Motores ,Geradores Elétricos e Eletrotécnica

Eletrotécnica Geral

1 Motores e Geradores elétricos

Motor Elétrico

Um Motor Elétrico é uma máquina destinada a transformar energia elétrica em mecânica. É o mais usado de todos os tipos de motores, pois combina as vantagens da energia elétrica baixo custo, facilidade de transporte, limpeza e simplicidade de comando com sua construção simples, custo reduzido, grande versatilidade de adaptação às cargas dos mais diversos tipos e melhores rendimentos.

A tarefa reversa, aquela de converter o movimento mecânico na energia elétrica, é realizada por um gerador ou por um dínamo. 

Em muitos casos os dois dispositivos diferem somente em sua aplicação e detalhes menores de construção. Os motores de tração usados em locomotivas executam frequentemente ambas as tarefas se a locomotiva for equipada com os freios dinâmicos. Normalmente também esta aplicação se dá a caminhões fora de estrada, chamados eletrodíesel.

A maioria de motores cescos trabalha pela interação entre campos eletromagnéticos, mas existem motores baseados em outros fenômenos eletromecânicos, tais como forças eletrostáticas.

 O princípio fundamental em que os motores eletromagnéticos são baseados é que há uma força mecânica em todo o fio quando está conduzindo corrente elétrica imersa em um campo magnético. A força é descrita pela lei da força de Lorentz e é perpendicular ao fio e ao campo magnético. Em um motor giratório, há um elemento girando, o rotor. O rotor gira porque os fios e o campo magnético são arranjados de modo que um torque seja desenvolvido sobre a linha central do rotor.

A maioria de motores magnéticos são giratórios, mas existem também os tipos lineares. Em um motor giratório, a parte giratória (geralmente no interior) é chamada de rotor, e a parte estacionária é chamada de estator . O motor é constituído de eletroímãs que são posicionados em ranhuras do material ferromagnético que constitui o corpo do rotor e enroladas e adequadamente dispostas em volta do material ferromagnético que constitui o estator.

Os motores elétricos servem de base para o funcionamento de vários aparelhos, como liquidificadores, ventiladores, motores de geladeira, entre outros. Geralmente, esses equipamentos trabalham juntos, como quando os geradores são impulsionados por motores à explosão (automóveis), cataventos (geradores eólicos) ou turbinas e rodas d’água (geradores hidrelétricos).

Gerador Elétrico

Gerador é um dispositivo utilizado para a conversão da energia mecânica, química ou outra forma de energia em energia elétrica.

O tipo mais comum de gerador elétrico, o dínamo (gerador de corrente contínua) de uma bicicleta, depende da indução eletromagnética para converter energia mecânica em energia elétrica, a lei básica de indução eletromagnética é baseada na Lei de Faraday de indução combinada com a Lei de Ampere que são matematicamente expressas pela 3º e 4º equações de Maxwell respectivamente.

O dínamo funciona convertendo a energia mecânica contida na rotação do eixo do mesmo que faz com que a intensidade de um campo magnético produzido por um imã permanente que atravessa um conjunto de enrolamentos varie no tempo, o que pela Lei da indução de Faraday leva a indução de tensões nos terminais dos mesmos.

A energia mecânica (muitas vezes proveniente de uma turbina hidráulica, à gás ou a vapor) é utilizada para fazer girar o rotor, o qual induz uma tensão nos terminais dos enrolamentos que ao serem conectados a cargas levam a circulação de correntes elétricas pelos enrolamentos e pela carga.

No caso de um gerador que fornece uma corrente contínua, um interruptor mecânico ou anel comutador alterna o sentido da corrente de forma que a mesma permaneça unidirecional independente do sentido da posição da força eletromotriz induzida pelo campo. Os grandes geradores das usinas geradoras de energia elétrica fornecem corrente alternada e utilizam turbinas hidráulicas e geradores síncronos.

O mesmo não ocorre nos geradores que operam baseados em princípios eletromagnéticos pois os mesmos permitem uma concentração volumétrica de energia bem maior.

Um dos exemplos de aplicação é no fornecimento de energia para os aceleradores de partículas.

No dia a dia, convivemos com geradores de corrente contínua, como as pilhas e baterias, e de corrente alternada, que é a energia fornecida pelas empresas de eletricidade.

2 Eletrotécnica

Introdução

Produção da Energia Elétrica

Circuito Elétrico:

Caminho percorrido por uma corrente elétrica graças a uma diferença de potencial.

Diagrama Básico de um Circuito

Convenção de sinais

Elementos Ideais de Circuitos

Resistor Ideal

Relação v x i em um Resistor Ideal

 

Resistência CC de um fio cilíndrico,maciço e homogêneo.

Fontes de Tensão

Ideal

Real (possui uma resistência interna Ri)

Fontes de Corrente

Ideal

Fornece uma corrente i = j independentemente das tensão aos seus terminais.

Real (possui uma resistência interna Ri)

 

Lei de Kirchoff das tensões (LKT)

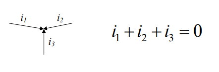
“A soma algébrica das correntes que entram em (ou que saem de) um nó é igual a zero.”

