Conceitos de Eletricidade

Eletricista Industrial

1 Eletricidade Estática:

O Átomo:

Tudo que ocupa lugar no espaço é matéria. A matéria é constituída por partículas muito pequenas chamada de átomos. Os átomos por sua vez são constituídos por partículas subatômicas: elétron, próton e nêutron, sendo que o elétron é a carga negativa (-) fundamental da eletricidade e estão girando ao redor do núcleo do átomo em trajetórias concêntricas denominadas de órbitas. O próton é a carga positiva fundamental (+) da eletricidade e estão no núcleo do átomo. É o número de prótons no núcleo que determina o número atômico daquele átomo. Também no núcleo é encontrado o nêutron, carga neutra fundamental da eletricidade. No seu estado natural um átomo está sempre em equilíbrio, ou seja, contém o mesmo número de prótons e elétrons. Como cargas contrárias se anulam, e o elétron e próton possuem o mesmo valor absoluto de carga elétrica, isto torna o átomo natural num átomo neutro.

Átomo Estável e Instável:

Um átomo é estável como vimos anteriormente, quando a quantidade de energia dos elétrons (-) e dos prótons (+) são iguais. Como os elétrons estão divididos em camadas distanciadas proporcionalmente do núcleo, os mesmo possuem energias diferentes, chamados níveis de energia. O nível de energia de um elétron é diretamente proporcional a distância do seu núcleo. Os elétrons situados na camada mais externa são chamados de elétrons de valência. Quando estes elétrons recebem do meio externo mais energia, isto pode fazer com o elétron se desloque para um nível de energia mais alto. Se isto ocorre, dizemos que o átomo está num estado excitado e portanto instável. Na camada mais externa suficiente, alguns dos elétrons de valência abandonarão o átomo, se tornando elétrons livres que produz a corrente elétrica num condutor metálico.

Leis das Cargas Elétricas:

Alguns átomos são capazes de ceder elétrons e outros são capazes de receber elétrons. Quando isto ocorre, a distribuição positivas e negativas que era igual deixa de existir. Um corpo passa a ter excesso e outro falta de elétrons. O corpo com excesso de elétrons passa a ter uma carga com polaridade negativa, e o corpo com falta de elétrons terá uma carga com polaridade positiva.

O Coulomb:

A quantidade de carga elétrica que um corpo possui é dada pela diferença entre número de prótons e o número de elétrons que o corpo tem. A quantidade de carga elétrica é representada pela letra Q, e é expresso na unidade COULOMB (C). A carga de 1 C = 6,25x1018 elétrons. Dizer que um corpo possui de um Coulomb negativo (-Q), significa que um corpo possui 6,25x1018 mais elétrons que prótons.

Carga Elétrica Elementar:

A menor carga elétrica encontrada na natureza é a carga de um elétron ou próton. Estas cargas são iguais em valor absoluto e valem e = 1,6 x 10-19 C

Para calcular a quantidade de carga elétrica de um corpo, basta multiplicar o número de elétrons pela carga elementar.

Q = n x e

2 Campo Eletrostático:

Toda carga elétrica tem capacidade de exercer força. Isto se faz presente no campo eletrostático que envolve cada corpo carregado. Quando corpos com polaridades opostas são colocados próximos um do outro, o campo eletrostático se concentra na região compreendida entre eles. Se um elétron for abandonado no ponto no interior desse campo, ele será repelido pela carga negativa e atraído pela carga positiva.

Quando não há transferência imediata de elétrons do/para um corpo carregado, diz-se que a carga esta em repouso. A eletricidade em repouso é chamada de eletricidade estática.

Diferença de Potencial:

Em virtude da força do seu campo eletrostático, uma carga é capaz de realizar trabalho ao deslocar uma outra carga por atração ou repulsão. Essa capacidade é chamada de potencial. Cargas diferentes produzem uma d.d.p. (diferença de potencial). A soma das diferenças de potencial de todas as cargas do campo eletrostático é conhecida como Força Eletromotriz (F.E.M.). A sua unidade fundamental é o Volt. A diferença de potencial é chamada também de Tensão Elétrica. A tensão elétrica é representada pela letra E ou U.

3 Eletrodinâmica:

Corrente Elétrica:

Determinados materiais, quando são submetidos a uma fonte de força eletromotriz, permitem uma movimentação sistemática de elétrons de um átomo a outro, e é este fenômeno que é denominado de corrente elétrica. Pode-se dizer, então que cargas elétricas em movimento ordenado formam a corrente elétrica, ou seja, corrente elétrica é o fluxo de elétrons em um meio condutor. A corrente elétrica é representada pela letra Ι e sua unidade fundamental é o Ampère.

