Amostragem de Solo Para Análise Química

Análise de Solos

1 Introdução: Amostragem do Solo Para Análise Química:

É necessário avaliar a fertilidade do solo para caracterizar sua capacidade em fornecer nutrientes para as plantas, identificar a presença de acidez e elementos tóxicos, orientar programas de adubação e correção do solo e escolher espécies ou variedades mais adaptadas ao cultivo em uma determinada área. Para fazê-la, podem ser utilizados métodos químicos, biológicos, plantas nativas indicadoras, desenvolvimento das plantas, coloração do solo etc. O método de análise química é o mais abrangente e econômico.

A análise química do solo é feita em várias etapas: coleta da amostra no campo, encaminhamento ao laboratório, preparo, extrações e determinações analíticas. Embora seja a mais simples, a amostragem é a operação mais importante, pois uma pequena quantidade de solo recolhida deve representar as características de uma grande área. Vejamos o exemplo: é encaminhada ao laboratório uma amostra de 500 g de terra, representando 5 ha, da qual são tomados 10 g para análise. Ora, considerando que a camada de 0-20 cm de lha pesa aproximadamente 2.000 t (tomando-se uma densidade de 1,0 g/cm³), conclui-se que a amostra final efetivamente analisada corresponde a 1 bilionésimo da área amostrada.

Portanto, os procedimentos para a amostragem devem ser rigorosos, pois as análises laboratoriais — etapa mais sofisticada, do ponto de vista operacional e instrumental — não corrigem as falhas de uma coleta deficiente no campo. Salienta-se, ainda, que uma amostragem mal executada pode induzir a posteriores erros na interpretação do resultado da análise, com o consequente comprometimento técnico e econômico de um programa de adubação e correção do solo.

Este trabalho apresenta instruções para amostragem de solos cultivados com culturas anuais (sob plantio convencional e direto), culturas perenes, pastagens/capineiras e de várzeas, visando atualizar, com os novos conhecimentos adquiridos, o Boletim Técnico n° 1 , publicado em 1975.

 

Materiais:

 

Para a amostragem de solo são necessários os seguintes materiais: trado ou pá reta ou enxadão, balde plástico e saco plástico (Figura 1). Dos trados utilizados, os tipos mais comuns são o holandês, de rosca e tubo.

2 Seleção da Identificação da Área a Ser Amostrada:

Inúmeros fatores contribuem para as variações no nível de fertilidade do solo de uma área a ser amostrada. O princípio básico para delimitação de uma área é a uniformidade dentro da unidade. Assim, a área a ser amostrada deverá ser subdividida em talhões (subáreas) que apresentem a maior homogeneidade possível quanto à topografia, vegetação, espécie cultivada, sistemas de cultivo e manejo do solo, características físicas (textura), cor, profundidade do solo, drenagem etc. A Figura 2 ilustra a divisão de uma área a ser amostrada em talhões.

 

As áreas assim determinadas deverão ser delimitadas em um mapa (planta baixa) da propriedade e identificadas numericamente. Recomenda-se utilizar uma ficha para cada área identificada (Figura 3), com a finalidade de fornecer uma descrição ambiental mínima e um sumário do histórico de uso da gleba, visando o aprimoramento das recomendações de fertilizantes e corretivos.

Outros fatores que determinam a subdivisão de área á ser amostrada em glebas homogêneas serão discutidos em capítulos específicos para culturas perenes, anuais, em plantios convencional e direto, em várzea, pastagens e capineiras.

 

Época de Amostragem:

 

A época de amostragem do solo é definida principalmente pelas condições climáticas, tipo de cultivo (anual de inverno/verão ou perene) e sistemas de manejo do solo. Esses aspectos serão apresentados em capítulos específicos.

 

 

 

Local e Execução de Amostragem:

 

Os locais para obtenção das amostras de solo nas glebas homogêneas não superiores a 10 ha são determinados aleatoriamente em um caminhamento ziguezague, conforme Figura 4. Outros tipos de percurso serão detalhados para cultivos específicos. Recomenda-se coletar amostras simples em número de 10 a 20 pontos limpando-se em cada local a superfície do terreno, retirando-se as folhagens e outros restos de plantas, resíduos orgânicos etc, sem contudo raspar a terra. Deve-se evitar que esses pontos estejam em locais erodidos, ou onde o solo tenha sido modificado por formigas ou cupins, utilizado como depósito de corretivos, adubos, estéreos, passagem de máquinas, animais etc.

