INTRODUÇÃO A ELETRICIDADE

Eletricidade Básica

1 CORRENTE E TENSÃO:

OS ÁTOMOS E SUA ESTRUTURA:

O átomo mais simples é o de hidrogênio, constituído por duas partículas fundamentais, o próton e o elétron, nas posições relativas mostradas na Figura 1(a). O núcleo do átomo de hidrogênio é o próton, uma partícula de carga positiva. O elétron em órbita tem carga elétrica negativa, igual em módulo à carga positiva do próton. No caso dos átomos de todos os outros elementos, o núcleo contém também nêutrons, que têm massa ligeiramente maior que a dos prótons e não possuem carga elétrica. O átomo de hélio, por exemplo, tem dois nêutrons, além de dois elétrons e dois prótons, Figura 1(b). Em todos os átomos neutros, o número de elétrons é igual ao número de prótons.

A massa do elétron é 9,11 × 10-28 gramas. A massa do próton e do nêutron são aproximadamente iguais e valem 1,672 × 10-24 gramas. Os raios das partículas próton, nêutron e elétron são todos da ordem de 2 × 10-15 metros. O número de prótons dentro do núcleo determina o número atômico de qualquer átomo. Os elétrons situados na camada mais externa são chamados de elétrons de valência. 

No átomo de hidrogênio, o raio da menor órbita percorrida por um elétron é cerca de 5 × 10-11 metros. Isto equivale, aproximadamente, a uma moeda de um centavo em trajetória circular em torno de outra, sendo o raio da órbita algo em torno de 400 m.

Os átomos dos outros elementos possuem vários elétrons distribuídos em camadas concêntricas em torno do núcleo. Como exemplo na Figura 1(c) tem-se o átomo de silício e na Figura 1 (d) o átomo de cobre. A primeira camada, que é a mais próxima do núcleo, pode conter apenas dois elétrons. Se um átomo tiver três elétrons, o terceiro terá que ocupar a segunda camada. Esta pode conter um máximo de 8 elétrons; a terceira, 18; a quarta, 32, conforme determinado pela equação 2n2 , em que n é o número da camada. Estas camadas são designadas por um número (n =1, 2 3...) ou por uma letra (n = k, l, m...). Cada camada é então dividida em subcamadas, exceto a primeira. A primeira subcamada pode conter um máximo de dois elétrons; a segunda, seis; a terceira 10 e a quarta, 14 elétrons, como na Figura 2. As subcamadas são habitualmente designadas pelas letras s, p, d e f, nessa ordem, à medida que se afastam do núcleo.

Foi determinado experimentalmente que cargas de sinais contrários se atraem e que cargas de mesmo sinal se repelem. A força de atração ou repulsão entre dois corpos carregados com cargas Q1e Q2 pode ser determinada pela lei de Coulomb.

Onde F é dado em newtons, k é constante e vale 9,0 × 109 N.m2 /C2 , Q1 e Q2 são os valores das cargas em coulombs e r é a distância, em metros, entre as duas cargas. No interior do átomo há uma repulsão entre elétrons e uma atração de prótons. Visto que o núcleo só contém cargas positivas, existe uma forte força de atração que atua nos elétrons das órbitas mais próximas do núcleo. À medida que cresce a distância entre o núcleo e os elétrons em órbita, a força de ligação diminui, atingindo seu valor mais baixo para a subcamada mais externa. Por causa desta força de ligação mais fraca, menos energia é necessária para remover um elétron de uma subcamada mais externa do que a remoção de um elétron de uma subcamada mais interna. Também em geral os elétrons são mais facilmente removíveis em átomos cujas camadas mais externas estejam incompletas e, além disso, possuam, nessas camadas, poucos elétrons. Estas propriedades dos átomos que permitem a remoção dos elétrons sob certas condições são essenciais para estabelecer um movimento de cargas.

O cobre é o metal mais utilizado no transporte de eletricidade. Ele possui um elétron a mais além do necessário para completar as três primeiras camadas, Figura 1(d). Essa camada exterior incompleta possui apenas um elétron, e sua distância até o núcleo sugere que ele está fracamente ligado ao restante do átomo de cobre. Se esse elétron (elétron de valência) receber energia suficiente do meio externo para se libertar do átomo, passará a ser chamado de elétron livre. Em um centímetro cúbico de cobre, à temperatura ambiente, há aproximadamente 1,4 × 1024 elétrons livres. Outros materiais que apresentam as mesmas propriedades do cobre, embora com diferenças quantitativas, são a prata, o ouro, o alumínio e o tungstênio.

2 CAMPO ELETROSTÁTICO:

 

A característica fundamental de uma carga elétrica é a sua capacidade de exercer uma força. Esta força está presente no campo eletrostático que envolve cada corpo carregado. Quando dois corpos de polaridade oposta são colocados próximos um do outro, o campo eletrostático se concentra na região compreendida entre eles, Figura 3(a). O campo elétrico é representado por linhas de força desenhadas entre os dois corpos. Se um elétron for abandonado no ponto A nesse campo, ele será repelido pela carga negativa e atraído pela positiva. Assim, as duas cargas tenderão a deslocar o elétron na direção das linhas de força. O campo elétrico que surge quando duas cargas idênticas são colocadas próximas uma da outra, indica que elas se repelem mutuamente, como mostra a Figura 3(b).

Um corpo carregado se manterá carregado temporariamente, se não houver transferência imediata de elétrons para outro corpo. Neste caso, diz-se que a carga está em repouso. A eletricidade em repouso é chamada de eletricidade estática.

Correte:

 

Considere um fio de cobre de pequeno comprimento cortado por um plano imaginário perpendicular ao seu eixo, resultando na seção circular mostrada na Figura 4. À temperatura ambiente e sem aplicação de forças externas, existe no interior do fio um movimento aleatório de elétrons livres criados pela energia térmica que os elétrons recebem do meio externo.

Quando os átomos perdem elétrons, que passam a ser elétrons livres, eles adquirem uma carga positiva e são denominados de íons positivos.

Os elétrons livres são os portadores de carga em um fio de cobre ou em qualquer outro condutor (em estado sólido) de eletricidade.

No arranjo da Figura 5, os elétrons livres estão continuamente ganhando ou perdendo energia em função de suas mudanças de direção e velocidade. Alguns dos fatores responsáveis por esse movimento aleatório são: (1) as colisões com íons positivos e outros elétrons, (2) as forças de atração dos íons positivos, e (3) a força de repulsão existente entre elétrons. Após um certo tempo, o número de elétrons que movem para a direita da seção circular da Figura 4 é exatamente igual ao número de elétrons que se movem para a esquerda.

Na ausência de forças externas aplicadas, o fluxo de carga líquida em um condutor é nulo em qualquer direção.

Na Figura 6, a bateria à custa da energia química, acumula cargas positivas em um terminal e cargas negativas no outro. No momento em que a última conexão é realizada, os elétrons livres serão atraídos pelo terminal positivo, enquanto os íons positivos resultantes no fio de cobre podem no máximo oscilar em torno dessas posições. O terminal negativo da bateria funciona como uma fonte de elétrons que são atraídos à medida que os elétrons livres do fio de cobre se deslocam no sentido do terminal positivo.

A atividade química da bateria produzirá uma absorção de elétrons no terminal positivo e manterá um fornecimento regular de elétrons no terminal negativo. O fluxo de carga através da lâmpada provocará o aquecimento do filamento até que ele fique incandescente e emita luz.

Se 6,242 × 1018 elétrons atravessam em um segundo, com velocidade uniforme a seção reta circular imaginária do condutor visto na Figura 6, se diz que o fluxo de carga corresponde a 1 ampère (A), em homenagem ao físico francês André Marie Ampère (1775-1836).

Para estabelecer valores numéricos que permitam fazer comparações, a unidade de carga, um coulomb (C), foi definida como a carga associada a 6,242 × 1018 elétrons. A carga associada a um elétron pode então ser determinada a partir de:

A corrente em ampères pode ser calculada usando a seguinte equação:

 

I = ampères (A); Q = coulombs (C) e t = segundos (s). A letra maiúscula I vem da palavra francesa para corrente: intensité. Na Figura 6, foram indicados dois sentidos para o escoamento de carga. Um deles é denominado sentido convencional e o outro, sentido eletrônico (ou real). O sentido convencional é o mais utilizado na representação simbólica de todos os componentes eletrônicos. A controvérsia no sentido da corrente vem da época em que a eletricidade foi descoberta, pois se considerou que as partículas móveis nos condutores metálicos tivessem carga positiva.