Exemplo:

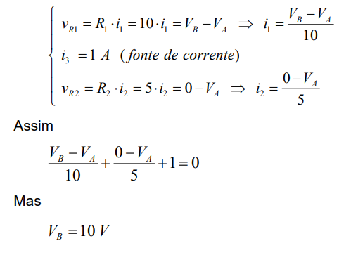
Determinar a tensão nos terminais da fonte de corrente do circuito elétrico abaixo.

Sabe-se pela LKC que, no nó A, tem-se:

Mas, pelas relações v x i no resistor e pela propriedade das fontes de corrente, tem-se que:

Associação de resistores

Série

Paralelo

3 Potência

Análise CC de malhas e nós

• Definições:

Grafo

Conjunto de segmentos chamados elementos e pontos chamados nós, os quais são terminais dos elementos, ligados de maneira tal que os elementos são incidentes somente aos nós.

Nó  – componente terminal de um elemento.

Elemento – componente entre dois nós adjacentes.

Ativo – possui fonte de tensão ou de corrente.

Passivo – não possui fonte de tensão ou de corrente.

Sub-grafo:Qualquer conjunto de elementos e nós de um grafo.

Caminho:

Sub-grafo com não mais de dois elementos ligados a cada nó.

Malha ou Laço:

Caminho no qual os dois nós terminais coincidem e os nós interiores são distintos.

Árvore (de um grafo)

É um sub-grafo que contém todos os vértices e nenhuma malha ou laço.

Ramos ( de uma árvore):Elementos que pertencem à árvore.

Cordas (de uma árvore):Elementos que não pertencem à árvore.

Teorema: Para uma dada árvore “T” de um grafo “G” com “n” nós e “e” elementos, existem exatamente “r = n - 1” ramos e “c = e – n + 1” cordas.

Corolário: Num circuito elétrico existem “r” equações linearmente independentes relativas à LKC e “c” equações linearmente independentes relativas à LKT.

Análise

Circuito elétrico com “e” elementos;

• O circuito possui então “2e” incógnitas a determinar (“e” tensões e “e” correntes);

• São necessárias “2e” equações para se determinar as “2e” incógnitas;

• Cada elemento possui uma relação v x i, logo já se dispõe de “e” equações;

• Pelo corolário acima existem “r=n-1” expressões relativas à LKC;

• Ainda pelo corolário acima existem “c=e-n+1” expressões relativas à LKT;

• Total das equações disponíveis para resolver o circuito elétrico é de: t = e + r + c = e + (n – 1) + (e n + 1) = 2e

Correntes de malhas x Correntes nos elementos

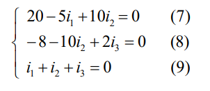
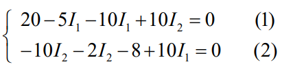
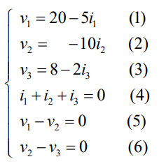
Exemplo: Calcular as correntes e tensões em todos os elementos do circuito abaixo.

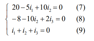
As relações v x i, juntamente com as relações LKC e as relações LKT perfazem as 6 relações necessárias para se resolver o circuito acima. Desta forma:

Fazendo (1) – (2) e (2) – (3) e substituindo respectivamente em (5) e (6), consegue-se eliminar as variáveis relativas às tensões. Assim procedendo:

Rearranjando estas equações, fica:

Pela equação (9) vê-se que a corrente i1 é função das correntes i2 e i3. Assim:

Substituindo (10) nas equações (7) e (8) vem que:

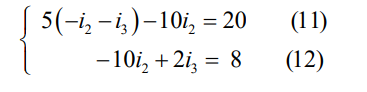
Rearranjando estas equações, fica:

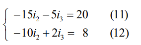
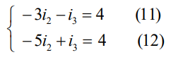
Ou ainda, dividindo por 5 a primeira e por 2 a segunda, vem que

Somando (11) com (12) vem que:

Substituindo (13) na equação (12) vem que:

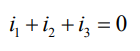
Substituindo (13) e (14) na equação (10) vem que:

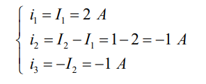
Substituindo os valores encontrados para as correntes nas equações (1) a (3) vem que

Este exemplo mostra que apenas as relações v x i, acrescidas das expressões relativas às leis de Kirchoff (LKC e LKT) são suficientes para se resolver um circuito elétrico.

De posse das tensões e correntes em todos os elementos o analista pode, por exemplo, calcular as potências fornecidas por cada elemento. Por exemplo, as potências fornecidas pelas fontes de tensão do circuito vão ser iguais a:

O leitor pode perceber que a fonte presente no elemento 1 fornece potência (ela é positiva, de valor 20 W), enquanto a fonte presente no elemento 3 consome potência (a potência fornecida é negativa, de valor -10 W). O elemento 2, resistor puro, obviamente consome potência, ou seja, fornece potência negativa. Esta afirmativa pode ser comprovada calculando a sua potência fornecida, ou seja:

O leitor pode perceber também que a soma das potências fornecidas em todos os elementos do circuito é nula, ou seja

Este tipo de resultado ajuda ao analista iniciante a verificar se sua análise está ou não correta, uma vez que permite uma prova simples de que os resultados obtidos estão corretos ou não. 