 

As amostras simples deverão ser reunidas em um balde plástico limpo e bem misturadas, formando uma amostra composta. Após homogeneização, retirar aproximadamente 500 g de terra, transferir para saco plástico sem uso, identificar pelo número correspondente da área e especificar informações complementares.

Outros detalhes do local de amostragem para culturas perenes, anuais, em plantios convencional e direto, em várzeas, pastagens e capineiras serão apresentados nos capítulos específicos deste trabalho.

 

Profundidade de Amostragem:

 

A profundidade de amostragem é determinada principalmente pela camada de solo ocupada pela maior densidade de raízes e características do perfil de solo natural ou modificado pelo manejo. Esses aspectos serão discutidos em capítulos específicos para culturas perenes, anuais, em plantios convencional e direto, em várzea, pastagens e capineiras.

 

Frequência da Amostragem:

 

A frequência de amostragem do solo é dependente da intensidade de uso da área e dos sistemas de cultivo adotados, principalmente com relação aos critérios usados para correção da acidez e adubação do solo. Contudo, devido as pequenas variações que ocorrem no solo decorrente do cultivo rotineiro, as amostragens do solo podem ser realizadas em intervalos de 3 a 5 anos. Essa frequência pode ser reduzida quando for observado algum comportamento diferencial no desenvolvimento da cultura ou quando forem empregados novos critérios de adubação das culturas ou correção do solo indicados pelos órgãos de pesquisa ou assistência técnica.

 

Encaminhamento da Amostra:

 

As amostras, contendo aproximadamente 500 g, identificadas e acondicionadas em sacos plásticos são encaminhadas para os laboratórios.

O Paraná conta com laboratórios de análise de solo vinculados ao poder público e à iniciativa privada. Desde 1989 o Estado possui um programa de controle de qualidade, cujo objetivo é garantir um alto nível de confiabilidade dos resultados. Na Tabela 1 constam os nomes e endereços dos laboratórios do Paraná que prestam serviços aos agricultores e participam do sistema de controle de qualidade.

 

3 Plantio Convencional:

Plantio convencional refere-se ao sistema de preparo do solo que consiste de uma aração com arado de discos ou aivecas — à profundidade aproximada de 20cm — seguida de duas gradagens niveladoras.

Uma característica do plantio convencional, e suas variações, é a distribuição uniforme dos elementos inorgânicos e orgânicos na camada trabalhada. Essa distribuição normalmente induz teores de nutrientes inferiores aos encontrados em solos submetidos ao plantio direto, notadamente para fósforo, potássio e carbono, devido a maior fixação, perdas por erosão e mineralização, respectivamente.

 

Seleção e Identificação da Área a Ser Amostrada:

 

Complementando os critérios gerais, devem ser delimitadas em separado, as áreas que eventualmente tenham sido submetidas a tratamentos diferenciados em relação a calagem, adubação ou sistemas de rotação e/ou sucessão de culturas.

Também é recomendável que, por ocasião da delimitação das glebas homogêneas, a área a ser amostrada esteja ocupada por alguma cultura que permita avaliar as diferenças em relação ao desenvolvimento das plantas.

 

Época e Frequência de Amostragem:

 

Embora admissíveis, variações nos resultados da análise do solo em função da época de amostragem não são preocupantes do ponto de vista prático. Em geral não alteram a interpretação dos resultados, tendo em vista a amplitude das classes de fertilidade usualmente empregadas para recomendações de fertilizantes e corretivos.

Dessa forma, é recomendável que a amostragem e a análise do solo sejam efetuadas com uma antecedência mínima de 4 meses do início de um programa de adubação das culturas de inverno ou verão, visando proporcionar tempo hábil para escolha e aquisição de corretivos e fertilizantes e seleção de cultivares mais adaptadas às condições de fertilidade.

Devido à pequena variação nos teores dos nutrientes no solo em decorrência das práticas rotineiras de adubação das culturas, as amostragens para recomendação dos fertilizantes poderão ser realizadas em intervalos de 3-4 anos. Contudo, caso haja algum procedimento para adubação e correção, não adotado usualmente, é recomendável uma nova amostragem.

