Introdução a Topografia I

Topografia

1 Topografia

1.0 Histórico e generalidades

1.1 Resumo Histórico

Há registros de que se praticava topografia, no antigo Egito, nos anos de 1.400 aC, quando se procurava delimitar as áreas produtivas que ficavam às margens do Rio Nilo.

1.2 Definição

Etimologicamente, significa “Descrição do lugar”. Do grego Topos, lugar e graphein, descrever.

Por definição clássica, Topografia é uma ciência baseada na Geometria e Trigonometria, de forma a descrever (medidas, relevo) e representar graficamente (desenho) parte da superfície terrestre, restritamente, pois não leva em consideração a curvatura da Terra.

1.3 Objetivo

É a obtenção das dimensões (lineares, angulares, superfície), contornos (perímetro) e posição relativa (localização em relação a uma direção de referência) de uma parte da superfície terrestre.

1.4 Finalidade

É a representação gráfica (gerar um desenho) dos dados obtidos no terreno sobre uma superfície plana. A esta se dá o nome de Planta ou Desenho Topográfico.

1.5 Importância e Aplicação

A topografia é uma atividade básica para qualquer serviço de engenharia. Não é uma atividade “fim” e sim uma atividade “meio”, isto é, não se faz um levantamento topográfico e pára por aí. Este levantamento terá uma finalidade, p. ex., execução de uma Barragem, rede elétrica, irrigação, loteamento e outros.

Quanto aos campos de aplicação tem-se: as Engenharias: Civil, Mecânica, Ambiental, Florestal; Agronomia; Arquitetura e paisagismo; Controle geométrico e execução de obras.

1.6 Limite de Atuação 

De uma maneira geral (varia de acordo com diversos autores), considera-se o limite de 50 km, a partir da origem do levantamento. A Norma NBR 13.133/94 – Execução de Levantamento Topográfico, da ABNT, considera um plano de projeção limitado a 80 km (item 3.40-d, da Norma).

Consideremos a superfície terrestre de forma circular e observemos o plano topográfico que é suposto plano, até os limites adotados, conforme figura a seguir, adotando o Raio Terrestre de 6.370 km.

Desta forma,tem-se:

1.7 Divisões da Topografia

A topografia tem 03 (três) divisões básicas: Topometria, Taqueometria e Topologia, além da Fotogrametria e Agrimensura. Há uma corrente de autores que defendem que estas duas últimas, pela sua abrangência, terem uma certa independência, isto é, serem ciências à parte.

1.7.1.Topometria: é o conjunto de métodos e procedimentos utilizados para a obtenção das medidas (distâncias e ângulos) de uma parte da superfície terrestre. Pode ser divida em:

• Planimetria: procedimentos para obtenção das medidas num plano horizontal;

• Altimetria (Hipsometria): idem, num plano vertical; 1.7.2.

Taqueometria (medida rápida); é parte da topografia que se ocupa dos processos de obtenção das medidas horizontais e verticais, simultaneamente, baseado no princípio da Estadimetria e trigonometria de triângulo retângulo. Esse processo é mais utilizado em terrenos de relevo ondulado, acidentado.

1.7.3. Topologia: É a parte da topografia que se ocupa do estudo e interpretação da superfície externa da terra (relevo), segundo leis que regem o seu modelado. É a parte interpretativa da topografia.

1.7.4. Fotogrametria: é uma ciência baseada da arte da obtenção fidedigna das medidas através de fotografias. Pode ser:

• Terrestre: Complementam a topografia convencional; Restauração de fachadas de prédios antigos (arquitetura);

• Aérea (Aerofotogrametria): bastante utilizada para grandes extensões da superfície terrestre (trabalhos de reconhecimento, estudos de viabilidade, ante-projeto); restituição aerofotogramétrica.

1.7.5 Agrimensura:(medida agrária); trata dos processos de medição de superfícies do terreno, divisões de terra segundo condições pré-estabelecidas. Há uma corrente de autores que a colocam independente da topografia, pela sua abrangência.

