Introdução à Eletrostática

Eletricidade Básica

1 Eletricidade e carga elétrica

A eletricidade é um fenômeno conhecido desde a Grécia Antiga. Tales de Mileto descreveu como alguns materiais, como o âmbar, ao serem atritados adquiriam a propriedade de atraírem pequenos objetos como fios de cabelo. Em 1600, a palavra “eletricidade” foi cunhada por William Gilbert para se referir a esse efeito; a palavra é derivada do termo grego para “âmbar”, “elektron”.

Os experimentos realizados até o século XVII concluíram que outros materiais como o vidro e peles de animais também apresentavam essa propriedade. Nessa época, o físico francês C. F. du Fay observou que dois objetos, após serem atritados, podiam se repelir ao invés de se atrair. Suas observações podem ser resumidas tomando dois pedaços de vidro e dois de plástico (um canudo de refrigerante, por exemplo) e atritando todos com papel macio*. Ao aproximar os dois pedaços de vidro, eles se repelem; ao aproximar os dois pedaços de plástico, o mesmo acontece. Entretanto, ao aproximar um pedaço de vidro e um de plástico, eles se atraem.

Em 1733, du Fay propôs que a eletricidade existia em dois tipos, e o atrito entre dois corpos (vidro e papel) podem fazer com que eles troquem esses tipos entre si. Corpos com o mesmo tipo de eletricidade se repelem, e corpos com tipos diferentes se atraem. O tipo de eletricidade presente no vidro atritado por lã foi chamado de “eletricidade vítrea“, e o presente no âmbar de “eletricidade resinosa“.

Condutores e isolantes

Na segunda metade do século XVIII, Benjamin Franklin, físico e estadista americano, tratou a eletricidade como um fluido único, presente em toda a matéria, que deveria conter uma quantidade precisa desse; se o houvesse em excesso, a matéria estaria positivamente carregada, e se o houvesse em falta, a matéria estaria negativamente carregada. De forma arbitrária, Franklin definiu que a eletricidade vítrea é positiva (excesso de fluido), e a eletricidade resinosa é negativa (falta de fluido), convenção que é usada até os dias atuais. De acordo com Franklin, quando dois corpos são atritados, o fluido elétrico (que corresponde ao conceito atual de carga elétrica) pode passar de um corpo para o outro, deixando um com excesso e outro com falta, mas não era nunca criado nem destruído. Hoje essa hipótese se converteu na lei da conservação da carga elétrica.

Na virada do século XIX, descobriu-se que a carga elétrica é quantizada, o que significa que ela sempre aparece em múltiplos de uma carga elementar, que foi medida por Robert Millikan no seu experimento com gotas de óleo. Nas unidades do SI, esse valor é e C 19 10.6,1 − = , que é muitas ordens de grandeza menor do que a carga que costuma se acumular nos objetos macroscópicos, de modo que a natureza discreta da carga pode ser desprezada na maioria das vezes.

2 Condutores e isolantes

Em 1729, Stephen Gray dividiu os materiais em dois tipos: os condutores e os isolantes. Os condutores eram aqueles que podiam transmitir a eletricidade, e os isolantes eram aqueles nos quais a eletricidade ficava retida. Na visão de Franklin, nos condutores o fluido elétrico podia fluir livremente, enquanto nos isolantes o fluido elétrico ficava preso. Na visão atual, nos condutores as cargas podem se movimentar livremente pelo material, enquanto nos isolantes as cargas quase não têm mobilidade.

Os metais são exemplos de condutores e papéis, madeira e plástico são exemplos de isolantes. O ar é um bom isolante quando está seco, mas tem a sua condutividade aumentada quando úmido.

