Alimentação Escolar

Merendeiro(a) Escolar

1 Alimentação Escolar:

As experiências alimentares incorporadas durante a infância são determinantes para a formação dos padrões alimentares adotados pelos indivíduos, sendo o ambiente escolar um importante local que possibilita o contato e a criação de hábitos alimentares saudáveis. Ademais, a escola tem como dever difundir práticas adequadas que propiciem o controle de deficiências nutricionais e a redução da desnutrição infantil e das doenças e agravos não transmissíveis (DANT).

Uma das formas de proporcionar tais práticas na escola é o fornecimento da alimentação escolar — definida como todo o alimento oferecido no ambiente escolar, durante o período letivo, independentemente de sua origem. Por meio da oferta de refeições nutricionalmente adequadas e de práticas educacionais em alimentação e nutrição, contribui-se para o crescimento do aluno nas áreas social, cognitiva, emocional e, principalmente, nutricional .

Tendo em vista a importância da alimentação escolar, em 1979 foi implantado o Programa Nacional de Alimentação Escolar (PNAE), dando continuidade à Campanha da Merenda Escolar criada em 1955. O PNAE garante a alimentação de todos os alunos da educação básica matriculados em escolas públicas e filantrópicas por meio da transferência de recursos financeiros repassados pela União aos estados e municípios (3, 4). O programa preconiza o desenvolvimento da criança e a melhoria de seu rendimento escolar por meio da oferta de uma alimentação saudável, em condições higiênico-sanitárias seguras e em consonância com a cultura e a tradição da população.

A alimentação escolar visa a fornecer aporte energético e nutricional capaz de contribuir para o crescimento biopsicossocial e o pleno exercício das aptidões dos educandos, considerando-se o processo ensino-aprendizagem durante o período de permanência na instituição educacional . Adicionalmente, a alimentação escolar desempenha papel de relevância social, uma vez que, em muitos casos, é considerada como a refeição principal do dia e a única garantia de alimentação da criança (6, 7). Nesse sentido, a resolução 38/2009, a qual tem como fundamentação legal a Portaria Interministerial MEC/MS 1010/2006, preconiza que as crianças em unidades de educação, em período parcial e integral, devem receber refeições adequadas e balanceadas, que venham a atingir, no mínimo, 30 e 70%, respectivamente, das necessidades nutricionais diárias.

Em face desse cenário, é importante avaliar a adequação nutricional dos cardápios oferecidos em escolas brasileiras, no intuito de verificar o atendimento dos parâmetros propostos pelo PNAE . Tal informação permitirá propor intervenções para melhorar a qualidade da alimentação escolar, determinando a adoção de hábitos alimentares saudáveis entre os escolares e a redução de distúrbios nutricionais . O objetivo do presente estudo foi avaliar o planejamento, o processo produtivo, a distribuição e a adequação do aporte nutricional do cardápio da principal refeição ofertada em unidades educacionais públicas integradas de Belo Horizonte, Brasil.

2 Materiais e métodos:

Trata-se de um estudo descritivo com delineamento transversal realizado no período de março de 2011 a abril de 2012 em escolas municipais de Belo Horizonte, estado de Minas Gerais, participantes do Programa Escola Integrada (PEI). O PEI é uma política municipal que estende o tempo de permanência na escola e a aprendizagem para crianças e adolescentes do ensino fundamental para 9 horas diárias, com reforço dos conteúdos oferecidos e oficinas educativas. Nesse período de atividades são propostas e ofertadas três refeições diárias: desjejum, almoço e lanche .

Para a determinação da amostragem, foram consideradas todas as escolas municipais integradas e a sua proporcionalidade em relação aos distritos sanitários (divisão administrativa da cidade para fins organizacionais) do município. Considerou-se ainda um erro alfa de 5% e poder do teste de 80% . A partir desse cálculo, o tamanho da amostra foi definido em 42 escolas, sorteadas aleatoriamente, distribuídas nos distritos de forma a manter a equivalência proporcional inicial. Assim, duas escolas foram sorteadas no distrito Centro-Sul; três no distrito de Pampulha; quatro nos distritos Oeste e Noroeste; cinco nos distritos Leste, Norte e Venda Nova; e sete nos distritos Barreiro e Nordeste.

A seleção dos cardápios foi pautada no planejamento realizado por nutricionistas da Secretaria Municipal Adjunta de Segurança Alimentar e Nutricional (SMASAN). Atualmente, trabalha-se com uma seleção de 20 cardápios base que são alternados ao longo do ano. Neste estudo, foi avaliada a refeição principal, comparando os cardápios planejados com os executados, de acordo com as quantidades per capita propostas de ingredientes pela referida secretaria para essa refeição.

Inicialmente, investigamos se as preparações oferecidas eram correspondentes às planejadas pela SMASAN. No caso de alguma divergência, averiguamos, junto aos manipuladores de alimentos, os motivos alegados para as modificações.

Foram coletados dados de cinco cardápios da refeição principal, randomicamente selecionados, em cada escola, por meio da pesagem direta de todos os ingredientes e alimentos envolvidos no preparo. Para a base de cálculo, foi considerado o número total de escolares que almoçaram no dia da coleta, não sendo separados por faixa etária, conforme prática adotada nas unidades.