EXEMPLO NUMÉRICO:

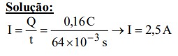
1. A carga que atravessa, a cada 64 ms, a superfície imaginária vista na Figura 6 é 0,16 C. Determine a corrente em ampères. 

 

3 CONSIDERAÇÕES DE SEGURANÇA:

A passagem de correntes relativamente pequenas através do corpo humano pode ser muito perigosa, causando sérios danos ao organismo. Resultados experimentais revelam que o corpo humano começa a reagir a correntes de apenas uns poucos miliampères. Qualquer corrente acima de 10 mA deve ser considerada perigosa. Correntes de 50 mA provocam um grave choque elétrico e de 100 mA podem ser fatais.

Na maioria dos casos a resistência da pele do corpo, quando está seca, é alta o bastante para limitar a corrente através do corpo em níveis relativamente seguros para os graus de tensão normalmente encontrados nas residências. No entanto, a resistência da pele pode diminuir drasticamente por causa da transpiração, do banho ou se tiver sido ferida, podendo os níveis de corrente atingir níveis perigosos para um mesmo nível de tensão. Trate a eletricidade com respeito – não com medo.

TENSÃO:

 

Energia, por definição, é a capacidade de realizar trabalho. Se um corpo de massa m for elevado a uma determinada altura (h) acima de um plano de referência, ele possui uma energia potencial expressa em joules (J) que é determinada por:

W (energia potencial) = m∙g∙h

Onde g é a aceleração da gravidade (9,754 m/s2 ). Esse corpo tem agora um potencial para realizar trabalho, como, por exemplo, quebrar um objeto colocado sobre o plano de referência. Se a altura do corpo aumentar, sua energia potencial também aumentará, e ele poderá realizar uma quantidade maior de trabalho. Isto indica que há uma diferença de potencial gravitacional entre as duas alturas, em relação ao mesmo plano de referência.

Em virtude da força do seu campo eletrostático, uma carga elétrica é capaz de realizar trabalho ao deslocar uma outra carga por atração ou repulsão. A capacidade de uma carga realizar trabalho é chamada de potencial. Quando uma carga for diferente da outra, haverá uma diferença de potencial entre elas. A soma das diferenças de potencial de todas as cargas do campo eletrostático é conhecida como força eletromotriz (fem).

Na bateria da Figura 6, as reações químicas internas estabelecem o acúmulo de cargas negativas (elétrons) em um dos terminais (negativo), enquanto cargas positivas (íons positivos) se acumulam no outro terminal (positivo). Esse posicionamento das cargas resulta em uma diferença de potencial entre os terminais. Se forem conectados os dois terminais através de um condutor, os elétrons acumulados no terminal negativo terão energia suficiente para alcançar o terminal positivo, para o qual são atraídos superando as colisões com os íons da rede e a repulsão de outros elétrons do metal. Por definição diz-se que:

Existe uma diferença de potencial de 1 volt (V) entre dois pontos se acontece uma troca de energia de 1 joule (J) quando deslocamos uma carga de 1 coulomb (C) entre esses dois pontos.

A unidade de medida volt foi escolhida, durante o Congresso Internacional de Eletricidade realizado em Paris em 1881, em homenagem ao físico italiano Alessandro Volta (1745-1827).

De forma descritiva, se é necessário gastar uma quantidade de energia igual a 1 joule para deslocar a carga de 1 coulomb, na Figura 7, da posição x para a posição y, a diferença de potencial ou tensão entre os dois pontos é 1 volt. Se a energia necessária para deslocar a carga de 1 C aumentar para 12 J, por causa de uma força adicional oposta ao deslocamento, então a diferença de potencial aumentará para 12 V.

Portanto, a tensão é um indicador da quantidade de energia envolvida na movimentação de uma carga entre dois pontos de um sistema elétrico. Ao contrário, quanto mais alta for a tensão fornecida por uma fonte de energia, maior será a quantidade de energia disponível para mover cargas nos sistema.

FONTES DE CORRENTE CONTÍNUA:

A corrente contínua que é abreviada por CC (em inglês DC – direct current), engloba os diversos sistemas elétricos nos quais há um fluxo de cargas unidirecional.

 

Fontes de tensão CC:

O símbolo usado para todas as fontes CC é mostrado na Figura 8. O comprimento relativo das barras indica o terminal que elas representam. As fontes CC podem ser divididas em três categorias: (1) baterias (usam reações químicas); (2) geradores eletromecânicos; e (3) fontes de alimentação (usam processo de retificação).

As baterias têm uma especificação de capacidade dada em ampères-hora (Ah). Por exemplo, uma bateria com especificação de 100 Ah é capaz, ao menos teoricamente, de manter uma corrente de 1 A durante 100 horas, 2 A durante 50 horas e assim por diante. Entretanto existem dois fatores que afetam a especificação ampèrehora: a temperatura e a velocidade com que a bateria é descarregada.

Gerador CC:

Este equipamento é bastante diferente de uma bateria, tanto construtivamente, como no modo de operação. Quando o gerador gira na sua rotação nominal, em função de um torque aplicado por alguma fonte externa de energia mecânica, o valor nominal de tensão aparece em seus terminais. A tensão e a capacidade de potência de um gerador CC são normalmente bem maiores que a da maioria das baterias, e sua vida útil é determinada apenas por sua construção.

Fontes de alimentação:

A fonte de corrente contínua mais comum nos laboratórios usa os processos de retificação e filtragem, procurando obter uma tensão CC estável. Em resumo, uma tensão que varia no tempo (tal como uma tensão CA de uma tomada residencial) é convertida para uma tensão de magnitude fixa.

Muitas fontes CC possuem três terminais de saída, fornecendo uma tensão ajustável e regulada, como se vê na Figura 8.

O símbolo para GND ou potencial zero (a referência) também é mostrado na Figura 8(a). Desejando-se uma tensão de saída de 10 V acima da referência (GND), as ligações devem ser feitas conforme mostrado na Figura 8(b). Se for desejada uma tensão de 15 V abaixo do potencial GND, então as ligações devem ser feitas conforme a Figura 8(c). Se for ligado como a Figura 8(d), se diz que há uma tensão “flutuante” de 5 V, pois as ligações .não incluem o nível de referência.

Condutores e Isolantes:

Condutores são os materiais que permitem a passagem de um fluxo intenso de elétrons com a aplicação de uma força (tensão) relativamente pequena. Além disso, os átomos dos materiais que são bons condutores possuem apenas um elétron na camada de valência.

Como o cobre é o condutor usado com mais frequência, ele foi escolhido para o cálculo das condutividades relativas que aparecem na Tabela 1.

Os isolantes são materiais que possuem pouquíssimos elétrons livres, sendo necessária a aplicação de um potencial (uma tensão) muito elevado para estabelecer uma corrente mensurável.

Um dos usos mais comuns do material isolante é o encapamento dos fios condutores. É importante lembrar que mesmo o melhor dos isolantes pode sofrer certa ruptura caso seja submetido a uma diferença de potencial suficientemente elevada.

O valor do campo elétrico correspondente é denominado rigidez dielétrica do material; alguns de seus valores são dados na Tabela 2.

SEMICONDUTORES:

 

MICONDUTORES Os semicondutores constituem determinado grupo de elementos químicos cujas características elétricas são intermediárias entre as dos condutores e as dos isolantes. Possuem quatro elétrons em sua camada mais externa (camada de valência). Toda a indústria eletrônica depende dessa classe de materiais, visto que os dispositivos eletrônicos e os circuitos integrados (CIs) são construídos usando materiais semicondutores. Embora o silício (Si) seja o material mais usado, o germânio (Ge) e o arseneto de gálio (GaAs) são também utilizados em muitos dispositivos.

Os semicondutores são também caracterizados por serem fotocondutores e por terem um coeficiente negativo de variação da resistividade com a temperatura. Fotocondutividade é um fenômeno no qual os fótons (pequenos pacotes de energia) de um feixe de luz incidente causam aumento de densidade de portadores de corrente desse material e, como consequência, ocorre um aumento do fluxo de cargas. Um coeficiente de temperatura negativo significa que a resistência diminui quando a temperatura aumenta.