A definição matemática da intensidade de corrente elétrica é dada por:

Fluxo de Corrente:

Se ligarmos às duas extremidades de um fio de cobre, uma diferença de potencial, a tensão aplicada faz com que os elétrons se desloquem. Esse deslocamento consiste num movimento de elétrons a partir do ponto de carga negativa Q − numa extremidade do fio, seguindo através deste e chegando à carga positiva Q + na outra extremidade. 

O sentido do movimento de elétrons é de – para +. Este é o fluxo de elétrons. No entanto para estudos convencionou-se dizer que o deslocamento dos elétrons é de + para – Este é o chamado de fluxo convencional da corrente elétrica.

Resistividade Elétrica:

Define-se resistência como sendo a capacidade de um fio condutor ser opor a passagem de corrente elétrica através de sua estrutura. Verifica-se experimentalmente que a resistência elétrica de um resistor depende do material que o constitui e de suas dimensões. Para simplificar a análise dessas dependências, vamos considerar que os condutores tenham a forma de um fio cilíndrico como mostra a figura abaixo. Esta é a forma largamente utilizada tanto na transmissão de energia elétrica como na construção de resistores.

Considere vários fios condutores de mesmo material, mesma área de secção transversal de comprimentos diferentes. Verifica-se que quanto maior o comprimento tanto maior é a resistência do fio. Então, a resistência é diretamente proporcional ao comprimento do fio.

Matematicamente: R = k ⋅ l

Se tomarmos vários condutores de mesmo material, mesmo comprimento, mas de diâmetro diferentes, verificamos que a resistência é inversamente proporcional à área da seção reta do fio.

A constante de proporcionalidade é uma característica do material e simboliza-se por ρ (letra grega rô). Recebe o nome de resistividade. A resistência de um condutor é diretamente proporcional ao seu comprimento e inversamente proporcional à área da secção transversal do fio. Assim:

 

No Sistema Internacional a unidade de resistividade é ohm-metro (Ωm). A condutância é o inverso de resistência. A unidade da condutividade é o mho (Ω -1) ou Siemens (S). 

Resistor Elétrico:

A energia elétrica pode ser convertida em outras formas de energia. Quando os elétrons caminham no interior de um condutor, eles se chocam contra os átomos do material de que é feito o fio. Nestes choques, parte da energia cinética de cada elétron se transfere aos átomos que começam a vibrar mais intensamente. No entanto, um aumento de vibração significa um aumento de temperatura.

O aquecimento provocado pela maior vibração dos átomos é um fenômeno físico a que damos o nome de efeito joule. É devido a este efeito joule que a lâmpada de filamento emite luz. Inúmeras são as aplicações práticas destes fenômenos. Exemplos: chuveiro, ferro de engomar, ferro elétrico, fusível, etc... O efeito joule é o fenômeno responsável pelo consumo de energia elétrica do circuito, quando essa energia se transforma em calor. O componente que realiza essa transformação é o resistor, que possui a capacidade de se opor ao fluxo de elétrons (corrente elétrica).

Símbolo:

Lei De Ohm:

Considere o resistor abaixo, mantido a uma temperatura constante. Quando o mesmo for submetido a uma tensão elétrica (d.d.p.) E, circulará, pelo mesmo uma corrente elétrica Ι. Mudando o valor da d.d.p. para E1, E2, ... En , o resistor passa a ser percorrido por uma corrente I1, I2, … Ιn. O Físico alemão George Simon Ohm, verificou que o quociente da tensão aplicada pela respectiva corrente circulante era uma constante do resistor.

Código de Cores para Resistores:

Procedimento para Determinar o Valor do Resistor:

  • Identificar a cor do primeiro anel, e verificar através da tabela de cores o algarismo correspondente à cor. Este algarismo será o primeiro dígito do valor do resistor.
  • Identificar a cor do segundo anel. Determinar o algarismo correspondente ao segundo dígito do valor da resistência.
  • Identificar a cor do terceiro anel. Determinar o valor para multiplicar o número formado pelos itens 1 e 2. Efetuar a operação e obter o valor da resistência.
  • Identificar a cor do quarto anel e verificar a porcentagem de tolerância do valor nominal da resistência do resistor.

OBS.: A primeira faixa será a faixa que estiver mais perto de qualquer um dos terminais do resistor.

Exemplo:

  • 1º Faixa Vermelha = 2
  • 2º Faixa Violeta = 7
  • 3º Faixa Marrom = 10
  • 4º Faixa Ouro = 5%

O valor será 270W com 5% de tolerância. Ou seja, o valor exato da resistência para qualquer elemento com esta especificação estará entre 256,5W e 283,5W. Entenda o multiplicador. Ele é o número de zeros que você coloca na frente do número. No exemplo é o 10, e você coloca apenas um zero se fosse o 100 você colocaria 2 zeros e se fosse apenas o 1 você não colocaria nenhum zero. Outro elemento que talvez necessite explicação é a tolerância. O processo de fabricação em massa de resistores não consegue garantir para estes componentes um valor exato de resistência. Assim, pode haver variação dentro do valor especificado de tolerância. É importante notar que quanto menor a tolerância, mais caro o resistor, pois o processo de fabricação deve ser mais refinado para reduzir a variação em torno do valor nominal.

