TÓPICOS DO CURSO ELETROTÉCNICA

Eletrotécnica Geral

1 LEI DE OHM

A lei de OHM é uma fórmula matemática que estabelece a relação entre as três grandezas fundamentais da eletricidade: a corrente, a resistência e a tensão (tensão : também conhecida como diferença de potencial). Foi descoberta pelo alemão George S. Ohm.

As grandezas elétricas são representadas por símbolos (letras), veja a seguir:

2 Tensão

A diferença de potencial entre os terminais de um circuito é igual ao produto da resistência desse circuito pela intensidade da corrente elétrica que passa por tal circuito. Para um exemplo prático, temos um circuito elétrico, uma corrente de 2 amperes ao passar por um resistor de 10Ω provoca uma diferença de potencial elétrico de 20 volts sobre esta resistência, desta forma confirmando a Lei de Ohm,

V = R.I.

3 Corrente

A intensidade da corrente elétrica que percorre o circuito é igual à divisão da diferença de potencial entre os terminais desse circuito pela resistência que esse circuito apresenta à passagem da corrente elétrica. Novamente usando o exemplo anterior, com uma fonte de tensão de 10V e os terminais de uma resistência de 10 ohm, provoca uma corrente elétrica de 2 amperes.

Veja como fica a representação da lei de OHM através de uma fórmula matemática:

I = V / R

4 Resistência

A resistência que um circuito, apresenta a passagem da corrente elétrica é igual à divisão da diferença de potencial (tensão) entre os terminais desse circuito pela intensidade da corrente que por ele passa.

Veja como fica a representação da lei de OHM através de uma fórmula matemática:

R = V / I

A associação dos resistores, pode ser resumida da seguinte forma:

 

5 Potência

Existe ainda uma grandeza que é muito utilizada em eletrotécnica, não faz parte da lei de OHM mas está ligada diretamente a ela. É a potência elétrica. Saber qual a potência elétrica na dissipação de calor dos componentes eletrônicos e seus circuitos é de extrema importância para o bom funcionamento dos mesmos.

A potência elétrica produzida é medida em WATTS, sua unidade é o W e seu símbolo de grandeza é o P.

Exemplo prático: Num circuito, onde aplicamos uma diferença de potencial de 20 volts e obtemos uma corrente elétrica de 2 ampères, produzimos uma potência elétrica de 40 watts. Teoricamente nosso circuito formado pela resistência de 10ohm teria que suportar uma potência de 40 W.

Veja como fica a representação através de uma fórmula matemática:

P = V.I

O circuito é funcional quando temos as três grandezas da eletricidade presente, a tensão produzida por uma fonte de energia, a resistência elétrica produzida pelo circuito e a corrente elétrica que percorre o circuito realizando o seu funcionamento.

 

Dados conhecidos, fornecidos pelo fabricante dos componentes: Bateria: Tensão 9V, Lâmpada : Tensão 9V, potência 3W. Com estas informações e utilizando as fórmulas de OHM, encontraremos todos os dados restantes como a corrente elétrica do circuito e a resistência da lâmpada no circuito.

Cálculo da corrente elétrica:

Fórmula: I = P / V    3 / 9     I = 0,333A

Nosso resultado será aprox. 333mA (miliamperes) a corrente elétrica que percorre nosso circuito.

Cálculo da resistência da lâmpada:

Fórmula: R = V / I     9 / 0,333      R = 27,027Ω

6 LEIS DE KIRCHHOFF

As leis de Kirchhoff são assim chamadas em homenagem ao físico alemão Gustav Robert Kirchhoff (1824-1887) e são baseadas no Princípio da Conservação de Energia e no Princípio de Quantidade de Carga.

As Leis de Kirchhoff regem a associação de componentes num circuito. Ao contrário da Lei de Ohm, cujo âmbito é a resistência, as Leis de Kirchhoff das tensões e das correntes estabelecem as regras às quais devem respeitar as associações de componentes. A aplicação conjunta das Leis de Kirchhoff e de Ohm permite obter um conjunto de equações cuja resolução conduz aos valores das correntes e das tensões aos terminais dos componentes

1ª Lei de Kirchhoff (Lei das Correntes ou Leis dos Nós)

Em um nó, a soma das correntes elétricas que entram é igual à soma das correntes que saem, ou seja, um nó não acumula carga.