1.8 Modelado Terrestre

Para entendermos a forma da terra é importante verificar a ciência que abrange a superfície da terra como um todo, e esta se chama Geodésia, que atua além do limites da Topografia.

1.8.1 Geodésia

É uma ciência que se ocupa dos processos de medição e especificações para o levantamento e representação cartográfica de uma grande extensão da superfície terrestre, projetada numa superfície geométrica e analiticamente definida por parâmetros que variam em número, levando-se em consideração a curvatura terrestre.

1.8.2 Diferenças entre topografia e geodésia

Então, conhecendo-se as definições das duas ciências, pode-se elaborar as seguintes diferenças entre elas:

1.8.2 Forma da Terra

Várias são as formas técnicas de identificação da Terra, porém todas são muito aproximadas: natural, esfera, elipse e a convencionada internacionalmente, que é o Geóide.

• Forma natural: É a forma real da terra que vem sendo estudada através de observações por satélite (imagens espaciais) e gravimetria (medidas do campo gravitacional). E ainda não se tem um modelo com parâmetros que a identifiquem.

Forma esférica:Forma mais simples da terra, sendo utilizada para efeito de determinados cálculos na Topografia e Geodésia.

Forma de uma elipse de revolução (elipsóide):Como a terra tem a forma arredondada e achatada nos pólos, há uma indicação, confirmada por observações espaciais, que ela se aproxima de uma Elipse. Esta é a superfície de Referência usada para cálculos geodésicos, pois há parâmetros matemáticos de sua geometria, como Equação da Elipse, achatamento, excentricidade.

Este elipsóide é gerado a partir da rotação em torno do eixo menor.

Estes parâmetros são adotados no Brasil, na atualidade, porém já se está introduzindo um novo sistema denominado SIRGAS – Sistema de Referência Geocêntrico para as Américas (SIRGAS-2000), instituído pelo Decreto 5.334, de 06.01.2005, cujos parâmetros são:

Geóide:Originada do elipsóide, convencionou-se dar um nome efetivamente relacionado com a Terra, e este nome é o Geóide, sendo definido como a superfície equipotencial (sobre mesma ação gravitacional) do Nível Médio dos Mares (NMM) em equilíbrio, prolongada através dos continentes.

2.Planimetria

É um conjunto de métodos, procedimentos e equipamentos necessários à obtenção das medidas lineares e angulares num plano horizontal. É uma subdivisão da Topometria.

Inicialmente, vamos nos preocupar com os processos de medição de distâncias, que são dois: Processo Direto e Processo Indireto.

Processo de medição direta

É aquele em que a distância é obtida percorrendo-se efetivamente o alinhamento a ser medido com um instrumento comparativo de medida, denominado de DIASTÍMETRO. Então, deve-se estar sobre o alinhamento com um acessório graduado para se ter a distância.

Além do diastímetro, deve ser usado um acessório chamado Baliza, que é uma haste de metal ou fibra, de comprimento de 2,0 m, cuja função é dar condições de alinhamento para os operadores.

2.1.1 Diastímetro

Sendo um instrumento de uso na medição direta, podem-se citar vários tipos de Diastímetro: Trenas, Cabo de Agrimensor, Corrente de Agrimensor, entre outros. Os dois primeiros são os mais usados em Topografia.

Trenas: São fitas de material tipo PVC, Fibra de Vidro, Aço (revestido por nylon) e de ínvar (invariável), que é uma liga de aço e níquel; Podem ser de vários tamanhos (1 a 50m) e de vários fabricantes (Eslon, Starret, Lufkin, Mitutoyo). São acondicionadas em um estojo que as protegem e facilitam o manuseio. As mais precisas são as de aço e ínvar;

 Cabo de Agrimensor: São de PVC ou Fibra, de comprimento de 20 a 100 m, e não são protegidas (nas medições são enroladas no antebraço do operador). Uso restrito para alguns serviços em topografia; •

Corrente de Agrimensor: Em desuso para serviços topográficos, devido ao material constituinte pelo seu peso (aço, ferro), dificultando o manuseio. São vários elos interligados entre si, com 20 cm cada. O comprimento pode chegar a 50 m.