 

 

Profundidade de Amostragem:

 

O maior volume do sistema radicular das culturas anuais e as maiores alterações químicas e físicas em solos cultivados em plantio convencional ocorrem na camada de 0-20cm de profundidade. Por essas razões, as recomendações de fertilizantes e corretivos baseiam-se na interpretação de resultados analíticos determinados em amostras obtidas nessa camada.

Entretanto, para avaliação mais aprimorada da fertilidade de uma determinada gleba e o diagnóstico de possíveis distúrbios nutricionais, principalmente toxidez de alumínio, é recomendável a análise de amostras obtidas em profundidades de 20-40 e de 40-60cm. Esse procedimento é obrigatório para escolha de cultivares de trigo, visto que a recomendação para o plantio nas diversas regiões do Estado é efetuada em função da tolerância das cultivares ao alumínio e reação ao acamamento, esta última diretamente relacionada à fertilidade do solo.

Para o algodoeiro, o conhecimento das condições de acidez subsuperficial é muito importante, pois saturações de alumínio superiores a 20% podem comprometer ou até inviabilizar a cultura nestas áreas.

4 Plantio Direto:

Em muitos aspectos, a amostragem do solo em áreas cultivadas em plantio direto é semelhante a de áreas cultivadas em sistemas de preparo onde o solo é revolvido. Porém, em função do não revolvimento, as áreas de plantio direto adquirem características que numa amostragem convencional (0-20cm) poderá trazer problemas para a interpretação e recomendação de corretivos e fertilizantes. Estas características serão aqui discutidas.

 

O Perfil do Solo em Plantio Direto:

 

É conhecido que, sob diferentes sistemas de preparo, o perfil do solo adquire características próprias em termos de distribuição de nutrientes, elementos tóxicos, matéria orgânica, pH e do sistema radicular. Em áreas com sistema de plantio direto há uma tendência de concentração dos nutrientes e da matéria orgânica nos primeiros centímetros de solo (Young Jr., 1982; Muzilli, 1983; Centurion et al. 1985; Eltz et al. 1989). Isto se deve basicamente ao padrão de mobilidade dos íons no solo, não incorporação de fertilizantes e corretivos através do revolvimento e ao enriquecimento das camadas mais superficiais pela decomposição dos resíduos das culturas.

No entanto, a distribuição dos nutrientes no perfil nem sempre está ligada a disponibilidade as plantas. Fatores como disponibilidade de água, aeração e atividade radicular podem ou não compensar uma eventual má distribuição dos nutrientes no perfil. Neste sentido, é também conhecido que, em geral, sob plantio direto o solo tende a apresentar maior disponibilidade de água e menores amplitudes térmicas que nos sistemas de preparo em que há revolvimento. Isso favorece o desenvolvimento radicular e absorção de nutrientes pelas plantas.

Devido a esses aspectos, a amostragem do solo em áreas cultivadas em plantio direto, em sistemas de cultivos anuais, deve ser diferenciada, para não se incorrer em possíveis erros de interpretação da fertilidade do solo.

 

Local e Época de Amostragem:

 

Para escolher o ponto de amostragem em áreas de plantio direto, o agricultor ou técnico necessita tomar alguns cuidados especiais. Como em plantio direto o solo não é revolvido, os fertilizantes concentram-se na zona dos sulcos de semeadura. Quando o agricultor fertiliza a cultura de inverno (trigo, cevada, centeio, aveia, azevém etc), semeada em espaçamento estreito (15 a 20cm), a distribuição dos fertilizantes na área tende a ser mais homogênea que nos casos de fertilização apenas das culturas de verão (soja, milho, arroz, sorgo, girassol etc), cujos espaçamentos são mais largos (40 a 100cm). Essa desuniformidade tende a desaparecei com o tempo, não se constituindo em problema caso a área apresente um bom padrão de fertilidade desde a implantação do sistema.

Entretanto, a amostragem no sulco de semeadura recentemente fertilizado pode induzir a erros de interpretação e, consequentemente, de recomendação de fertilizantes. Para não se correr esse risco, em áreas com concentrações de adubos na zona dos sulcos, a melhor época para fazer a amostragem é no final do ciclo ou após a colheita da cultura de verão, quando ainda se pode distinguir claramente as linhas da cultura presente ou antecessora. Assim fazendo, o agricultor fertilizará a cultura de inverno e alcançará uma homogeneização mais rápida da área.