3 Formas de eletrização

Eletrizar um corpo significa torná-lo portador de carga elétrica líquida, seja positiva ou negativa, e é sinônimo de carregar o corpo. As maneiras mais comuns de se fazer isso são: atrito, contato ou indução.

a) Eletrização por atrito (efeito triboelétrico)

Quando dois corpos são atritados, os átomos mais externos de cada corpo entram em contato intenso e podem trocar carga elétrica, mesmo que um deles seja um isolante. Esse fenômeno é conhecido como efeito triboelétrico. Através de experimentos, foi descoberto, por exemplo, que o vidro ao ser atritado com lã sempre adquiria carga positiva, enquanto a lã sempre adquiria carga negativa. Dessa forma, foi possível construir a série triboelétrica mostrada a seguir. Quando dois corpos dessa lista são atritados, o que aparece primeiro ganhará carga positiva, enquanto o último ganhará carga negativa.

b) Eletrização por contato

Quando um corpo condutor carregado é posto em contato com outro condutor neutro, parte da carga do primeiro se transfere para o segundo, tornando-o também eletrizado. O primeiro corpo continua eletrizado, mas com uma carga menor. Ao fim do processo, ambos os corpos ficam com carga do mesmo sinal.

Em algumas situações, tomamos um choque quando tocamos em um objeto metálico. O que ocorre nesse caso é que o objeto estava carregado e parte de sua carga passa para o nosso corpo ou o usa como meio de migrar para a terra. A carga que os objetos podem acumular é popularmente chamada de “eletricidade estática”.

c) Eletrização por indução

Essa forma de eletrização é a única que pode ocorrer sem que o corpo precise entrar em contato com outro. Quando uma carga é colocada próximo de um condutor (sem tocá-lo), induz uma distribuição de cargas no mesmo. Por exemplo, se a carga é um bastão com carga positiva, a parte do condutor mais próximo do bastão ficará com carga negativa, enquanto a parte mais distante ficará positivamente carregada (de modo que o condutor como um todo continue neutro), como mostrado na figura 1.

Se, em seguida, o condutor esférico da figura 1 for conectado a outro condutor, conforme ilustrado na figura 2, haverá uma migração de cargas negativas (elétrons) do segundo condutor (condutor B) para o primeiro (condutor A). Se o bastão for afastado, os condutores voltam a ficar neutros. Entretanto, se a conexão entre eles for cortada antes disso, as cargas não podem mais se transferir de um para outro: o primeiro adquiriu uma carga negativa permanente e o segundo uma carga positiva permanente. Esse processo está mostrado na figura 2.

Na prática, o segundo condutor pode ser substituído por uma conexão com a terra (aterramento), que pode ser considerada um condutor infinitamente grande que está sempre neutro. Ao fazer isso, há uma migração de cargas negativas da terra para o condutor, deixando-o com carga negativa. Assim, se conexão à terra for interrompida ainda na presença do bastão o condutor adquirirá permanentemente uma carga negativa. Esse processo é mostrado na figura 3.

Note que, na eletrização por contato e por indução, há necessidade de um corpo externo já eletrizado. No entanto, na eletrização por contato o condutor adquire a mesma carga do corpo externo, enquanto na eletrização por indução o condutor adquire uma carga oposta à do corpo externo. Ambas só podem ocorrer em condutores, porque as cargas têm liberdade para se moverem. Num corpo isolante, as cargas têm pouca mobilidade, e por isso eles só podem ser eletrizados por atrito.

4 Eletroscópio e pêndulo eletrostático

O eletroscópio é um instrumento usado para detectar carga elétrica. É composto por duas folhas metálicas muito finas posicionadas dentro de uma caixa e ligadas eletricamente a uma esfera metálica fora da caixa, figura 4.

Quando uma carga (positiva, por exemplo) é colocada próxima a esfera, aparece uma carga oposta (negativa) na esfera devido ao efeito de indução. Consequentemente, as folhas ficam com excesso de cargas positivas e se repelem, indicando que o objeto está carregado. Quando a carga externa for afastada, as folhas ficam neutras novamente e voltam para a posição original.

Se a carga tocar a esfera (ao invés de simplesmente estar próxima), o eletroscópio ficará permanentemente carregado, com as suas folhas afastadas, até que seja aterrado (encostando a mão na esfera, por exemplo). Nesse caso, as folhas se eletrizam por contato, e não por indução.

Um eletroscópio só tem a capacidade de diferenciar carga positiva e negativa se ele estiver carregado. Suponha que o eletroscópio está carregado com carga positiva, e aproximamos uma outra carga positiva. Então as cargas negativas da folha migram para a esfera, deixando as folhas ainda mais positivas e fazendo com que a separação delas aumente. De forma análoga, se aproximarmos uma carga negativa a separação entre as folhas irá diminuir.