Desta forma, com os acessórios já destacados e, sabendo-se que, na natureza um terreno é dependente do seu relevo, plano, ondulado, acidentado, as medidas a serem efetuadas diretamente, segundo o tipo de terreno, tem determinados procedimentos.

2.12 Medição em terreno suave (aprox.Plano)

Em terrenos suaves, para se medir um alinhamento procede-se conforme a seguir. Seja um alinhamento AB.

Planta

A medida de A para B deve ser realizada colocando-se um operador em cada extremidade com uma baliza sobre cada ponto topográfico.

Procedimento:Um operador de ré (A), com o auxílio de um outro, ou não, segura o diastímetro e outro operador posiciona-se em C com uma baliza. Neste momento com a medida d, as três balizas devem estar perfeitamente alinhadas (ACB), confere-se mais uma vez a distância e, então, fixa-se a baliza em C.

Com a baliza em C fixa, este será o novo operador de RÉ, e quem estava em A vai para o ponto D, alinha-se novamente CDB e confere a medida d, e assim sucessivamente. A medida x será o que faltar até chegar no ponto B, sendo, portanto, menor que d.

A medida d é comumente chamada de trenada, e em geral, equivale a 20 m. logo a distância de AB será: DAB = 3 x d + x

Deve-se ter alguns cuidados na medição direta:

  • O diastímetro deve ficar sempre na horizontal;
  • As balizas, quando posicionadas devem ficar bem verticalizadas e perfeitamente alinhadas, não sair do alinhamento definido pelas extremidades.

2.1.3 Medição em terreno íngreme

Realiza-se basicamente como no caso anterior, quanto ao procedimento, a diferença está na trenada, que deve ser menor (5m < d < 10 m).

2.1.4 Práticas de medição com diastímetro

Dependendo da situação, no campo, podemos precisar medir ou prolongar, alinhamentos, definir um alinhamento perpendicular a outro ou mesmo ter uma idéia da medida de um ângulo. Isto poderá ser conseguido simplesmente com a ajuda de um diastímetro e balizas.

Medidas de alinhamentos

Acessórios: Diastímetro, balizas, piquetes, tachas, marreta, tinta vermelha, e estacas.

Seja medir um alinhamento AB (de A para B) e depois BA (de B para A); denomina-se AB = vante e BA = ré.

Coloca-se uma baliza no ponto A e outra no ponto B; depois outra baliza a intervalos regulares (trenada , em geral 20 m), entre A e B.

As medidas obtidas de AB e BA, apesar de ser o mesmo alinhamento, deverão ser diferentes, o que nos leva a induzir que houve um erro (ε).

Determinação de um alinhamento perpendicular a outro,num ponto qualquer

O processo é realizado pelo Triângulo Pitagórico (retângulo) de medidas 3, 4, 5 ou 6, 8, 10, com diastímetro e baliza.

Procedimento:Apoiam-se duas balizas, definindo um dos catetos, que deve estar alinhado com o alinhamento P1P2, sobre o qual se quer tirar a perpendicular, a partir de A.

O diastímetro (trena) terá como origem (0 m –zero metro) o ponto C e a partir daí vai-se até o ponto A, chegando com 3 m. Para definir o ponto B, implantando outro cateto, chega-se a mais 4 m, portanto, o diastímetro deverá marcar 7 m (baliza móvel). Esta só era fixa quando completando o triângulo retângulo 3, 4, 5, fazendo 12 m = ao 0 (zero) do ponto C.

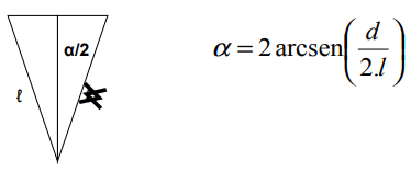
Determinação de um ângulo entre dois alinhamentos quaisquer

A determinação angular, neste caso, é expedita, uma vez que não será usado o equipamento próprio para tal feito, que seria o Teodolito.