Este aspecto é particularmente importante em áreas de baixa ou média fertilidade, onde-a zona dos sulcos pode ser muito mais fértil que nos entressulcos.

 

Limpeza do Local:

 

Em plantio direto, o solo geralmente se encontra coberto por uma camada de resíduos vegetais. Esses resíduos precisam ser retirados no momento da amostragem. A Figura 5 mostra o procedimento correto no local de amostragem.

 

Profundidade de Amostragem:

 

Provavelmente, é o aspecto em que há maior diferença entre a amostragem do solo em plantio direto e sob preparo convencional. Devido à tendência de concentração dos nutrientes próximos à superfície, há necessidade de subdivisão da profundidade costumeiramente adotada em preparo convencional, que é de 0 a 20cm. Se a subdivisão não for realizada, corre-se o risco de se obter, na análise, uma média grosseira da fertilidade da camada amostrada, sem, no entanto, detectar a existência ou não de um gradiente de fertilidade.

É um aspecto que tem particular importância nos seguintes casos: a fertilidade do local é baixa e não sofreu adequação antes de iniciar o sistema de plantio direto, o solo apresenta baixo teor de cálcio e/ou alto teor de alumínio na subsuperfície, são exploradas culturas exigentes em fertilidade e água e a área se localiza em região onde há frequentes veranicos.

Como essas condições geralmente estão presentes no Paraná, recomenda-se que as amostragens de solo em áreas de plantio direto sejam realizadas nas profundidades de 0-5cm e 5-20cm.

Como orientação geral, cabe salientar que a profundidade de amostragem deve ser considerada para todos os tipos de preparo utilizados, uma vez que, a profundidade universal de 0 a 20cm cabe muito bem apenas para situação de aração com discos ou aivecas nesta profundidade. Para preparos mais rasos ou com implementos de dentes, que não revolvem tanto o solo, gradientes de fertilidade podem ocorrer em diversos graus e profundidades. Neste aspecto, a subdivisão da amostragem do solo em profundidade pode indicar a adubação mais adequada ao sistema de preparo.

5 Culturas Perenes:

As culturas perenes ou de ciclo longo estabelecidas requerem procedimentos especiais para a coleta da amostra de solo, devido ao próprio manejo (movimentação mínima do solo), a aplicação superficial e localizada de fertilizantes, a distribuição radicular, o crescimento lento, a demanda diferencial de nutrientes durante o ano e a maior capacidade de armazenamento de nutrientes do que a maioria das culturas anuais.

Nas culturas perenes, os fertilizantes são aplicados na superfície com um mínimo de movimento do solo, a exemplo do que ocorre nos cultivos em áreas de plantio direto. A grande diferença é que, nas culturas perenes, os fertilizantes são aplicados, em geral, sob a projeção da copa das plantas. Essa prática, repetida por vários anos, causa não apenas um gradiente de fertilidade vertical, como no plantio direto, mas também horizontal.

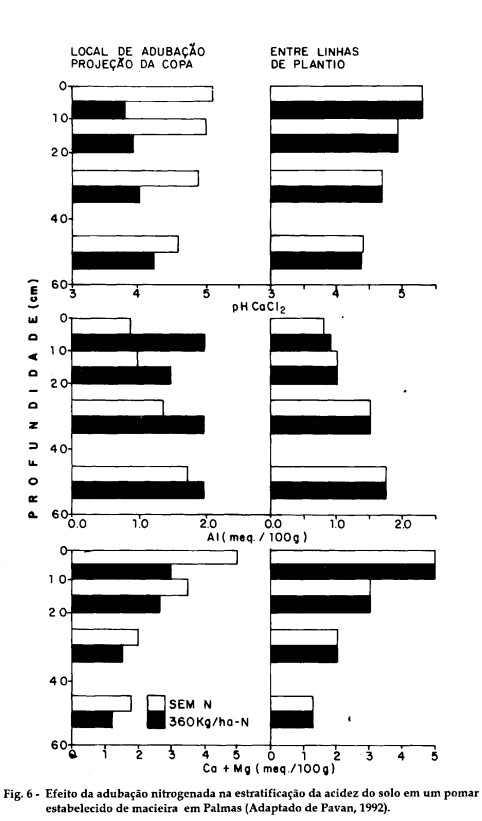
A adubação nitrogenada em culturas perenes causa uma acidificação residual apenas no local de aplicação do fertilizante, cujo grau e profundidade dependem da fonte e da dose de nitrogênio. A Figura 6 ilustra a estratificação vertical da acidez do solo (expressa em valores de pH, Al, Ca e Mg), causada pela adubação nitrogenada em um pomar estabelecido de macieira. A adubação fosfatada também causa variações químicas no perfil do solo, devido ao acúmulo de fósforo próximo à superfície, apenas no local de aplicação do fertilizante (projeção da copa das árvores).