 

Relativamente ao circuito representado na figura anterior, a aplicação da Lei dos nós conduz a:

 

2ª Lei de Kirchhoff (Lei das Tensões ou Lei das Malhas)

A soma algébrica da d.d.p (Diferença de Potencial Elétrico) em um percurso fechado é nula. Ou seja, a soma de todas as tensões (forças eletromotrizes) no sentido horário é igual a soma de todas as tensões no sentido anti-horário, ocorridas numa malha, é igual a zero.

 

De acordo com o sentido de referência das tensões representadas na figura anterior e circulando no sentido dos ponteiros do relógio, a lei das malhas permite obter a equação:

Note-se que se considerou o simétrico das tensões u2 e u4 uma vez que o seu sentido de referência representado é o oposto ao de circulação. Não é determinante escolher o sentido horário ou o anti-horário, pois as equações obtidas de uma ou outra forma são exatamente equivalentes.

 

O somatório das tensões ao longo da malha ser nulo, equivale a dizer que é nulo o trabalho necessário para deslocar uma carga ao longo da malha fechada. Isto acontece porque o sistema é conservativo.

Relativamente ao circuito representado na figura 2, a aplicação da Lei das Malhas conduz a:

 

7 EXERCÍCIOS DE CORRENTE CONTÍNUA

1 – Encontre a resistência equivalente dos circuitos abaixo:

 

2 – Encontre Vx nos circuitos abaixo (no circuito b, a corrente da fonte é de 2A)

 

3 – Dado o circuito abaixo, calcule:

 

a) resistências R1, R2, R3 e RT;
b) a potência dissipada por cada resistência;
c) o consumo de energia de cada resistência com o custo do kWh em R$ 0,36

4 – Qual a corrente e a resistência de uma lâmpada de 60W ligada na tensão nominal de Joinville?

 

5 – Para um chuveiro de 6kW ligado na tensão nominal de Joinville, calcule:

a) Corrente do disjuntor do circuito;
b) resistência do chuveiro;
c) a corrente que circularia por uma pessoa que entrasse em contato com esta resistência.

8 CORRENTE ALTERNADA

Vamos estudar neste capítulo o conceito de corrente alternada e o funcionamento do gerador elementar.Esse estudo é muito importante, pois quase toda a energia elétrica que consumimos é sob a forma de corrente alternada.

Chamamos de corrente alternada, a uma corrente que muda periodicamente de sentido, ou seja, que ora flui numa direção, ora em outra.

A uma representação gráfica de corrente alternada, chamamos de forma de onda. A forma de onda mostra as variações da corrente ou da tensão no tempo.

Podemos ter várias formas de onda de corrente alternada.

A seguir tem-se alguns exemplos:

A tensão que utilizamos em nossos lares, na indústria e no comércio é do tipo alternada senoidal.

A justificativa da utilização da corrente alternada senoidal está nas inúmeras vantagens que esta oferece.

Dentre estas vantagens, destacamos:
- facilidade de geração em larga escala;
- facilidade de transformação da tensão;
- as máquinas de corrente alternada são mais econômicas (mais baratas, a manutenção é menos freqüente, o tamanho é menor).

9 GERADOR ELEMENTAR

Vamos agora aprender o funcionamento do gerador elementar, que é um tipo de fonte de f.em. que gera a corrente alternada. É dito elementar por ser um modelo simplificado dos grandes geradores. No entanto, seu princípio de funcionamento é o mesmo que dos geradores encontrados em grandes usinas.

 

E da forma de onda resultante do processo de geração, se obtém a fórmula da Tensão Instantânea:

 

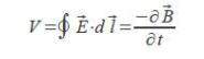
10 Leis de Faraday e Lenz

Lei de Faraday

Em 1831 Michael Faraday reportou uma série de experimentos, onde ele relacionava variações em campos magnéticos com indução de corrente elétrica. Ele então relacionou a variação de campo com a força eletromotriz, induzida através de:

 

Estes experimentos levaram Faraday a estabelecer que um campo magnético variável induz a campo elétrico. Sendo a diferença de potencial e variação de campo magnético relacionados por:

 

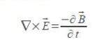
Mais conhecida em sia forma diferencial:

 

Lei de Lenz:

A lei de Lentz enucia que a corrente gerada na Lei de Faraday terá o sentido de modo a cancelar a mudança de fluxo do campo magnético. Conforme podemos ver no exemplo abaixo:

 

Após diversos testes realizados experimentalmente, Faraday conseguiu chegar a uma conclusão com exatidão a respeito da corrente induzida: quando o número das linhas de campo que atravessam um circuito varia, nesse circuito aparece uma corrente elétrica denominada  Corrente Induzida.