Procedimento: Medem-se duas distâncias iguais ou diferentes (cada uma sobre cada alinhamento que define o ângulo). Marcam-se os pontos A e B e a distância entre eles (corda). Casos a considerar:

- Se as distâncias que definem os pontos A e B forem diferentes, então:

(Lei dos cossenos); as distâncias l1 e l2 podem se aproximar entre 10 a 15 m.

Se as distâncias forem iguais, ou seja, l1 = l2 = l, utiliza-se a trigonometria no triângulo isósceles. Tem-se, portanto:

d/2 d/2

Estaqueamento

Definição: é o processo de implantação ou demarcação gráfica, ou no terreno, de uma medida de comprimento através da Estaca – distância horizontal correspondente a 20 metros, em geral.

O estaqueamento é bastante utilizado na topografia: em estradas, loteamentos, adutoras, canais.

Uma estaca é identificada pela parte inteira (múltiplos de 20) e a parte fracionária (valores em metros menores que 20).

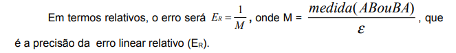
2 Principais fontes de erro na medida de distâncias com diastímetro

2.16 Principais fontes de erro na medida de distâncias com diastímetro

  • Tensão: decorrente da força aplicada às extremidades do diastímetro. Esta força varia de 8 a 12 kgf; tem influência na catenária;
  • Temperatura: decorrente das condições atmosféricas/clima, influenciando na dilatação (temperaturas altas) ou contração (temperaturas baixas) do diastímetro;
  • Catenária: curvatura que o diastímetro faz devido a seu peso;

Desvio Lateral: afastamento lateral em relação ao alinhamento a ser medido;

A baliza no ponto C está fora do alinhamento. Este erro é pequeno, pois é percebível por quem informa a condição de alinhamento.

Desvio vertical: inclinação do diastímetro durante a medição; O diastímetro deve ficar o máximo possível na horizontal.

Comprimento nominal do diastímetro diferente do que está sendo utilizado (diastímetro não-aferido): O comprimento Nominal de um diastímetro é a medida padrão (de fábrica). Com o uso contínuo do mesmo, e dependendo do material, há uma tendência para deformação, tendendo a dilatar ou contrair o comprimento real. Daí, de posse de um diastímetro que permita fazer a comparação da medida padrão, ocorre o que se chama aferição do diastímetro. Esta aferição, em geral, é feita por órgãos oficiais. Por exemplo, uma trena de fibra de vidro que marca 20,00 m e, depois de aferida, o comprimento real é de 20,08 m.

As distâncias medidas com esse tipo de erro podem ser corrigidas através da expressão:

Onde, DC é a distância corrigida; ℓN é o comprimento Nominal do diastímetro; ℓA é o comprimento aferido do diastímetro e DM, a distância medida

2.2 Goniometria - Medição de ângulos

Para se medir um ângulo com precisão (uso do teodolito) entre dois alinhamentos, há dois processos: o Direto e o Indireto.

2.2.1 Processo direto:É aquele em que a medida angular é obtida em função do ângulo de Flexão (ângulo entre dois alinhamentos consecutivos, no ponto comum); é o ângulo efetivo entre dois alinhamentos;

Com o instrumento estacionado sobre o ponto B, visa-se primeiro o ponto A (ré) e depois o ponto B (vante). O ângulo lido deverá ser Ø.

a. - Procedimentos para medida de um ângulo direto

Para se fazer a leitura com aparelho, tem-se três maneiras básicas:

a) Leitura Simples:Consiste em avaliar o ângulo uma única vez; a leitura a ré não necessita ser exatamente zerada (00° 00’ 00”).

b)Leitura por repetição:Consiste em medir o ângulo mais de uma vez. A medida angular final será a média aritmética das leituras.

A leitura de ré não precisa ser zerada.

c)Leitura pelo método das direções:Consiste em medir um ângulo a intervalos conhecidos no limbo, através de leituras conjugadas, isto é, nas duas posições da luneta, posição direta (PD) e posição inversa (PI). Essas leituras, nas duas posições a intervalos conhecidos, chama-se REITERAÇÃO (simples ou múltipla). O ângulo final é dado por:

O giro de ida pode ser na posição direta e o de volta na posição inversa.