AMPERÍMETROS E VOLTÍMETROS:

 

Os amperímetros são utilizados para medir a intensidade de corrente, e os voltímetros a diferença de potencial entre dois pontos.

A diferença de potencial entre dois pontos de um circuito é medida ligando-se as pontas de prova do voltímetro aos dois pontos em paralelo, como indicado na Figura 9(a). Para se obter uma leitura positiva, deve-se ligar a ponta de prova positiva ao ponto de maior potencial do circuito e a ponta negativa no ponto de menor potencial.

Os amperímetros devem ser ligados conforme ilustrado na Figura 9(b). Visto que os amperímetros medem a taxa de fluxo de cargas, ou seja, a corrente, o medidor tem de ser colocado no circuito de modo que a corrente passe pelo medidor. É necessário abrir circuito no qual se quer medir a corrente e inserir o amperímetro nos pontos resultantes, ou seja, deve ser ligado em série com o circuito.

A introdução de qualquer medidor em um sistema levanta uma dúvida em relação à sua influência no comportamento do sistema, sem dúvida eles afetarão o circuito, entretanto o projeto de cada um é feito de modo que esses efeitos sejam minimizados.

4 ELETRICIDADE BÁSIC: RESISTÊNCIA

INTRODUÇÃO

 

O fluxo de carga através de qualquer material encontra a oposição de uma força semelhante, em muitos aspectos, ao atrito mecânico. Essa oposição, resultante das colisões entre elétrons e entre elétrons e átomos do material, que converte energia elétrica em energia térmica, é denominada resistência do material. A unidade de medida da resistência é o ohm, cujo símbolo é a letra grega maiúscula ômega (Ω). O símbolo usado em diagramas de circuitos para representar a resistência aparece na Figura 1, juntamente com a abreviatura para esta mesma grandeza (R).

A resistência de qualquer material de seção reta uniforme é determinada pelos quatro seguintes fatores:

(1) material;

(2) comprimento;

(3) área da seção reta;

(4) Temperatura.

Os condutores que permitem um grande fluxo de carga com uma pequena tensão externa têm valores de resistências baixos, enquanto os isolantes têm valores elevados de resistência. Também, quanto maior o caminho que a carga tem de percorrer, maior o valor da resistência, ao passo que quanto maior a área, menor a resistência.

À medida que aumenta a temperatura da maioria dos condutores, aumenta o movimento das partículas de sua estrutura molecular, fazendo com que aumente a dificuldade de deslocamento dos portadores livres, o que aumenta o valor da resistência. A uma temperatura fixa de 20º C (temperatura ambiente), a resistência está relacionada a outros três fatores por:

 

onde ρ é uma característica do material denominada resistividade, ℓ é o comprimento da amostra e A é a área da seção reta da amostra.

A constante ρ (resistividade) é diferente para cada material. Seu valor é dado em ohms-metros no sistema SI.

EXEMPLO NUMÉRICO:

EFEITOS DA TEMPERATURA:

A temperatura tem um efeito significativo sobre a resistência de condutores, semicondutores e isolantes.

Condutores:

A energia térmica provoca um aumento na vibração dos átomos do material, aumentando a dificuldade do fluxo de elétrons em qualquer direção estabelecida. O resultado é que para bons condutores, o aumento da temperatura resulta em aumento no valor da resistência. Conseqüentemente, os condutores têm um coeficiente de temperatura positivo.

Semicondutores:

O aumento da temperatura resulta em um aumento no número de portadores livres para condução no material. Disto resulta que para materiais semicondutores, o aumento da temperatura diminui o valor da resistência. Conseqüentemente, os semicondutores têm coeficientes de temperatura negativos.

Isolantes: 

Como nos semicondutores, aumentando a temperatura, diminui a resistência dos isolantes, portanto o seu coeficiente de temperatura também é negativo.

Temperatura absoluta inferida:

A Figura 2 revela que para o cobre (como para a maioria dos condutores metálicos) a resistência aumenta quase linearmente com a temperatura. Aproximando-se a curva mostrada na Figura 2 pela linha reta tracejada que intercepta a escala de temperaturas em -234,5 ºC.

A aproximação pela linha reta é bastante precisa para a faixa normal de temperaturas de operação. Em duas temperaturas diferentes, T1 e T2, as resistências do cobre são R1 e R2, segundo indicado na curva. Utilizando as propriedades de semelhanças de triângulos, se pode determinar uma relação matemática entre esses valores de resistência em diferentes temperaturas.

 

EXEMPLO NUMÉRICO:

Coeficiente de temperatura da resistência:

Definido: 

 

 

TIPOS DE RESISTORES:

Os resistores podem ser construídos em diversos formatos, mas todos eles podem ser divididos em dois grupos: fixos e variáveis. As dimensões relativas de todos os resistores variam de acordo com a potência especificada, e as dimensões maiores correspondem aos de maior potência, especificados para possibilitar valores mais elevados de corrente e dissipação de calor.

CÓDIGO DE CORES E VALORES PADRONIZADOS DE RESISTORES:

Para os resistores fixos de carbono, quatro ou cinco faixas coloridas são impressas em seu encapsulamento. Cada cor corresponde a um valor como indicado na Tabela 2. As faixas coloridas são sempre lidas a partir da que está mais próxima de uma das extremidades. A primeira e a segunda faixas representam o primeiro e o segundo dígitos, respectivamente. A terceira faixa determina o multiplicador, em potência de 10, dos primeiros dois dígitos. A quarta faixa é a tolerância do resistor fornecida pelo fabricante, que é uma indicação da precisão. Se não existir a quarta faixa, convencionou-se que a tolerância será de ± 20 %. Em resistores de precisão é encontrada uma quinta faixa, sendo então a primeira, a segunda e a terceira faixas representantes dos três algarismos significativos, a quarta o fator multiplicativo e a quinta a tolerância.

 

EXEMPLO NUMÉRICO:

A Tabela 4 apresenta os valores disponíveis comercialmente para compra de resistores. Ao lado da tabela uma representação com a dimensão aproximada de resistores, de acordo com as suas potências.

CONDUTÂNCIA:

 

Calculando-se o inverso da resistência de um material, obtém-se uma medida da facilidade com que o material conduz eletricidade. Essa grandeza é denominada condutância, cujo símbolo é G e cuja medida é em siemens.

 

VARISTORES:

 

Varistores são resistores não-lineares, cuja resistência depende da tensão aplicada, usados para suprimir transientes de alta tensão, ou seja, suas características fazem com que limitem a tensão que pode aparecer entre os terminais de um dispositivo ou sistema sensível. A curva característica de um varistor é mostrada na Figura 3, juntamente com a curva característica de um resistor linear, para destacar a diferença. Observa-se que para uma determinada tensão limite a corrente cresce rapidamente, mas a tensão é limitada a um valor um pouco abaixo dessa tensão limite.

Em outras palavras, o módulo da tensão ente os terminais desse dispositivo não pode exceder o valor definido por suas características. Através de técnicas adequadas de projeto, esse dispositivo pode, portanto, limitar a tensão aplicada a partes sensíveis de um circuito. A corrente é simplesmente limitada pelo circuito ao qual está conectada.

5 LEI DE OHM, POTÊNCIA E ENERGIA:

Uma analogia para um circuito elétrico simples é um sistema constituído de uma mangueira com água conectada a uma válvula de pressão. A ausência de pressão resulta em um sistema sem movimentação de água. Da mesma forma, a ausência de uma tensão em um circuito elétrico não fará circular nenhuma corrente. A corrente é uma reação à tensão aplicada, portanto quanto maior a tensão aplicada num mesmo circuito, resultará em uma corrente maior. O fator que relaciona a tensão e a corrente em um circuito é a resistência. Em uma equação fica:

 

A equação acima é conhecida como lei de Ohm em homenagem a Georg Simon Ohm, físico alemão (1789-1854). Esta expressão mostra claramente que para uma resistência fixa, quanto maior for a tensão aplicada aos terminais de um resistor, maior será a corrente.

Na Figura 1, a tensão pressiona a corrente em um sentido tal que ela atravessa a bateria do terminal negativo para o positivo. Isto sempre acontece em um circuito com fonte única. O símbolo usado para designar a tensão da bateria é a letra maiúscula E, enquanto a queda de energia potencial sobre o resistor é simbolizada por V. A polaridade da queda de tensão sobre o resistor é determinada pela polaridade da fonte porque os dois terminais da bateria são conectados diretamente aos terminais do resistor.