A pesagem dos alimentos foi realizada utilizando-se balanças mecânicas com capacidade para até 15 kg, das próprias unidades, após a devida calibração. Aferiu-se o peso bruto e líquido de todos os ingredientes, peso das preparações, sobras limpas, sobras sujas, resto-ingestão e peso das porções consumidas pelos colaboradores (funcionários das escolas). A sobra limpa englobou os alimentos preparados e não distribuídos. A sobra suja se refere aos alimentos disponibilizados no balcão de distribuição, mas que não foram servidos nos pratos. A resto-ingestão foi determinada pelo peso do alimento que permaneceu no prato depois da refeição, após retiradas as cascas de frutas e os ossos, em relação ao que foi servido .

A partir desses registros, foram calculadas as quantidades de alimentos produzidos e as quantidades per capita das porções ofertadas e consumidas pelos alunos. As quantidades per capita oferecidas foram calculadas subtraindo-se do peso total de cada preparação executada a quantidade consumida pelos colaboradores e os valores das sobras (limpa e suja), e dividindo-se esse resultado pelo número de refeições servidas para as crianças. Para encontrar a quantidade per capita consumida, subtraiu-se, além dos valores supracitados, a restoingestão. Considerou-se aceitável uma porcentagem de resto-ingestão de 2 a 5% da quantidade servida, e admissível o percentual de 3% para a soma de sobra limpa e suja, conforme sugerido por Vaz.

O aporte nutricional dos cardápios propostos pelo município e dos cardápios executados foi comparado, ainda, aos parâmetros do PNAE para as faixas etárias de 6 a 10 anos e de 11 a 15 anos, considerando que a refeição principal deve suprir no mínimo 30% das necessidades nutricionais diárias (4). Foram determinadas as quantidades de energia, carboidratos, proteínas, lipídios, fibras, vitaminas A e C, cálcio, ferro, zinco e magnésio.

As informações foram armazenadas em um banco de dados elaborado no programa Microsoft Office Excel 2007®. A análise estatística foi realizada com auxílio do software Statistical Package for the Social Science (SPSS), versão 19.0 para Windows®.

Efetuou-se uma análise descritiva por meio de frequências absolutas e relativas e de medidas de tendência central (média e mediana) e de dispersão (desvio padrão, mínimo-máximo). Aplicou-se o teste de Kolmogorov-Smirnov para avaliação da aderência das variáveis quantitativas à distribuição normal. As variáveis paramétricas foram apresentadas na forma de média e desvio padrão, enquanto as demais foram descritas como mediana e valores mínimo-máximo.

Adicionalmente, foram realizados os testes de variância unidirecional ANOVA com Tukey HSD post hoc (para comparar as médias das variáveis nos diferentes distritos sanitários); qui-quadrado (c2) de Pearson (para verificar os motivos de alteração dos cardápios e a adequação dos nutrientes); KruskalWallis e Mann-Whitney (para comparar medianas entre os distritos); Wilcoxon (para comparar as medianas dos nutrientes com os valores estabelecidos pelo PNAE e a proposição da SMASAN); e correlação de Spearman (para verificar se havia relação entre as variáveis quantitativas). Em todas as análises, considerou-se nível de significância de 5% (P < 0,05).

3 Resultados:

Dos 210 cardápios analisados, identificou-se alteração, em relação ao planejado, em 166 (79%), sobretudo em virtude da alegação de falta de ingredientes (37,10%). A baixa aceitação de determinadas preparações (5,70%), a utilização de ingredientes próximos à data de vencimento (5,20%), a falta de planejamento do pré-preparo (4,80%) e a falta de equipamentos (1,90%) também foram citados como motivos para as alterações. Ademais, 24,80% das alterações foram realizadas sem motivo aparente. A prevalência de alterações foi diferente entre os distritos (maior prevalência na região Centro-Sul, com 100%; menor na Pampulha, com 53,30%; P = 0,038).

Quanto aos índices avaliadores da produção e distribuição da alimentação escolar, concernentes a porção ofertada, porção consumida, resto-ingestão e sobras, observou-se que houve diferença estatisticamente significativa (P < 0,05) para pelo menos um distrito sanitário para todos os índices avaliados (tabela 1). O cardápio proposto, o qual não tem distinção de faixa etária, apresentou diferenças no aporte nutricional ao se considerarem os valores de referência do PNAE para a faixa etária de 6 a 10 anos no item energia e em praticamente todos os nutrientes analisados (P < 0,05), exceto vitamina C (P = 0,308). Notaram-se medianas de energia, carboidrato, proteína, ferro, zinco e magnésio superiores aos valores estabelecidos pelo PNAE para a faixa etária supracitada (tabela 2). Já ao comparar o cardápio consumido com as quantidades determinadas pelo PNAE para a mesma faixa etária, não houve diferença significativa para proteína (P = 0,715), lipídio (P = 0,346) e ferro (P = 0,984). As medianas de energia e de quase todos os nutrientes apresentaram-se abaixo do estabelecido (tabela 2).