Definida a condição para que exista a corrente induzida, falta ainda explicar como obter o sentido dessa corrente. Quem elaborou a explicação mais simples para isso foi o físico Heinrich Friedrich Lenz, segundo ele: 

O sentido da corrente induzida é tal que o campo magnético por ela produzido se opõe à mudança de fluxo que se originou.

 

11 FREQUÊNCIA E PERÍODO

O conjunto dos valores positivos e negativos de uma senoide representa o que chamamos de ciclo (que corresponderá a uma volta completa da espira no caso analisado do gerador elementar).

 

A frequência (f) de uma tensão ou corrente alternada é o número de ciclos que ocorrem em uma unidade de tempo (que é o segundo). Sua unidade é o hertz (Hz).

O período (T) é o tempo necessário à ocorrência de um ciclo.

Sua unidade é o segundo (s).

Podemos relacionar freqüência e período, pelo seguinte raciocínio. Se um ciclo ocorre em T segundos, f ciclos ocorrem em um segundo:

1 ciclo – T segundos
f ciclos – 1 segundo

Onde:

 

12 VALORES DE UMA CORRENTE OU TENSÃO ALTERNADAS

Existem diversas maneiras de se avaliar uma corrente ou tensão alternadas. São elas:

  • Valor máximo;
  • Valor de pico a pico;
  • Valor instantâneo;
  • Valor médio;
  • Valor eficaz.

Valor máximo ou valor de pico

O valor máximo equivale à máxima amplitude da senoide que representa a tensão ou a corrente.

Portanto, é o maior valor assumido pela grandeza num semi-ciclo.

Valor de pico a pico

O valor de pico a pico de uma grandeza senoidal é o valor compreendido entre o máximo positivo e o máximo negativo.

Pode-se observar no diagrama senoidal, que o valor de pico a pico corresponde a duas vezes o valor máximo.

 

Valor instantâneo

O valor instantâneo de uma grandeza é o valor que essa grandeza assume no instante de tempo considerado.

 

a) em função do ângulo α:

Sabemos do gerador elementar que: e = B . l . v . sena

Como o maior valor que a tensão pode assumir corresponde a senα = 1, o valor máximo da tensão será:

 

Essa é a expressão do valor instantâneo em função do ângulo α. Para a corrente, temos:

 

b) Em função do tempo:

Observando-se o gerador elementar abaixo, notamos que a espira perfaz um ângulo “α”, gastando para isso um tempo “t”.

A relação entre o ângulo percorrido e o tempo gasto é a velocidade angular (ω), dada em radianos por segundo (rad/s).

 

Para corrente:

 

Valor médio

O valor médio de uma corrente ou tensão alternada é a média dos valores instantâneos de um semi-ciclo.

 

O valor médio corresponde a: 

 

Valor eficaz

É o valor da corrente alternada que produz o mesmo efeito que uma corrente contínua aplicada a uma resistência.

O valor eficaz corresponde a:

E = tensão eficaz (v)
I = Corrente eficaz (A)

O valor eficaz corresponde à altura de um retângulo de base igual a um semiciclo e área equivalente a esse semiciclo.

13 EXERCÍCIOS DE FREQÜÊNCIA E PERÍODO

1 – Calcular quanto tempo dura um semi-ciclo na freqüência de 50 Hz

2 – Quantos ciclos ocorrem em um segundo na freqüência de 60 Hz?

3 – Quanto tempo uma corrente alternada de 60 Hz gasta para varrer o trecho compreendido entre 0 e 30º?

 

4 – Quantos ciclos ocorrem em uma hora na freqüência de 60 Hz?

5 – Quanto tempo uma CA de 60 Hz gasta para atingir metade de seu valor máximo?

EXERCÍCIOS DE VALORES DE UMA TENSÃO OU CORRENTE ALTERNADA

1 – Para uma tensão alternada senoidal cujo valor eficaz é 200 V, determinar:

a) o valor máximo;
b) o valor de pico a pico;
c) o valor médio;
d) o valor instantâneo para α = 45º.

2 – Para uma tensão alternada senoidal cujo valor médio é 65 V e freqüência 60 Hz, determinar:

a) o valor máximo;
b) o valor de pico a pico;
c) o valor eficaz;
d) o valor instantâneo para t = 20ms.

3 – Uma corrente alternada cruza o eixo das abscissas iniciando um semi-cilo positivo em t = 0 s. Calcular em que instante de tempo essa corrente de 60 Hz, cujo valor máximo é 10 A, atinge pela primeira vez o valor de 5,5 A?