 

Essas condições, tornam heterogêneos quimicamente (tanto vertical como horizontalmente) os solos ocupados por culturas perenes, com algumas implicações na nutrição das plantas.

Há ainda outro aspecto a ser considerado: embora as culturas perenes tenham um sistema radicular mais profundo, apresentam menor demanda de elementos químicos por volume de solo e por unidade de tempo do que as culturas anuais, devido ao crescimento lento e à absorção diferencial de nutrientes durante o ano. Isso torna necessário que se avalie um maior número de camadas para o diagnóstico da fertilidade.

6 Seleção e Identificação da Área a ser Amostrada:

Além dos fatores de variação mencionados para divisão da área em glebas homogêneas, para as culturas perenes deve-se considerar também os seguintes aspectos da área a ser amostrada: idade das plantas, porta enxerto/copa, pé-franco, poda, sistema de condução/adubação, população de plantas, produção, plantas livres de vírus, sombreamento, cobertura do solo, cultura intercalar, adubação verde, sistema de manejo das ervas daninhas, sistemas de plantio em linhas simples ou pareadas etc.

 

Época de Amostragem:

 

Para frutíferas, como regra geral, cerca de 3 meses antes do pleno florescimento. Em áreas cultivadas com cafeeiros a amostragem do solo deve ser efetuada após a colheita e/ou esparramação. Para a amoreira a amostragem do solo deve ser feita aproximadamente 30 dias antes do último corte de outono/ inverno.

 

Local e Frequência de Amostragem:

 

Para culturas perenes, recomenda-se coletar amostras de solo separadas: uma no local da adubação (normalmente na projeção da copa das plantas) e outra entre as linhas de plantio ou no centro das ruas (Figura 7). 

 

No caso da amoreira, recomenda-se também coletar amostras em dois locais: entre e dentro das linhas pareadas. O principal objetivo de coletar amostras separadas é identificar a necessidade de correção da acidez em toda a área ou apenas na faixa adubada. Caso a acidez se localize na faixa de adubação, a quantidade de calcário deve ser ajustada à área efetivamente ácida.

Em virtude da maior variação das características químicas do solo, a frequência de amostragem deve ser maior no local da adubação. Recomenda-se fazer amostragens no local da adubação a cada 2-3 anos, e do lado externo da faixa adubada (centro da rua) a cada 4-5 anos. Para cultivos perenes em sistemas de plantio adensado na linha, a recomendação é que se faça o percurso em forma de "U" para coleta de amostras simples (Figura 8).

 

Profundidade de Amostragem:

 

Além dos aspectos inerentes às plantas perenes, discutidos anteriormente, também causam gradiente de fertilidade no perfil as características químicas naturais do solo e as alterações químicas decorrentes dos sistemas de manejo, como adubação verde, plantio adensado, cobertura vegetal viva ou morta, roçada das ervas daninhas, uso de compostos ou outros materiais orgânicos, reposição dos restos vegetais dentro das ruas pareadas (no caso da amoreira) etc.

 

Em geral, essas técnicas agronômicas proporcionam acúmulo de matéria orgânica e de nutrientes (principalmente fósforo, cálcio, magnésio e potássio), aumentam o pH e capacidade de troca catiônica efetiva e diminuem o teor de alumínio no solo. Considerando esses vários aspectos relacionados com as culturas perenes, recomenda-se coletar amostras de solo na seguintes profundidades: 0-10,10-20, 20-40,40-60cm.

7 Os Solos Várzeas:

Os solos de várzea são aqueles encontrados nas planícies dos rios, onde se desenvolveram pela deposição de sedimentos. Como os sedimentos têm grande heterogeneidade quanto à composição granulométrica e mineralógica, os solos deles desenvolvidos apresentam grande variação de características de um local para outro.