 

EXEMPLO NUMÉRICO:

 

 

GRÁFICO DA LEI DE OHM:

O gráfico em linha reta da Figura 2, indica que a resistência não varia com os níveis de tensão e corrente; ao contrário; ela é uma grandeza que se mantém fixa. Através deste gráfico, qualquer valor de corrente ou tensão pode ser determinado quando se conhece uma das grandezas envolvidas.

 

Por exemplo, para V = 25 V, se uma linha vertical for traçada na Figura 2 do ponto 25 do eixo horizontal até a curva característica, a corrente resultante pode ser encontrada traçando uma reta horizontal até o eixo vertical, obtendo assim um resultado de 5 A. Da mesma maneira, para V = 10 V, se for traçado uma reta vertical até a curva característica e uma reta horizontal até o eixo vertical, se verificará que a corrente no resistor será de 2 A, como determinado pela lei de Ohm. Para fins de comparação, as curvas características de resistores de 1 Ω e 10 Ω foram traçadas no gráfico da Figura 3. Observa-se que quanto menor a resistência, maior é a inclinação da reta.

POTÊNCIA:

A potência é uma grandeza que mede quanto trabalho (conversão de energia de uma forma em outra) pode ser realizado em determinado período de tempo, ou seja, é a velocidade com que um trabalho é executado. Por exemplo, um grande motor elétrico tem mais potência do que um pequeno porque é capaz de converter quantidade maior de energia elétrica em energia mecânica no mesmo intervalo de tempo. Como a energia convertida é medida em joules (J) e o tempo em segundo (s), a potência é medida em joules/segundo (J/s). A unidade elétrica de medida de potência é o watt (W). Na forma de equação, a potência é determinada por:

 

Com a energia W medida em joules e o tempo em segundos. A unidade de medida, o watt, é derivada do sobrenome de James Watt, inventor escocês (1736-1819), que realizou trabalhos fundamentais para o estabelecimento de padrões de medida de potência. Ele introduziu o termo “horsepower” (hp) como sendo a potência média desenvolvida por um cavalo robusto ao puxar uma carroça durante um dia inteiro de trabalho. Um hp equivale a 746 watts.

A diferença de potencial, V, é um indicador da quantidade de energia envolvida na movimentação de uma carga entre dois pontos de um sistema elétrico e pode ser definida por:

A potência consumida por um sistema ou dispositivo elétrico pode ser determinada em função dos valores de corrente e tensão, ou seja:

 

 

Utilizando a lei de Ohm, a equação para o cálculo da potência pode ser expressa de mais duas maneiras:

 

WATTÍMETROS:

Existem instrumentos que podem medir a potência fornecida por uma fonte a um elemento dissipativo. Como a potência é uma função dos valores de tensão e corrente, quatro terminais têm de ser conectados, como mostra a Figura 4, para medir a potência no resistor R.

 

Se as conexões das bobinas de corrente (BC) e as das bobinas de tensão (BT) do wattímetro forem conforme se vê na Figura 4 se observa uma deflexão do ponteiro no sentido crescente da escala. Se uma das bobinas estiver com a ligação invertida, ocorrerá deflexão do ponteiro no sentido contrário.

EFICIÊNCIA:

A Figura 5 ilustra o fluxo de energia em um sistema no qual energia muda de forma. Em particular, a quantidade de energia na saída é sempre menor do que a que entrou no sistema devido ás perdas e, às vezes, ao armazenamento de energia no interior do sistema. A melhor situação que pode esperar é que os valores absolutos Wo e Wi sejam relativamente próximos um do outro.

 

De acordo com a conservação de energia:

Entrada de energia = saída de energia + energia perdida ou armazenada.

 

A figura ilustra esquematicamente os componentes básicos de um sistema de geração de energia elétrica. A fonte de energia mecânica é uma roda de pás que gira impulsionada por uma queda d’água potencializada por uma barragem. Um conjunto de engrenagens faz com que o eixo do gerador gire sempre com a velocidade angular adequada. Uma linha de transmissão transporta a energia elétrica até o consumidor final. Para cada componente do sistema estão indicadas as potências de entrada e de saída. A eficiência de cada um desses subsistemas é dada por:

 

EXEMPLO NUMÉRICO:

ENERGIA ELÉTRICA:

Para que uma potência, que determina a velocidade com que um trabalho é realizado, produza uma conversão de uma forma de energia em outra, tem que ser gasto um intervalo de tempo. Por exemplo, um motor pode ter de acionar uma grande carga, porém, a menos que o motor seja usado ao longo de um intervalo de tempo, não haverá conversão de energia. Além disso, quanto mais tempo o motor for usado para acionar uma carga, maior será a energia utilizada.

A energia (W) consumida ou fornecida por um sistema é determinada por: W = P . t (watts-segundos, Ws, ou joules, J)

A unidade mais comumente utilizada é a watt-hora (Wh ou kWh). Como referência desta unidade, 1 kWh é a quantidade de energia dissipada por uma de 100 W ligada durante 10 horas.

6 ELETRICIDADE BÁSICA: CIRCUITOS EM SÉRIE

INTRODUÇÃO:

 

Atualmente dois tipos de correntes elétricas são usados os equipamentos elétricos e eletrônicos. Um deles é a corrente contínua (CC), cujo fluxo de cargas (corrente) não varia em intensidade e sentido com o tempo. O outro é a corrente alternada (CA) senoidal, cujo fluxo de cargas varia continuamente em intensidade e sentido com o tempo.

Em circuitos de corrente contínua com apenas uma fonte de tensão, a corrente convencional sempre passa de um potencial mais baixo para um potencial mais alto ao atravessar uma fonte de tensão. Entretanto, o fluxo convencional sempre passa de um potencial mais alto para um potencial mais baixo ao atravessar um resistor, qualquer que seja o número de fontes de tensão no mesmo circuito.

CIRCUITOS EM SÉRIE:

 

Um circuito consiste de um número qualquer de elementos unidos por seus terminais, estabelecendo pelo menos um caminho fechado através do qual a carga possa fluir. O circuito visto na Figura 1 possui três elementos, conectados em três pontos (a, b e c), de modo a constituir um caminho fechado para a corrente I.

Dois elementos estão em série se:

1. Possuem somente um terminal comum (isto é, um terminal de um está conectado somente a um terminal do outro).

2. O ponto comum entre os dois elementos não está conectado a outro elemento percorrido por corrente.

Na Figura 1, os resistores R1 e R2 estão em série porque possuem apenas o ponto b em comum. As outras extremidades dos resistores estão conectadas a outros pontos do circuito.

Pela mesma razão, a bateria E e o resistor R¹ estão em série (terminal c em comum). Visto que todos os elementos estão em série, o circuito é chamado circuito série.

Se o circuito da Figura 1 for modificado de modo que um resistor R³ percorrido por corrente seja introduzido, conforme ilustra a Figura 2, os resistores R¹ e R² não estarão mais em série porque a parte (2) da definição de elementos em série não será verdadeira.

 

A corrente é a mesma através dos elementos em série

Portanto, no circuito mostrado na Figura 1, a corrente I através de cada resistor é a mesma que passa na bateria. Um ramo do circuito é qualquer parte do circuito que possui um ou mais elementos em série.

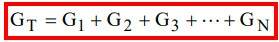
A resistência total de um circuito em série é a soma das resistências do circuito.

Na Figura 1, por exemplo, a resistência total (RT) é igual a R¹ + R². Observe que a resistência total é a resistência “vista” pela bateria. Para se determinar a resistência total (ou equivalente) de N resistores em série, é aplicada a seguinte equação:

 

Uma vez conhecida a resistência total, o circuito visto na Figura 1 pode ser redesenhado como mostrado na Figura 3.

 

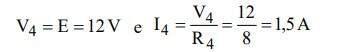
Desde que o valor de RT seja conhecido, a corrente drenada da fonte pode ser determinada usando a lei de Ohm da seguinte forma:

 

Como a tensão E é fixa, a intensidade da corrente da fonte depende somente do valor de RT. O fato de a corrente ser a mesma em todos os elementos do circuito mostrado na Figura 1 permite calcular a tensão entre terminais de cada resistor usando diretamente a lei de Ohm, ou seja:

 

Exemplos Numérico:

1. (a) Determine a resistência total para o circuito em série da figura abaixo.