Outro arranjo usado para detectar carga elétrica é o pêndulo eletrostático, que consiste de um bastão carregado (com carga de sinal conhecido) pendurado por um fio ou barbante, como na figura 5. Se a carga desconhecida é de mesmo sinal, o bastão irá se afastar; se for do sinal oposto, irá se aproximar.

5 Lei de Coulomb e campo elétrico

Em 1766, Joseph Priestley eletrizou um recipiente metálico e notou que toda a carga ficava na superfície externa, e que os corpos dentro do recipiente não sofriam qualquer força elétrica. Newton havia demonstrado que uma casca não cria campo gravitacional dentro dela, e que isso é uma característica única de campos que variam com o inverso do quadrado da distância. Priestley então propôs que a força elétrica também seria proporcional ao inverso do quadrado da distância, com a frase: “Não podemos inferir desse experimento que a atração elétrica está sujeita às mesmas leis da gravitação, variando com o inverso do quadrado da distância, uma vez que se demonstra facilmente que, se a Terra tivesse a forma de uma casca, um corpo dentro dela não sofreria atração nenhuma?”.

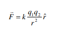
Mais tarde, em 1785, Charles Augustin de Coulomb fez experimentos quantitativos usando uma balança de torção (que havia sido usada por Cavendish para medir a constante gravitacional). Com isso, Coulomb confirmou que a força elétrica é proporcional ao inverso do quadrado da distância, e proporcional à carga das partículas envolvidas, da mesma forma que a força gravitacional é proporcional às massas. Hoje, esse resultado é expresso na chamada lei de Coulomb:

Coulomb foi também capaz de medir a constante eletrostática, que nas unidades atuais do Sistema Internacional é:

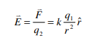
A força elétrica que uma partícula é submetida é diretamente proporcional a sua carga elétrica. Podemos então definir o campo elétrico, como sendo a força por unidade de carga que uma partícula carregada qualquer (corpo de teste) sofreria quando colocada em cada ponto, isto é:

6 Distribuição de cargas em condutores, “poder das pontas“ e pára-raios

Em um condutor carregado, devido à repulsão coulombiana e à alta mobilidade, as cargas livres tendem a ficar o mais afastado possível uma das outras, e por isso se distribuem apenas na superfície, se acumulando nas regiões mais pontiagudas, o que torna o campo elétrico nessas regiões mais intenso. Esse é o fenômeno conhecido como “poder das pontas”.

O poder das pontas explica o funcionamento do pára-raios, inventado por Benjamin Franklin em meados de 1750, que demonstrou seu invento em uma experiência famosas, erguendo uma pipa em um dia chuvoso. As nuvens são carregadas, e isso causa um campo elétrico no ar. O ar é normalmente isolante, mas, se for submetido a um campo elétrico muito intenso, pode ser ionizado e tornar-se condutor. Quando isso acontece, ocorre uma descarga elétrica entre a nuvem e o chão, ou entre nuvens, que é popularmente chamada de raio.

O pára-raio é ligado a terra, possui uma ponta fina e é colocado em um ponto alto (normalmente no alto de um prédio). A ponta do pára-raios concentra muitas cargas e gera um alto campo elétrico. Então o ar se ioniza primeiro nessa região e a nuvem se descarrega através do pára-raios, que proporciona um caminho para a descarga elétrica.

Quando uma casca esférica condutora é carregada, toda a carga fica concentrada na superfície externa, e o campo elétrico dentro da casca é nulo (isso não vale apenas para a casca esférica, mas a toda superfície condutora oca). Se houver uma carga externa próxima, a carga na casca se distribuirá de modo desigual, mas o campo interno continuará nulo. Se a casca for neutra, uma carga oposta deve se acumular na superfície interna, mas ainda assim o campo interno é nulo. A região interna é completamente livre de influências elétricas externas. Qualquer campo elétrico de origem externa produz uma distribuição de cargas na superfície externa da parede da gaiola que cancela o campo na parte interna.

Uma superfície metálica condutora que engloba um volume, como descrito acima, é chamada de gaiola de Faraday. Todo o campo elétrico dentro de uma gaiola de Faraday é devido apenas a cargas internas.