4 Métodos de Solução de Circuitos Elétricos

Embora as relações v x i, adicionadas às expressões relativas às LKC e LKT sejam suficientes para resolver circuitos elétricos, o leitor percebe que a solução de um circuito simples como o anterior pode ser longa e trabalhosa quando se utiliza estas equações. A solução pode ser ainda mais trabalhosa em circuitos reais (Sistemas Elétricos de Potência, circuitos industriais, placas de circuito impresso com circuitos eletrônicos analógicos, circuitos motrizes que envolvam motores elétricos, etc).

Desta forma, foram desenvolvidos métodos adicionais, que conseguem promover a solução de circuitos elétricos de forma mais fácil e com menos trabalho, denominados métodos de solução de circuitos elétricos. Neste item serão apresentados dois métodos de solução que visam facilitar o trabalho de resolver circuitos elétricos.

Métodos das Correntes de Malhas

O método das correntes de malha utiliza as denominadas correntes de malhas básicas. Malhas básicas são malhas que contém apenas uma corda. Assim, no circuito anterior, o leitor pode perceber que existem duas cordas e, por conseguinte, vão existir apenas duas malhas básicas, conforme figura abaixo.

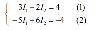
Utilizando a LKT para as duas malhas básicas, vem que:

Rearranjando as equações, fica:

Simplificando vem que:

Multiplicando (1) por 3 e somando com (2) vem que:

O valor de I2 pode ser calculado a partir de (1) ou de (2). Assim

Os valores das correntes nos elementos pode ser calculado simplesmente verificando que:

O leitor deve perceber que a solução deste circuito passou pela solução de um sistema de 2 equações e 2 incógnitas, enquanto para o método geral, foi necessário a solução de um sistema de 6 equações e 6 incógnitas. A diferença fica ainda maior para circuitos elétricos associados a sistemas reais antes mencionados com a presença de centenas a milhares de elementos.

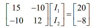
As equações (1) e (2) podem ser colocadas na forma matricial, resultando:

Estas equações podem ser escritas da forma:

O leitor pode perceber que a matriz das resistências de laço é formada da seguinte maneira:

  • Rii é a soma das resistências na malha ou laço i;
  • Rij é o valor da soma das resistências presentes nas malhas i e j tomada com sinal negativo;

Por outro lado, o vetor das tensões de laço é formado da seguinte maneira:

• Ei é a soma das fontes de tensões na malha ou laço i;

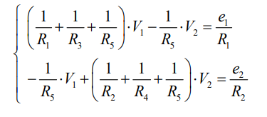
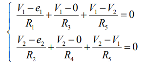
Métodos das Tensões dos Nós

O método das tensões dos nós utiliza as denominadas tensões de nó. Tensões de nó são diferenças de potencial de todos os nós do circuito elétrico em relação a um nó eleito como referência. Desta forma, como no circuito exemplo existem apenas dois nós, elegendo o nó B como referência, vai existir apenas uma tensão de nó. Desta forma, haverá apenas uma equação a ser resolvida para se chegar à solução do circuito.

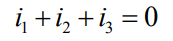
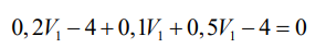
Utilizando a LKC para o nó A vem que:

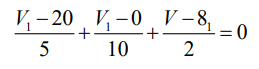
Expressando as correntes dos elementos em função da tensão do nó A em relação à tensão do nó B, denominada V1, vem que:

Rearranjando os termos vem que:

Ou ainda:

Ou finalmente:

O método pode ser mais bem ilustrado se aplicado em um circuito com mais de dois nós, como o circuito a seguir:

Soma de correntes que saem dos nós é igual a zero.

Rearranjando os termos vem

Na forma matricial tem-se que :

Estas equações podem ser escritas da forma:

O leitor pode perceber que a matriz das condutâncias de barra é formada da seguinte maneira:

  • Gii é a soma das condutâncias ligadas ao nó i;
  • Gij é o valor da soma das condutâncias entre os nós i e j tomada com sinal negativo;

Por outro lado, o vetor das correntes de barra é formado da seguinte maneira:

  • Ii é a soma das correntes equivalentes injetadas no nó i;

Exemplo: Determinar a tensão V e a potência consumida pela resistência de 47 Ω utilizando os métodos das tensões nodais e das correntes de malhas.

Método das correntes de malhas

Aplicando o método vem que:

Rearranjando

Resolvendo

A tensão V vai ser dada por

A potência dissipada no resistor de 47 Ω vai ser dada por:

Ou seja:

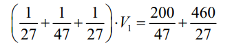
Método das tensões dos nós

Aplicando o método vem que:

Rearranjando

Resolvendo

A potência dissipada no resistor de 47 Ω vai ser dada por :

Ou ainda

Ou seja