Potência Elétrica:

Se um trabalho está sendo executado em um sistema elétrico, uma quantidade de energia está sendo consumida. A razão em que o trabalho está sendo executado, isto é, a razão em que a energia está sendo consumida é chamada Potência.

A unidade fundamental de potência elétrica é o WATT.

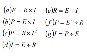
Fórmulas Matemáticas Relacionando Tensão, Corrente, Resistência e Potência Elétricas.

Unidades das Grandezas Elétricas – Múltiplos e Submúltiplos:

Prefixos das Unidades:

São múltiplos ou submúltiplos da unidade básica no S.Ι.:

4 Associação De Resistores:

Associação em Série:

Quando resistores são conectados de forma que a saída de um se conecte a entrada de outro e assim sucessivamente em uma única linha, diz-se que os mesmos estão formando uma ligação série. Neste tipo de ligação a corrente que circula tem o mesmo valor em todos os resistores da associação, mas a tensão aplicada se divide proporcionalmente em cada resistor.

Os resistores que compõem a série podem ser substituídos por um único resistor chamado de Resistor Equivalente.

Como a corrente é comum a todos os termos da equação ela pode ser simplificada (cortada) nos dois lados da igualdade:

Quando a ligação entre resistores é feita de modo que o início de um resistor é ligado ao início de outro, e o terminal final do primeiro ao termina final do segundo, caracteriza-se uma ligação paralela. Neste tipo de ligação, a corrente do circuito tem mais um caminho para circular, sendo assim ela se divide inversamente proporcional ao valor do resistor. Já a tensão aplicada é a mesma a todos os resistores envolvidos na ligação paralela.

Para dois resistores em paralelo é possível calcular a Req através de uma outra fórmula:

Associação Mista:

É o caso mais encontrado em circuitos eletrônicos. Neste caso há resistores ligados em série e interligados a outros em paralelo. Para se chegar a Req, faz-se o cálculo das associações série e paralelo ordenadamente, sem nunca “misturar” o cálculo, ou seja, associar um resistor em série a outro esteja numa ligação paralela.

A Lei de Ohm pode ser definida como a relação entre a Tensão, a Corrente e a Resistência em um circuito elétrico de corrente contínua. Ela pode ser definida como uma constante de proporcionalidade entre as três grandezas.

Ela estabelece que:

A corrente elétrica em um condutor metálico é diretamente proporcional à tensão aplicada em seus terminais, desde que a temperatura e outras grandezas físicas forem constantes.

Com a passagem da corrente elétrica pelo condutor, há choques dos elétrons contra os átomos do material, com conseqüente aumento da temperatura (efeito Joule). Este fato acarreta dois fenômenos opostos no condutor: um aumento da energia de vibração dos átomos do material, opondo-se à corrente elétrica (aumento da resistência); e um aumento do número de cargas livres e também de suas velocidades, favorecendo a passagem de corrente elétrica (diminuição da resistência). Quando os dois fenômenos se contrabalançam, o condutor é ôhmico ou linear, pois sua resistência permanece constante.

Quando o primeiro fenômeno predomina, a resistência do condutor aumenta com a temperatura, e é o que ocorre com o filamento de uma lâmpada incandescente.

Lei de Ohm em Circuitos com Resistência em Série:

A corrente elétrica é a mesma em todas as resistências, e a tensão elétrica se dividirá proporcionalmente ao valor das resistências.

Aplicação da Lei de Ohm em Circuitos Resistências em Paralelo:

A tensão elétrica será a mesma em todas as resistências, e a corrente elétrica se dividirá inversamente proporcional ao valor da resistência.

Circuito Divisor de Tensão:

Num circuito série, cada resistência produz uma queda de tensão “E” igual a sua parte proporcional da tensão total aplicada.

Uma resistência R mais alta produz uma queda de tensão maior do que uma resistência mais baixa no circuito série. Resistências iguais apresentam quedas de tensão iguais.

Circuito Divisor de Corrente:

Às vezes torna-se necessário determinar as correntes em ramos individuais num circuito em paralelo, se forem conhecidas as resistências e a corrente total, e se não for conhecida a tensão através do banco de resistências. Quando se considera somente dois ramos do circuito, a corrente nem ramo será uma fração da Ι total. Essa fração é quociente da segunda resistência pela soma das resistências.

Onde Ι e Ι são as correntes nos respectivos ramos. Observe que a equação para a corrente em cada ramo tem o resistor oposto no numerador. Isto porque a corrente em cada ramo é inversamente proporcional à resistência do ramo.