais diversas situações, chegou à conclusão que a força de interação entre duas cargas elétricas puntiformes é diretamente proporcional ao produto dos valores absolutos das cargas e inversamente proporcional ao quadrado da distância que as separa.

Podemos associar ao segmento de reta d¹² um versor , que dará e¹² sua direção e sentido.

Podemos escrever a expressão na forma de uma igualdade, introduzindo o valor da constante de proporcionalidade

, logo:

Na qual, εo é chamado permissividade elétrica do vácuo, sendo seu valor:

Desse modo:

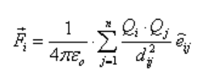
Generalizando para n+1 cargas no vácuo, a força numa carga i-ésima será:

 

Chamando:

a Lei de Coulomb pode ser escrita como:

Na qual:

  • F é a força de interação entre as cargas elétricas;
  • Q1 e Q2 são as cargas elétricas;
  • d é a distância entre as cargas;
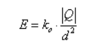
  • k0 é a constante eletrostática do vácuo.

A constante eletrostática do vácuo vale

Na expressão anterior, os sinais de Q1 e Q2 indicam apenas se a força é de atração ou de repulsão, portanto, são tomados em valor absoluto.

3 Campo Elétrico

1.10 Campo Elétrico

Uma carga Q, no espaço, produz ao seu redor um campo elétrico. Outra carga q, chamada carga de prova, ao ser colocada a uma determinada distância de Q dentro do campo elétrico, sofrerá a ação de uma força de atração ou de repulsão.

Se colocarmos uma carga de prova q num ponto do espaço e esta sofrer a ação de uma força F , a intensidade do vetor campo elétrico E é a grandeza definida por:

De acordo com a Lei de Coulomb, temos:

Simplificando que em ambos os lados da igualdade, temos:

A unidade de campo elétrico no SI é o Newton por Coulomb (N|C) ou :

Que fornece a intensidade do campo elétrico a uma distância d da carga Q.

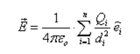
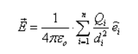
Para o caso de E ser produzido por n cargas puntiformes  Q¹,Q²,...,Qn , o campo resultante.

E em um dado ponto é a soma vetorial dos campos produzidos por cada carga, ou seja:

Que corresponde a:

Quando a carga Q que gera o campo elétrico é positiva, o vetor E tem sentido de afastamento (para fora, saindo da carga) e, se a carga Q for negativa, o vetor E tem sentido orientado para ela (entrando na carga)

1.11 Campo Elétrico Uniforme

É aquele no qual o vetor campo elétrico E é o mesmo em todos os pontos de uma região do espaço, ou seja, mesma direção, mesmo sentido e mesma intensidade. As linhas de força são retas paralelas de mesmo sentido e igualmente espaçadas.

Pode-se obter um campo elétrico uniforme entre duas placas paralelas eletrizadas com a mesma carga, porém de sinais contrários.