(b) Calcule a corrente fornecida pela fonte.

(c) Determine as tensões V¹, V² e V³.

(d) Calcule a potência dissipada por R¹, R² e R³.

(e) Determine a potência fornecida pela fonte e a compare com a soma das potências calculadas no item (d).

 

FONTES DE TENSÃO EM SÉRIE:

 

As fontes de tensão podem ser conectadas em série, como mostra a Figura 4, par aumentar ou diminuir a tensão total aplicada a um sistema. A tensão resultante é determinada somando-se as tensões das fontes de mesma polaridade e subtraindo-se as de polaridade oposta. A polaridade resultante é aquela para a qual a soma é maior.

 

LEI DE KIRCHHOFF PARA TENSÕES:

 

A lei de Kirchhoff para tensões (LKT) afirma que a soma algébrica das elevações e quedas de potencial em uma malha fechada é zero.

Uma malha fechada é qualquer caminho contínuo que, ao ser percorrido em um sentido a partir de um ponto, retorna ao mesmo ponto vindo do sentido oposto, sem deixar o circuito. Na Figura 5, seguindo a corrente, pode-se traçar um caminho contínuo que deixa o ponto através de R¹ e retorna através de E sem deixar o circuito. Assim abcda é uma malha fechada. Para se aplicar a lei de Kirchhoff para tensões, a soma das elevações e quedas de potencial precisa ser feita percorrendo a malha em um certo sentido.

 

Gustav Robert Kirchhoff (1824-1887), alemão e professor de física elaborou definições relacionando tensões e correntes em um circuito.

Por convenção o sentido horário será usado para todas as aplicações da lei de Kirchhoff para tensões. Entretanto, o mesmo resultado pode ser obtido se o sentido escolhido for o anti-horário.

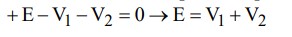
Um sinal positivo indica uma elevação de potencial (de – para +), e um sinal negativo, uma queda (de + para –). Seguindo a corrente na Figura 5 a partir do ponto a, primeiro encontra-se uma queda de tensão V¹ (de + para –) entre os terminais de R¹ e outra queda V² entre os terminais de R². Ao se passar pelo interior da fonte, tem-se um aumento de potencial E (de – para +) antes de retornar ao ponto a. Em forma simbólica pode-se representar a lei de Kirchhoff como: Σ V = 0.

No circuito da Figura 5, usando o sentido horário, obtém-se a partir do ponto d: 

O que revela que a tensão aplicada a um circuito em série é igual à soma algébrica das quedas de tensão nos elementos em série.

A aplicação da lei de kirchhoff para tensões não precisa seguir um caminho que inclua elementos percorridos por corrente.

Na Figura 6 há uma diferença de potencial entre os pontos a e b, embora os dois pontos não estejam conectados por um elemento percorrido por corrente. A aplicação da lei de Kirchhoff para tensões em torno da malha fechada irá resultar em uma diferença de potencial de 4 V entre os dois pontos.

 

EXEMPLO NUMÉRICO:

REGRAS DOS DIVISORES DE TENSÃO:

Nos circuitos em série:

A tensão entre os terminais dos elementos resistivos divide-se na mesma proporção que os valores de resistência.

Na Figura 7, o maior resistor, de 6 Ω, captura a maior parte da tensão aplicada, enquanto o menor, R³, fica com a menor. Observa-se também que R¹ é seis vezes maior que R³, e que a tensão sobre R¹ é seis vezes maior que a tensão sobre R³. Da mesma forma R² é três vezes maior que R³, resultando que a tensão sobre R² é três vezes maior que a tensão sobre R3. Portanto, a tensão entre os terminais de resistores em série está na mesma proporção que suas resistências.

Note-se que se o valor de todos os resistores aumentar na mesma proporção, os valores de tensão permanecerão os mesmos.

A relação entre os valores dos resistores é que importa para a divisão da tensão, e não o valor absoluto dos resistores. O valor da corrente será profundamente afetado pela mudança nos valores das resistências da Figura 7, mas os valores de tensão permanecerão os mesmos. 

Existe um método denominado regra dos divisores de tensão, que permite determinar as tensões sem ser necessário determinar primeiro a corrente. 

Utilizando a Figura 7, tem-se:

EXEMPLO NUMÉRICO:

1. Usando a regra dos divisores de tensão, determine as tensões V¹ e V³ para o circuito em série visto na figura abaixo.

 

RESISTÊNCIA INTERNA DAS FONTES DE TENSÃO:

 

Toda fonte de tensão, seja ela um gerador ou uma bateria, possui uma resistência interna. O circuito equivalente de qualquer fonte de tensão real é parecido ao mostrado na Figura 8.

Uma fonte de tensão ideal não possui resistência interna, e sua tensão de saída é E volts com carga máxima ou sem carga. Nas fontes reais, onde se considera os efeitos da resistência interna, a tensão de saída é de E volts somente quando a fonte não está ligada a nenhuma carga. Quando uma carga é conectada à fonte, a tensão de saída da fonte diminui devido à queda de tensão na resistência interna.

Um gráfico da tensão de saída (VL) em função da corrente, para um gerador CC, é mostrado na Figura 10 e seu circuito interno é dado na Figura 8. Observa-se que um aumento da corrente de carga, a partir de qualquer nível de tensão corresponde a uma queda na tensão entre os terminais de saída do gerador devido a maior queda de tensão na resistência interna.

 

REGULAÇÃO DE TENSÃO:

 

 

7 ELETRICIDADE BÁSICA:CIRCUITOS EM PARALELO

ELEMENTOS EM PARALELO

CONDUTÂNCIA E RESISTÊNCIAS TOTAIS:

Nos circuitos com resistores conectados em série a resistência total é a soma das resistências individuais. No caso dos elementos em paralelo, a condutância total é a soma das condutâncias individuais. Para o circuito visto na Figura 5 pode-se escrever:

 

Como quanto maior a condutância maior é a intensidade da corrente total no circuito (mantendo constante a tensão aplicada), quanto maior for o número de termos que aparece na equação anterior, maior será a corrente de entrada no circuito.

 

EXEMPLO NUMÉRICO:

CIRCUITOS EM PARALELO:

O circuito da Figura 6 é o mais simples dos circuitos em paralelo. Os terminais a e b são comuns a todos os elementos. A corrente fornecida pela fonte é:

 

Como os terminais da bateria estão diretamente ligados aos terminais de R¹ e R², tem-se que as tensões obtidas entre os terminais de elementos em paralelo são iguais,

EXEMPLO NUMÉRICO:

 

 

 

REGRA DO DIVISOR DE CORRENTE:

Quando se tem dois elementos com resistências iguais em paralelo, a corrente se dividirá igualmente.

Se os elementos em paralelo tiverem resistências diferentes, o elemento de menor resistência será percorrido pela maior fração da corrente.

A razão entre os valores das correntes nos dois ramos será inversamente proporcional à razão entre as suas resistências.

Por exemplo, se a resistência de um dos resistores de uma combinação em paralelo for o dobro da resistência do outro, então a corrente que o atravessa será a metade da corrente que percorre o resistor de menor resistência.

Na Figura 7, como I¹ vale 1 mA e o valor de R¹ é seis vezes o de R³, a corrente através de R³ tem que ser 6 mA. No caso de R² a corrente tem de ser 2 mA, pois R¹ é o dobro de R².

 

É possível, portanto, deduzir uma fórmula que expresse esta regra. Usando o circuito da Figura 8 e sabendo que Ix é a corrente que atravessa a resistência Rx, tem-se:

 

 

No caso particular de dois resistores em paralelo, tem-se:

 

 

EXEMPLO NUMÉRICO:

1. Determine a corrente I², no circuito abaixo usando a regra do divisor de corrente.

 

 

FONTES DE TENSÃO EM PARALELO:

Fontes de tensão podem ser colocadas em paralelo, como na Figura 10, somente se as tensões nos seus terminais forem idênticas. A razão para se ligar baterias em paralelo está na necessidade de se obter uma maior intensidade de corrente e, portanto, uma potência mais alta, a partir da fonte composta.