Para amostrar adequadamente um solo de várzea, deve-se considerar que esses solos se originaram em planície de inundação ou aluvionamento de um rio.

Nas suas cabeceiras de formação, os rios têm energia capaz de desagregar rochas e transportar materiais. Quando atinge áreas menos acidentadas e declivosas, o curso de água perde muito de sua energia e imediatamente deposita, lateralmente ao seu eixo, os materiais mais grosseiros que transporta. Os sedimentos são constituídos por materiais diversos como: seixos, areia, limo e argila, e sua deposição se faz de maneira regular, seguindo uma sequência granulométrica, nos sentidos vertical e horizontal (Figura 9).

Nessas condições, as planícies aluvionares apresentam numa sequência horizontal a partir das margens dos rios, solos arenosos, de textura média ou intermediária e solos argilosos. Em profundidade ou sequência vertical, os arenosos passam a ser mais grosseiros, enquanto os intermediários apresentam textura arenosa e os argilosos na superfície apresentam textura média para arenosa.

O transbordamento dos rios repete-se ao longo dos anos e a sequência de deposições altera a conformação das planícies elevando as margens e formando uma depressão entre o leito do rio e a encosta. Nessa concavidade cria-se uma situação de impedimento à saída das águas e se estabelece condições de pedohidromorfismo, formando-se assim os solos hidromórficos na sequência indicada na Figura 10.

 

Os rios que têm grandes planícies aluvionares, como o rio Paraná, também recebem afluentes caudalosos, como, por exemplo, o rio Ivaí. Esses afluentes, que nas cheias aluvionam suas próprias planícies, ao atingirem a planície maior sofrem dupla redução na sua velocidade e na capacidade de transporte, uma no sentido do rio principal e outra perpendicularmente ao seu próprio eixo.

A formação pedológica fica mais complexa, pois a bacia orgânica que estaria próxima às encostas passa a ser mais depressiva, localizada no meio da planície, com um formato arredondado e sem saída natural (Figura 11).

8 Seleção e Identificação da Área a ser Amostrada:

Do exposto, fica claro que nas várzeas ocorrem grandes grupos de solo em áreas relativamente próximas.

A identificação de áreas homogêneas deve ocorrer a partir do leito do rio ou córrego, caminhando-se paralelamente ao seu eixo, localizando-se as diferentes camadas de sedimentação horizontal (Figura 9) e os diferentes grupos de solos e bacias orgânicas que constituem os solos de várzea (Figuras 10 e 11).

Dentro de cada grupo de solo, para definição de áreas homogêneas, deve-se considerar ainda os diferentes graus de drenagem a qual o solo está submetido, uma vez que essa característica impõe alterações químicas que interferem na disponibilidade de nutrientes para as plantas.

Por fim, na definição de áreas homogêneas deve se considerar a sistematização e o manejo da água no solo da várzea em cultivo. Áreas com drenos muito espaçados podem necessitar de amostragem diferenciada no centro do tabuleiro e nas faixas próximas aos canais de drenagem. Contrariamente, tabuleiros ou áreas de cultivos que possuem rede de canais de drenagem próximos poderão ser considerados como áreas homogêneas.

Por ocasião da sistematização de várzeas deve-se fazer amostragens distintas em áreas de corte e de aterro, pois o manejo de fertilidade nessas áreas poderá ser diferente durante vários anos.

 

Local e Época de Amostragem:

 

Os locais para coleta de material para as amostras de solo são aleatórios, podendo adotar-se o critério indicando na Figura 4. Considerando-se as variações que ocorrem em solos de várzea, mesmo em áreas uniformes, o número de amostras simples para formar uma composta nunca deve ser inferior a 20 pontos.

Devido a variabilidade existente na densidade dos solos de várzea, principalmente nos orgânicos e gley húmico, é importante garantir o envio de amostra de 500g de solo, mesmo que os volumes encaminhados para análise sejam diferentes.

 

Profundidade de Amostragem:

 

Nos solos de várzea ocorrem variações acentuadas, não só devido à sedimentação no sentido horizontal, mas também devido à vertical (Figura 9). Além da diversidade granulométrica do material, a espessura do horizonte A, o teor de carbono, o excesso de água (deficiência de oxigênio) crescem dos gley pouco húmicos para os solos orgânicos, como pode ser observado na Figura 10 (Almeida et al, 1983).