Procedimento: Visa-se o ponto à ré, na posição direta (PD), e após o ponto à vante, ainda em PD. Fixa-se o movimento geral (MGH) com a leitura que estiver no Limbo. Báscula-se a luneta (giro em torno do eixo secundário), tornando a luneta na posição inversa (PI), solta-se o parafuso do MGH e visa-se novamente o ponto à ré, agora em PI. Daí, visa-se o ponto a vante (PI).

2.2.2 Procedimento Indireto:

É aquele em que a medida angular entre dois alinhamentos é obtida através do ângulo de deflexão. Este é definido como o ângulo entre o prolongamento do alinhamento anterior para o alinhamento seguinte. Varia de 0° a 180°.

Observa-se que a deflexão pode ser de duas naturezas: à esquerda (de) e à direita (dd).

Deflexão:Esquerda: quando o ângulo lido (flexão) for menor que 180°, então: de = 180° – al;

Direita: quando o ângulo lido (flexão) for maior que 180°, então: dd = al - 180°

Pode-se fazer também, o cálculo da deflexão da seguinte forma:

D = Al −180° , se “D” for positivo a deflexão será à direita, e se for negativo a deflexão será à esquerda.

Exemplos: Um ângulo lido em campo foi de 175° 20’, qual o valor da deflexão informando se direita ou esquerda? R = 4° 40’ E

2.2.3 Caderneta de Campo

Os dados que são medidos no campo são anotados num documento específico para este fim que é a caderneta de campo. Esta, em alguns instrumentos eletrônicos, recebe o nome de coletor de dados ou caderneta eletrônica.

Caderneta eletrônica- coletor de dados

O aspecto de uma caderneta convencional para anotação dos dados, como exemplo, pode ter o aspecto seguinte:

2.2.4 Azimute e rumo de um alinhamento

Todo alinhamento em topografia deve ser orientado, e uma das formas é em relação a direção Norte. Esta orientação se dá através de um ângulo entre esta direção e a do alinhamento. Para melhor entendimento do assunto devemos estudar o Círculo topográfico.

2.2.4.1 Círculo Topográfico

De maneira similar ao ciclo trigonométrico, existe o círculo topográfico que é uma circunferência dividida em quatro partes iguais, através de um sistema de eixos cartesiano (X,Y) que se cruzam ao centro dela. Cada parte dividida é chamada de Quadrante.

Círculo topográfico:

Círculo Trigonométrico:

Percebe-se, uma diferença básica entre os círculos que é a numeração dos quadrantes, uma no sentido horário e outra no sentido anti-horário.

2.2.4.2 Azimute de um alinhamento

É o ângulo formado entre a direção Norte (magnética, verdadeira, assumida) e o alinhamento, contado no sentido horário. Este azimute, também é conhecido por Azimute à direita. A variação angular do azimute é de 0° a 360°.

Então, de acordo com os quadrantes, tem-se:

2.2.4.3 Rumo de um Alinhamento

É o ângulo formado entre a direção Norte-Sul (magnética, verdadeira ou assumida) e o alinhamento, partindo da ponta Norte ou da ponta Sul, contado da que estiver mais próxima do alinhamento. A variação angular é de 0° a 90°.

Os rumos terão seus quadrantes identificados pelos Pontos Colaterais: NE (ou NL), SE (ou SL), SW (ou SO) e NW (ou NO).

A notação de Rumo pode ser feita das seguintes maneiras:

ROB = 30° SE (mais usual) ou ROB = S 30° E (Esta forma é utilizada em alguns países da Europa e, alternativamente, no Sudeste do Brasil).

Com relação aos quadrantes, podem-se identificá-los, segundo os pontos colaterais:

No 1º Quad, R = NE; No 2º Quad. R = SE;

No 3º Quad. R = SW; No 4º Quad. R = NW.

Deve-se sempre lembrar que o valor angular do rumo nunca ultrapassa os 90° e a sua origem está ou no Norte ou no Sul. Nunca no Leste ou Oeste.