 

Se duas baterias de tensões diferentes forem conectadas em paralelo, acabarão ambas descarregadas ou danificadas, pois a tendência da bateria de tensão mais elevada é cair rapidamente até igualar-se à da fonte de tensão mais baixa. No exemplo ilustrado na Figura 11, as resistências internas das baterias são os únicos elementos de limitação da corrente no circuito série resultante. Essa corrente vale:

 

O valor obtido acima excede em muito as correntes usuais de operação da bateria de capacidade mais elevada, resultando em uma rápida descarga de E1 e um impacto destrutivo na bateria de menor tensão.

 

 

CIRCUITOS ABERTOS E CURTOS-CIRCUITOS:

Um circuito aberto consiste simplesmente de dois terminais isolados sem qualquer conexão entre si (Figura 12). Como não existe um caminho fechado para condução, a corrente em um circuito aberto é sempre nula.

Em um circuito aberto se pode ter uma diferença de potencial qualquer entre seus terminais, mas o valor da corrente é sempre zero.

 

Um curto-circuito é uma baixa resistência conectada diretamente entre dois pontos de um circuito, como na Figura 13(b).

A corrente através do curto-circuito pode ter um valor qualquer, porém a tensão sobre o curto-circuito sempre será nula porque a resistência atribuída a um curto-circuito é essencialmente nula.

 

 

EXEMPLO NUMÉRICO:

 

 

VOLTÍMETRO: EFEITO DA CARGA:

A colocação de um instrumento em paralelo com um resistor resulta sempre em uma combinação em paralelo de dois resistores (Figura 14). Como a resistência de dois ramos em paralelo é sempre inferior à da menor resistência, implica que a resistência interna de um voltímetro deve ser a mais alta possível.

 

Na Figura 14 a resistência do multímetro digital (DMM) vale 11 MΩ. Ele está medindo a tensão sobre a resistência de 10 kΩ. Figura 14 – Efeito da carga de um voltímetro.

A resistência total desta combinação é:

 

O resultado acima mostra que se a resistência interna do multímetro, quando usado como voltímetro, for alta, faz com que o circuito permaneça praticamente inalterado.

Para o caso de amperímetros é desejável que a resistência interna do instrumento seja a menor possível para evitar que haja queda de tensão considerável sobre a resistência interna do aparelho, uma vez que ele é ligado em série com o ramo que se quer medir a corrente

8 ELETRICIDADE BÁSICA: CIRCUITOS EM SÉRIE-PARALELO

RESOLUÇÃO DE CIRCUITOS:

 

Existem alguns procedimentos que ajudam na análise de circuitos mais complexos onde surgem elementos combinados em conexões em série-paralelo. De maneira geral deve-se:

  • Analisar cada região do circuito separadamente antes de associá-las em combinações série-paralelo. Isso simplifica o circuito e revela um método direto para a determinação dos valores de uma ou mais incógnitas.
  • Redesenhar o circuito, quando possível, com os ramos simplificados, mantendo intactas as quantidades desconhecidas para deixar o circuito de modo mais fácil de ser entendido e proporcionar circuitos reduzidos para que, a partir da fonte, se determinem as quantidades desconhecidas.
  • Ao se obter uma solução, verifique se ela é razoável, considerando os valores associados à fonte de energia e aos elementos do circuito.

 

 

Método de redução e retorno:

 Nos casos de muitos circuitos em série-paralelo com uma única fonte, a análise a ser usada consistem em reduzir o circuito em direção à fonte, determinar a corrente fornecida pela fonte e então determinar o valor da grandeza desconhecida. Por exemplo, na Figura 1(a) se deseja obter V4. Note que não existe uma conexão simples em série ou em paralelo entre R4 e a bateria. É necessário reconhecer combinações em série e em paralelo dos elementos para estabelecer o circuito reduzido mostrado na Figura 1(b). Assim os elementos em série podem ser combinados para se obter a configuração mais simples possível, como visto na Figura 1(c). A corrente fornecida pela fonte agora pode ser determinada usando a lei de Ohm. Realizando o procedimento inverso, como indicado na Figura 1(d), a tensão V² pode ser calculada e a regra dos divisores de tensão pode ser usada para determinar a tensão V4, podendo ser redesenhado o circuito original, visto na Figura 1(e), determinando-se o valor de V4:

Embora nem todos os detalhes da análise tenham sido descritos anteriormente, o procedimento geral para a solução de diversos circuitos em série-paralelo emprega o procedimento descrito acima, ou seja, redução do circuito para o cálculo de IF seguido do retorno ao circuito original.

 

 

Método do digrama de blocos:

Na Figura 2, os blocos B e C estão em paralelo (os pontos b e c são comuns) e a fonte de tensão E está em série com o bloco A (o ponto a é comum). A combinação em paralelo de B e C também está em série com A e com a fonte de tensão E devido aos pontos comuns b e c, respectivamente.

 

Quando dois elementos estiverem em série e em paralelo serão usadas as seguintes notações:

 

 

EXEMPLO NUMÉRICO:

1. Se cada bloco da Figura 2 representasse um resistor, seria obtido um circuito como o da figura abaixo.

 

2. Determine a corrente I4 e a tensão V² para o circuito abaixo.

 

 

O método empregado deve possibilitar apenas a obtenção das incógnitas desejadas. Com o uso do método do diagrama em blocos, o circuito apresenta a estrutura mostrada abaixo.

 

4. Determine, no circuito abaixo, as tensões V¹ e V² e a corrente I

Solução: O circuito ao lado pode ser redesenhado, como mostra a figura logo abaixo. Notase a conexão comum a terra e o uso explícito das fontes de tensão. Agora fica claro que:  

5. Calcule as correntes e tensões indicadas na figura abaixo.

 

Solução:

Redesenhando o circuito após combinar as resistências em série fica:

 

6. Utilize a LKT par determinar as tensões V¹, V² e V³ no circuito abaixo.

 

 

CIRCUITOS EM CASCATA:

Um circuito em cascata é mostrado na Figura 3. Estes circuitos recebem este nome devido à sua estrutura repetitiva.

 

Dois métodos podem ser usados para resolver problemas nestes circuitos.

  • Método 1 → calcula-se a resistência total e a corrente fornecida pela fonte e, em seguida, repete-se os passo no sentido inverso até obter a corrente ou tensão desejada.
  • Método 2 → associando uma letra à corrente no último ramo do circuito é analisado o circuito na direção da fonte, mantendo explícita esta corrente ou qualquer outra que haja interesse. A corrente desejada pode então ser determinada diretamente.

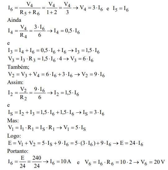
Exemplo: Utilizando o método 1 no circuito da Figura 3 para calcular a tensão V6.

Efetuando as combinações de elementos em série e em paralelo como mostra a Figura 4, chega-se ao circuito reduzido da Figura 5.

9 ELETRICIDADE BÁSICA: MÉTODOS DE ANÁLISE DE CIRCUITOS CC

INTRODUÇÃO

Os procedimentos vistos até agora só permitem que sejam analisados circuitos onde exista uma fonte, ou duas ou mais fontes, em série ou em paralelo.

Eles não podem ser aplicados se as fontes não estiverem em série ou em paralelo. Para resolver este problema existem métodos que permitem de forma sistemática analisar circuitos com qualquer arranjo. Note que estes métodos também podem ser usados em circuitos com apenas uma fonte. Os métodos são:

  • Análise das correntes nos ramos.
  • Métodos das malhas.
  • Método dos nós.

Qualquer deles pode ser aplicado a um mesmo circuito. O melhor método é aquele no qual se ganhar maior habilidade na utilização.

FONTES DE CORRENTE:

A fonte de corrente é chamada de dual da fonte de tensão. Uma bateria fornece uma tensão fixa, sendo que a corrente pode variar; porém, a fonte de corrente fornece uma corrente fixa no ramo do circuito onde está inserida, enquanto a tensão em seus terminais pode variar em função do circuito no qual é conectada. Em resumo:

Uma fonte de corrente determina a corrente no ramo onde está situada.

A intensidade e a polaridade da tensão entre os terminais de uma fonte de corrente são uma função do circuito do qual ela faz parte.

 

EXEMPLO NUMÉRICO:

CONVERSÕES DE FONTES:

Todas as fontes, sejam de tensão ou de corrente, possuem alguma resistência interna nas posições relativas mostradas na Figura 1(a) e (b).

 

Conversões definem fontes que são equivalentes somente no que se refere aos seus terminais exteriores. As características internas de cada tipo são bastante diferentes.