Assim, a profundidade de amostragem deve ser variável com o tipo de solo e de acordo com sua diferenciação vertical. Nos gley pouco húmico, amostragens de 0-20 e 20-40cm podem caracterizar a fertilidade do solo. Nos solos orgânicos, maiores profundidades devem ser exploradas, sendo importante determinar o substrato mineral, o que pode ocorrer a partir dos 80cm, exigindo amostragens a 80-100cm de profundidade, principalmente no início de exploração da várzea.

 

 

Frequência de Amostragem:

 

A frequência de amostragem deve ser condicionada, principalmente, pelo manejo de solo que se realiza na várzea.

O cultivo de arroz irrigado por inundação — quando bem executado — e o uso de pastagem são formas de manejo que estabilizam os solos de várzeas quando comparados a cultivos que usam irrigação intermitente ou sistemas de cultivos que impõem preparo constante da área como a sucessão trigo e soja.

Assim, de acordo com os sistemas de cultivo e os critérios adotados para correção e adubação do solo, a frequência de amostragem dos solos de várzea deve variar de 3 a 5 anos. Os prazos menores deverão ser adotados para os sistemas mais intensivos de cultivo, que revolvem intensamente o solo e, consequentemente, promovem uma lixiviação mais intensa dos nutrientes. Prazos mais longos devem ser usados para os sistemas menos intensivos de cultivo.

9 Pastagens e Capineiras:

A amostragem de solo em áreas com pastagens (ou destinadas a sua formação e recuperação) e capineiras é importante para determinar a reposição de nutrientes ao solo e, com isso, evitar a sua degradação, a invasão de espécies rústicas de difícil controle — como a grama mato grosso, capim favorito, agriãozinho etc. — e proporcionar a persistência das pastagens, mantendo a produtividade de carne ou leite.

 

Seleção e Identificação das Áreas Para Amostragem:

 

O principal requisito a considerar na delimitação do terreno para amostragem é a homogeneidade. Os critérios para identificação de áreas homogêneas (como, por exemplo, espécie forrageira, desenvolvimento vegetativo, emprego de fertilizantes e manejo do gado) serão discutido em capítulo específico.

Todavia, se ressalta desde já que não é aconselhável a prática — muito comum — de considerar o piquete (separação de pastagens) como unidade homogênea, uma vez que pode haver, dentro de uma mesma divisão, diferenças na fertilidade em função do relevo, tipo de solo etc.

 

Época de Amostragem:

 

A amostragem deverá ser realizada entre março e maio, para as forrageiras de verão, e entre outubro e dezembro, no caso de pastagens de inverno. Assim, é possível conhecer antecipadamente a necessidade de corretivos e fertilizantes.

 

Local de Amostragem:

 

Em pastagem a amostragem deve ser efetuada em pelo menos 10 a 15 pontos, evitando-se locais próximos a cercas (pois é muito comum trilhos do gado), cochos de sal, bebedouros, currais, árvores, pontos que contêm fezes, áreas erodidas (sulcos e voçorocas), manchas de invasoras e sulcos de terraços. Em capineiras, deve-se fazer a amostragem nas entrelinhas, pois é o local onde serão feitas as adubações.

 

Profundidade de Amostragem:

 

Em pastagens e capineiras, estabelecidas e com baixa incidência de invasoras, a amostragem deve ser feita à profundidade de 0 a 10cm, pois, nessas culturas, as adubações e aplicações de corretivos são feitos a lanço, o que concentrará, com o tempo, os nutrientes nesta profundidade (Muzilli et al., 1978 e Sanchés, 1980).

Em pastagens e capineiras degradadas, que apresentam alta percentagem de invasoras e exigem reforma/recuperação com sucessão de culturas anuais, as amostragens devem ser feitas de 0-20cm de profundidade.

 

Frequência de Amostragem:

 

Depende da espécie forrageira explorada, manejo e nível tecnológico empregado.

A amostragem deve ser anual em áreas cultivadas com espécies exigentes e sob pastoreio (como o capim colonião, grama estrela, napier etc), capineiras (napier, cana-de-açúcar, guatemala etc.) ou alfafa.

Em áreas com forragem menos exigentes, como braquiárias (decumbens, humidícola etc), andropogon, capim gordura etc, a amostragem pode ser feita com intervalos de 2 a 3 anos.