Observe-se, também, que os rumos 0A (NE) e 0C (SW), são no sentido horário. E os rumos 0B (SE) e 0D (NW), são no sentido anti-horário.

2.2.4.3 Conversão de azimute em rumo e vice-versa

De acordo, com o explicitado nos itens anteriores, pode-se notar que o círculo topográfico é o mesmo, tanto para Azimute como para Rumo. Daí, haver pelo menos um azimute e um rumo para cada alinhamento, através de correlações entre eles. Seja o círculo topográfico a seguir.

Portanto, pode-se fazer uma correlação matemática entre as duas formas de orientação dos alinhamentos. Logo:

Estas são as quatro equações de transformação de Azimute em Rumo e viceversa. Ou seja, se conhecermos o Rumo calculamos o Azimute, ou se conhecermos o azimute calculamos o rumo.

Exemplo: Transformar em azimute ou rumo as seguintes orientações:

AZ = 271° 20’ 39”; Sendo de 4º Q ⇒ R = 360 – 271° 20’ 39” = 88° 39’21” NW;

R = 23° 15’ SE; Este rumo é de 2º Q ⇒ AZ = 180° - 23° 15’ = 156° 45’;

AZ = 67° 21’; Este azimute é de 1º Q ⇒ R = 67° 21’ NE;

AZ = 180°; Interseção dos 2º e 3º Quadrantes, logo: R = 0° S (Sul);

R = 90° W; coincidência dos 3º e 4º Quadrantes, logo: AZ = 270°.

3 Estudo de Teodolito

2.2.5 Estudo de Teodolito

O Teodolito é um goniômetro de precisão destinado a medir ângulos horizontais e verticais em Topografia e Geodésia. Variam de forma, procedimentos para utilização de acordo com os fabricantes. E podem ser classificados quanto ao tipo e Desvio-Padrão de suas leituras (valor angular ).

2.2.5.1 Classificação quanto ao tipo de leitura

a) Leitura direta: a leitura dos ângulos (graduação - escala de leitura) é exposta na periferia (corpo) do aparelho, é vista diretamente na parte externa do teodolito; são teodolitos mecânicos.

b) Prismáticos: Também conhecidos por analógicos ou mecânicos. A leitura é feita com auxílio de espelhos em forma de prismas, localizados dentro do aparelho, que refletem a leitura da graduação indicando o ângulo medido. A escala graduada chama-se Limbo ou Círculo Graduado.

c) Taqueômetros: São instrumentos que, além de medir ângulos, possuem a característica de medir, distâncias horizontais e verticais, indiretamente, através de um dispositivo integrado ao aparelho (fios de retículo) e outros acessórios (Mira, trigonometria do triângulo retângulo). É ideal para terrenos acidentados, relevos íngremes. Podem ser teodolitos mecânicos ou eletrônicos.

d) Eletrônicos: Decorrentes do grande avanço tecnológico na área de informática e eletrônica. Os ângulos são lidos diretamente em visor com disoplay de cristal líquido (LCD), leitura digital. Funciona à bateria ou pilhas. Pode ser usado em todo o tipo de relevo e oferece ótimas precisões. Estes instrumentos podem medir ângulos digitalmente ou ângulos e distâncias digitalmente. Quando estes vêm com um equipamento internamente que mede eletronicamente distâncias entre pontos – Distanciômetro, recebem o nome de estação total.

Observa-se uma diferença básica entre os dois que está na Luneta, as das estações totais são mais robustas, pois contêm o distanciômetro. Para se efetuar as medidas de distâncias são necessários alguns acessórios como prisma refletor (com ou sem sinal) que funcionam através de reflexão de raios infravermelhos, laser ou microondas.

Existem diversas marcas comercializadas: Pentax, Nikon, Topcon, Leica (fusão da Wild e Kern), Sokkia, CST-BERGER, entre outras. E, portanto, variam em preço, R$ 3.000,00 a 100.000,00 (2005), conforme fabricante e precisão. As precisões variam de décimos de segundos até minutos (1’ a 10’)

Um dos aparelhos mais modernos é um lançamento recente (2005) que acopla uma estação total com um GPS (Sistema de Posicionamento Global).