Deseja-se a equivalência entre fontes para assegurar que a carga aplicada às fontes mostradas na Figura 1 receba a mesma corrente, tensão e potência dos dois tipos de fonte, sem ‘saber’ qual tipo de fonte está presente. Na Figura 1(a) a corrente de carga IL é dada por:

 

 

EXEMPLO NUMÉRICO:

 

 

FONTES DE CORRENTE EM PARALELO:

Duas fontes de corrente em paralelo podem ser substituídas por uma única fonte de corrente cuja intensidade e o sentido da corrente da fonte resultante podem ser determinadas pela soma das correntes das fontes originais. A nova resistência interna é dada pela resistência equivalente das resistências em paralelo das fontes originais.

 

EXEMPLO NUMÉRICO:

5. Reduza as fontes de corrente em paralelo da figura abaixo em uma fonte de corrente única.

 

6. Reduza o circuito da figura abaixo a uma fonte única e calcule a corrente através de RL.

 

 

FONTES DE CORRENTE EM SÉRIE:

A corrente em qualquer ramo de um circuito só pode ter um valor. Portanto:

Fontes de corrente de diferentes intensidades não podem ser ligadas em série, da mesma maneira que fontes de tensão com tensões diferentes não podem ser ligadas em paralelo

RAMO, NÓ E MALHA (DEFINIÇÕES):

 

  • RAMO = Um ramo do circuito é qualquer parte do circuito que possui um ou mais elementos em série.
  • NÓ = uma junção de dois ou mais ramos.
  • MALHA = qualquer conexão contínua de ramos que permite seguir um caminho partindo de um ponto em um sentido e retornando ao mesmo ponto no sentido oposto sem deixar o circuito.

ANÁLISE DAS CORRENTES NOS RAMOS:

 

A aplicação do método das correntes nos ramos é dividida em cinco passos. Esse método fornecerá a corrente em cada ramo do circuito. Uma vez que elas sejam conhecidas, todas as outras grandezas, como tensão e potência, podem ser determinadas. Os passos do método são os seguintes:

  • 1. Associa-se uma corrente distinta de sentido arbitrário a cada ramo do circuito.
  • 2.Indique as polaridades para cada resistor, de acordo com o sentido escolhido para a corrente.
  • 3. Aplique a LKT em cada malha do circuito.
  • 4. Aplique a LKC ao número mínimo de nós que inclua todas as correntes nos ramos dos circuitos.
  • 5.Resolva as equações lineares simultâneas resultantes para as correntes de ramo escolhidas.

EXEMPLO NUMÉRICO:

 

7. Aplique o método das correntes nos ramos ao circuito mostrado abaixo.

 

Passo 3: A LKT é aplicada em cada malha, no sentido horário.

 

 

MÉTODO DAS MALHAS:

O segundo método de análise é o método das malhas. Os passos para a aplicação deste método são os seguintes:

1. Associa-se uma corrente ao sentido horário a cada malha fechada independente do circuito.

2.Indique as polaridades de cada resistor dentro de cada malha, de acordo com o sentido da corrente adotado para esta malha. Isso pode requerer, como indicado na Figura 3, que o resistor de 4 Ω tenha duas polaridades associadas.

3. Aplica-se a LKT em todas as malhas, no sentido horário.

a) Se um resistor é percorrido por duas ou mais correntes, a corrente total que o atravessa é dada pela corrente da malha à qual a lei de Kirchhoff está sendo aplicada mais as correntes de outras malhas que o percorrem no mesmo sentido e menos as correntes que o atravessam em sentido oposto.

b) A polaridade de uma fonte de tensão não é afetada pela escolha do sentido das correntes nas malhas.

4.Resolvem-se as equações lineares simultâneas resultantes para obter as correntes de malhas.

 

EXEMPLO NUMÉRICO:

8. Aplique o método das malhas ao circuito mostrado abaixo e determine a corrente sobre a resistência R².

 

Há ocasiões em que existem fontes de corrente no circuito ao qual deve aplicarse o método das malhas. Em tais casos é possível converter a fonte de corrente em uma fonte de tensão (caso haja um resistor em paralelo) e proceder como antes, ou introduzir o conceito de supermalha e proceder da maneira descrita a seguir:

1. Primeiro admite-se uma corrente de malha para cada malha independente.

2.Redesenha-se o circuito substituindo-se as fontes de corrente por circuitos abertos.

3. Aplica-se a LKT a todos os caminhos independentes restantes do circuito, usando as correntes de malha previamente definidas. Qualquer caminho resultante, incluindo duas ou mais correntes de malha, é definido como caminho de uma corrente de supermalha.

4.Relacionam-se as correntes da malha escolhida para o circuito às fontes de corrente independentes do circuito.

5.Resolvem-se as equações resultantes para obter as correntes de malha.

 

EXEMPLO NUMÉRICO:

9. Usando o método das malhas, determine as correntes no circuito mostrado na figura abaixo.

 

Solução:

1. Primeiro admite-se uma corrente de malha para cada malha independente.

 

2.Redesenha-se o circuito substituindo-se as fontes de corrente por circuitos abertos.

 

3. Aplica-se a LKT a todos os caminhos independentes restantes do circuito, usando as correntes de malha previamente definidas. Qualquer caminho resultante, incluindo duas ou mais correntes de malha, é definido como caminho de uma corrente de supermalha.

 

4.Relacionam-se as correntes da malha escolhida para o circuito às fontes de corrente independentes do circuito.

O nó a é usado para relacionar as correntes de malha e a fonte de corrente usando a LKC:

 

5.Resolvem-se as equações resultantes para obter as correntes de malha.

 

 

MÉTODO DOS NÓS:

Um nó é definido como uma junção de dois ou mais ramos. Escolhendo um nó qualquer do circuito como referência (ponto com potencial nulo, ou terra), os nós restantes do circuito terão potencial fixo em relação a esta referência. Portanto, para um circuito de N nós, existirão (N – 1) nós com potencial fixo em relação ao nó de referência escolhido. As equações relacionando essas tensões nodais podem ser escritas aplicando a LKC a cada um dos (N – 1) nós. Para obter a solução completa do circuito, essas tensões nodais são calculadas da mesma maneira que as correntes de malha foram calculadas no método das malhas. Os passos para a aplicação deste método são os seguintes:

1. Determinar o número de nós do circuito.

2. Escolhe-se um nó de referência e rotula-se cada nó restante com um valor subscrito de tensão: V¹, V² e assim por diante.

3. Aplica-se a LKC a todos os nós exceto o de referência. Cada nó deve ser tratado como uma entidade isolada, não importando o sentido que uma corrente possa ter tido quando analisando outro nó.

4.Resolvem-se as equações resultantes para obter as tensões dos nós.

EXEMPLO NUMÉRICO:

10.Aplique o método dos nós ao circuito mostrado na figura abaixo.

 

Escolhe-se um nó de referência e rotula-se cada nó restante com um valor subscrito de tensão: V¹ V² e assim por diante. O nó inferior foi tomado como referência e outro nó como V¹, que é a tensão no nó 1 em relação ao terra.

Solução:

1. Determinar o número de nós do circuito.

O circuito possui dois nós, como se vê na figura abaixo:

2. Aplica-se a LKC a todos os nós exceto o de referência. Cada nó deve ser tratado como uma entidade isolada, não importando o sentido que uma corrente possa ter tido quando analisando outro nó.

I¹ e I² são consideradas como deixando o nó na figura acima e a LKC é aplicada como segue:

 

 

CIRCUITOS EM PONTE:

 

 

EXEMPLO NUMÉRICO: 

11.Analisar o circuito em ponte da Figura 5 usando o método dos nós e o método das malhas.

 

10 ELETRICIDADE BÁSICA:TEOREMAS DA ANÁLISE DE CIRCUITOS

INTRODUÇÃO

 

Serão apresentados os teoremas fundamentais da análise de circuitos. Isto inclui os teoremas da superposição, de Thévenin e de Norton.

TEOREMA DA SUPERPOSIÇÃO:

 

REMA DA SUPERPOSIÇÃO O teorema da superposição, bem como os métodos vistos anteriormente, pode ser usado para encontrar a solução para circuitos contendo uma ou mais fontes que não estejam em série nem em paralelo. A vantagem mais evidente deste método é dispensar o uso de ferramentas matemáticas, como os determinantes, para calcular as tensões e correntes solicitadas. Em vez disso, o efeito de cada fonte é levado em conta separadamente e o valor da incógnita é obtido efetuando a soma algébrica desses efeitos individuais.