O nome é devido a Michael Faraday, que demonstrou esse fato e construiu a primeira gaiola desse tipo em 1836. A discussão acima se refere os campos estáticos, mas a gaiola de Faraday pode também bloquear campos elétricos alternados, dependendo da freqüência. Estruturas como túneis e elevadores funcionam como gaiolas de Faraday, e podem bloquear sinais de celular e rádio.

7 Experimentos

1. Eletrização por atrito

a) Pegue dois canudos de plástico e um pedaço de papel higiênico. Para eletrizar os canudos, atrite-os com o papel higiênico, tomando o cuidado de atritar fortemente e sempre na mesma direção, figura 6a.

b) Aproxime um canudo de pequenos pedaços de papel picado. Observe e explique o que acontece.

c) Segure os dois canudos paralelamente entre si e tente aproximá-los lentamente um do outro. O que você percebe quando eles estão bem próximos?

2. Um canudo eletrizado contra a parede

a) Atrite um canudo de refrigerante com papel higiênico e jogue-o na parede. O que acontece? Qual é a força que faz o canudo permanecer grudado a parede?

3. Eletroscópio

a) Na sua bancada existem alguns eletroscópios de folhas.

b) Pegue um canudo de refrigerante, e atrite-o com papel higiênico. Aproxime-o e afaste-o da esfera metálica com papel alumínio, sem tocá-la. Observe o que acontece com as tiras de alumínio.

c) Encoste o canudo na esfera, e depois afaste o canudo. Observe e explique o que acontece com as tiras de alumínio.

d) Pegue agora um bastão de vidro, atrite-o com papel higiênico, e repita os dois passos anteriores. Quais são as diferenças entre o plástico e o vidro?

e) Toque a esfera metálica com o bastão de vidro eletrizado, e depois aproxime o bastão sem tocar novamente. O que acontece?

f) Aproxime sem tocar o canudo de plástico da esfera. O que acontece com o eletroscópio?

8 Eletrização por indução

a) Corte um pedaço de cartolina na forma de um quadrado de cerca de 10 cm de lado. Prenda essa cartolina em um canudo, e fixe o conjunto em um suporte (para que o quadrado fique na vertical).

b) Cole uma tira fina de papel de seda na extremidade superior do quadrado, figura 7a.

c) Pegue um canudo atritado com papel higiênico, e aproxime-o do lado oposto ao que está o papel de seda, figura 7b. Observe o que acontece e explique.

d) Mantendo o canudo próximo do quadrado, encoste o dedo na parte da frente da cartolina (a parte que tem o papel de seda), figura 7c.

e) Afaste o dedo e, em seguida, o canudo. O que acontece com o papel de seda? Explique.

f) A partir dessas observações, o papel poderia ser classificado como condutor ou isolante? Justifique sua resposta.

9 Poder das pontas

a) Corte uma cartolina em forma de gota, com cerca de 10 cm de comprimento. Cole duas tiras de papel de seda, com cerca de 5 cm de comprimento, uma na ponta e outra no meio da gota.

b) Fixe o pedaço de cartolina em um canudo e coloque-o na vertical em um suporte;

c) Atrite um canudo com papel higiênico e aproxime o canudo da parte de trás da cartolina (parte onde não estão as fitas). Mantendo o canudo aí, encoste o dedo na parte da frente da cartolina.

d) Afaste o dedo e o canudo e observe o que acontece com as fitas. Qual das fitas se levanta mais? Por quê?

10 Proteção contra cargas elétricas (Gaiola de Faraday)

a) Corte uma cartolina na forma de um retângulo de 7 cm por 15 cm. Cole duas folhas de seda em cada face do retângulo. Cole as extremidades do retângulo para formar um cilindro de altura 7 cm. Use um canudo para fazer o suporte desse conjunto, figura 9a.

b) Eletrize o cilindro por indução, aproximando um canudo eletrizado da parte de fora do cilindro e colocando o dedo na parte externa do outro lado, figuras 9b e 9c.

c) Retire primeiro o dedo e depois o canudo. Observe e explique o que acontece com as fitas? Explique o comportamento observado, figura 9d.

d) Eletrize o cilindro internamente por indução. Explique o comportamento observado.