O enunciado do teorema da superposição é o seguinte:

A corrente através de um elemento, ou a tensão entre seus terminais, em um circuito linear bilateral é igual à soma algébrica das correntes ou das tensões produzidas independentemente por cada uma das fontes.

Ao se aplicar o teorema, é possível considerar os efeitos de duas fontes ao mesmo tempo e reduzir o número de circuitos a serem analisados. Mas, em geral:

        Números de circuitos a serem analisados     =       Números de fontes independentes

Para considerar os efeitos de cada fonte independentemente, é necessário que estas sejam removidas e substituídas sem afetar o resultado final. Uma fonte de tensão, na aplicação do teorema, deve ser substituída por um curto-circuito e uma fonte de corrente deve ser substituída por um circuito aberto.

A corrente total em qualquer parte do circuito é a igual à soma algébrica das correntes que seriam produzidas separadamente por cada uma das fontes.

O princípio da superposição não pode ser usado para calcular a potência dissipada em um circuito, já que a dissipação de potência em um resistor varia com o quadrado da corrente ou da tensão, sendo, portanto um efeito não-linear.

 

EXEMPLO NUMÉRICO:

1. Determinar a corrente I¹ para o circuito da Figura 1.

 

Solução: Fazendo E = 0 V no circuito visto na Figura 1, obtém-se o circuito mostrado na Figura 2. Notar que toda a corrente fornecida pela fonte de 3 A irá passar pelo ramo onde está o curto-circuito e assim I’¹ = 0.

 

 

EXEMPLO NUMÉRICO:

 

 

EXEMPLO NUMÉRICO:

3. Usando o teorema da superposição, determinar a corrente I2 no resistor de 12 kΩ na Figura 7.

Solução:

Considerando o efeito da fonte de corrente de 6 mA (ver Figura 8) e aplicando a regra dos divisores de corrente:

 

Como I’² e I”² têm o mesmo sentido em R², a corrente desejada é dada pela soma dessas duas correntes:

 

TEOREMA DE THÉVENIN:

 

O teorema de Thévenin afirma que: Qualquer circuito de corrente contínua bilateral de dois terminais pode ser substituído por um circuito equivalente constituído por uma fonte de tensão e um resistor em série.

Na Figura 10(a) o circuito no interior da caixa só está ligado o exterior por dois terminais, que denominamos a e b. Usando o teorema de Thévenin, é possível substituir tudo o que existe no interior da caixa por uma fonte e um resistor, como mostrado na Figura 10(b), sem mudar as características do circuito entre os terminais a e b. Ou seja, qualquer carga conectada aos terminais a e b se comportará da mesma maneira se estiver conectada ao circuito da Figura 10(a). Nos dois casos a carga receberá a mesma corrente, tensão e potência.

Para o circuito mostrado na Figura 10(a), o circuito equivalente de Thévenin pode ser determinado diretamente combinando as baterias e resistores em série. Mas, na maioria dos casos, existem outros elementos conectados à direita ou à esquerda dos terminais a e b. Entretanto, para aplicar o teorema, o circuito a ser reduzido à sua forma equivalente de Thévenin tem de ser isolado como mostra a Figura 10, e os terminais ‘de conexão’ identificados.

A aplicação desse teorema permite determinar qualquer valor particular de tensão ou corrente num circuito linear com uma, duas ou qualquer outro número de fontes. É possível também separar uma parte de um circuito, substituindo-o pelo equivalente de Thévenin. Por exemplo, na Figura 11, após se obter o circuito equivalente de Thévenin para a parte sombreada, pode-se calcular facilmente a corrente no resistor variável RL e a tensão entre seus terminais para qualquer valor que RL possa assumir.

Na Figura 11, todo o circuito, com exceção de RL, deve ser substituído por uma bateria e um resistor em série. Os valores desses dois componentes do circuito equivalente têm de ser escolhidos de modos a garantir que o resistor RL se comporte, no circuito visto na Figura 11(a), da mesma forma que no circuito mostrado na Figura 11(b). Em outras palavras, a corrente e tensão no resistor RL devem ser as mesmas para os dois circuitos para qualquer valor de RL.

Os passos do método são os seguintes:

1.Remove-se a parte do circuito para a qual deseja obter o equivalente Thévenin. No caso da Figura 11(a), é necessário remover temporariamente o resistor RL.

2. Assinalam-se os terminais do circuito remanescente.

3.Calcula-se RTh, colocando primeiro todas as fontes em zero (substituindo as fontes de tensão por curtos-circuitos e as fontes de corrente por circuitos abertos) e em seguida determine a resistência equivalente entre os dois terminais escolhidos.

4.Calcula-se ETh retornando primeiro todas as fontes às suas posições originais no circuito e em seguida determinando a tensão entre os dois terminais escolhidos, mantendo o circuito aberto entre os terminais a e b.

5. Desenha-se o circuito equivalente de Thévenin e recoloca-se entre os terminais do circuito equivalente a parte que foi previamente removida

 

EXEMPLO NUMÉRICO:

4. Determinar o circuito equivalente de Thévenin para a parte sombreada do circuito da Figura 12. Em seguida, determinar a corrente em RL considerando que essa resistência tenha valores de 2 Ω, 10 Ω e 100 Ω.

 

 

EXEMPLO NUMÉRICO:

5. Determinar o circuito equivalente de Thévenin para a parte sombreada do circuito da Figura 17.

Solução:

Os passos 1 e 2 levam ao circuito da Figura 18.

 

Passo 3 (ver Figura 19): Neste caso, a substituição da fonte de tensão E por um curto-circuito estabelece uma conexão direta entre os pontos c e c’ na Figura 19(a), o que permite ‘dobrar’ o circuito, tendo como eixo a reta horizontal que liga a e b, resultando no circuito mostrado na Figura 19(b).

 

Passo 5: Ver Figura 21

 

A aplicação do teorema de Thévenin não se restringe a apenas um elemento passivo, como mostrado nos exemplos anteriores, pois ele pode ser aplicado em fontes, ramos inteiros, partes dos circuitos ou qualquer configuração de circuito. Pode acontecer também que seja necessário utilizar um dos métodos anteriores, como o das malhas ou da superposição para determinar o circuito equivalente de Thévenin.

 

EXEMPLO NUMÉRICO:

6. Determinar o circuito equivalente de Thévenin para a parte sombreada do circuito da Figura 22.

Solução:

 

TEOREMA DE NORTON:

Já foi visto que para qualquer fonte de tensão em série com uma resistência interna é possível se determinar uma fonte de corrente equivalente. O circuito com fonte de corrente equivalente ao circuito de Thévenin, como mostra a Figura 28, pode ser obtido com o auxílio do teorema de Norton.

 

 

O teorema de Norton afirma que:

Qualquer circuito de corrente contínua linear bilateral de dois terminais pode ser substituído por um circuito equivalente formado por uma fonte de corrente e um resistor em paralelo.

 

Os passos do método são os seguintes:

1.Remove-se a parte do circuito para a qual deseja obter o equivalente de Norton.

2. Assinalam-se os terminais do circuito remanescente.

3.Calcula-se RN, colocando primeiro todas as fontes em zero (substituindo as fontes de tensão por curtos-circuitos e as fontes de corrente por circuitos abertos) e em seguida determine a resistência equivalente entre os dois terminais escolhidos. Nota-se que este passo é idêntico ao que foi descrito para o teorema de Thévenin.

4.Calcula-se IN retornando primeiro todas as fontes às suas posições originais no circuito e em seguida determinando a corrente de curto-circuito entre os dois terminais escolhidos. Esta corrente é a mesma que seria medida por um amperímetro conectado entre os terminais assinalados.

5. Desenha-se o circuito equivalente de Norton e recoloca-se entre os terminais do circuito equivalente a parte que foi previamente removida. Pode-se obter o circuito equivalente de Norton a partir do circuito equivalente de Thévenin e vice-versa utilizando as técnicas de transformação de fontes, discutidas anteriormente e reproduzidas na Figura 29.

 

 

 

EXEMPLO NUMÉRICO:

 

 

EXEMPLO NUMÉRICO:

8. Determine o circuito equivalente de Norton para a parte do circuito à esquerda dos pontos a e b vistos na Figura 36.