Para a faixa etária de 11 a 15 anos, as medianas de energia, carboidrato, proteína e ferro no cardápio proposto estiveram acima dos valores determinados pelo PNAE (P < 0,05). Em contraste, todas as medianas do cardápio consumido estiveram abaixo das recomendações (P < 0,05) (tabela 2). O cardápio consumido apresentou diferença estatisticamente significativa do proposto para a maioria dos nutrientes (P < 0,05), exceto vitamina C. Apenas o valor de lipídios foi superior ao do cardápio proposto (tabela 2).

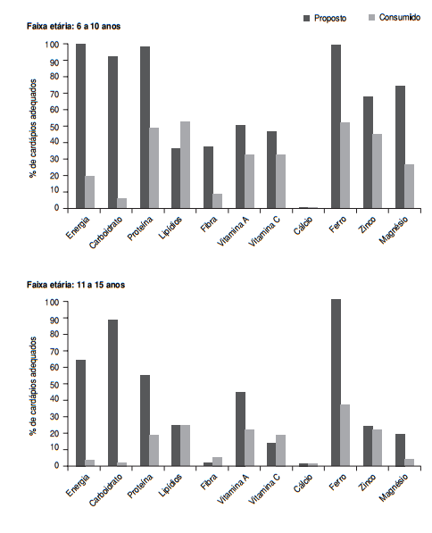
A figura 1 ilustra a inadequação dos cardápios propostos e dos consumidos nas unidades educacionais públicas integradas comparados ao PNAE. Para a faixa etária de 6 a 10 anos, verificou-se que 100% dos cardápios propostos eram adequados em energia e ferro, enquanto nenhum cardápio atingiu os valores recomendados para cálcio. Para a mesma faixa etária, 51,40% dos cardápios consumidos estavam adequados para o teor de lipídio, e não houve alcance dos valores recomendados para cálcio. Já para crianças entre 11 e 15 anos, houve maior porcentagem de cardápios propostos e consumidos adequados para ferro, respectivamente, 100% e 35,70%. A menor porcentagem de cardápios adequados, propostos e consumidos foi para o cálcio (0%) (figura 1).

Tabela 1. Caracterização dos índices avaliadores da produção e distribuição da alimentação escolar em Belo Horizonte, Minas Gerais, Brasil, 2011/2012a,b

Tabela 2. Energia e nutrientes dos cardápios propostos e consumidos em comparação aos valores de referência utilizados pelo Programa Nacional de Alimentação Escolar em unidades educacionais públicas integradas de Belo Horizonte, Minas Gerais, Brasil, 2011/2012a,b

A quantidade de alimento produzido relacionou-se diretamente ao número de colaboradores (r = 0,401; P < 0,0001), à porção consumida pelos colaboradores (r = 0,353; P < 0,0001) e à porcentagem de sobra limpa (r = 0,138; P = 0,046). A resto-ingestão per capita correlacionou-se com a porção consumida pelos colaboradores (r = 0,162; P = 0,018). Ademais, houve correlação significativa proporcional de resto-ingestão com sobra suja (r = 0,145; P = 0,035) e inversamente proporcional com consumo de fibras (r = –0,143; P = 0,038) (figura 2).

Figura 1. Porcentagem de cardápios adequados em relação aos valores de energia e nutrientes estipulados pelo Programa Nacional de Alimentação Escolar em unidades educacionais públicas integradas de Belo Horizonte, Minas Gerais, Brasil, 2011/2012:

4 Discussão:

O estudo demonstrou elevada porcentagem de alteração dos cardápios, algumas discordâncias entre os índices avaliadores da produção e distribuição da alimentação e inadequações nutricionais, tanto dos cardápios propostos pela prefeitura municipal quanto daqueles consumidos pelas crianças em unidades educacionais públicas integradas. A principal alegação para as alterações nos cardápios executados em relação aos propostos foi a falta de ingredientes. Essa alegação pode sugerir uma utilização aleatória dos ingredientes pelos manipuladores de alimentos, em desacordo com o programado, ou ainda uma falha no planejamento logístico em relação ao abastecimento dos gêneros alimentícios. Uma pesquisa conduzida por Vieira et al. com o objetivo de avaliar o programa de alimentação escolar da rede municipal de ensino de Ribeirão Preto, por meio de metodologia qualitativa, verificou motivos semelhantes para alterações dos cardápios. Colares e Freitas também apontaram um descompasso entre o planejamento técnico e a execução dos cardápios, devido, especialmente, à variabilidade na conduta dos manipuladores de alimentos.
Figura 2. Correlações de Spearman estatisticamente significativas (P < 0,05) entre os índices avaliadores da produção e alguns nutrientes em unidades educacionais públicas integradas de Belo Horizonte, Minas Gerais, Brasil, 2011/2012

Dentro dessa problemática, Leite et al. (18) mostraram a importância da capacitação dos manipuladores de alimentos no âmbito do PNAE, visando a minimizar as inadequações nas técnicas de preparo dos alimentos e o risco à saúde dos escolares.

Quanto aos índices avaliadores da produção e distribuição da alimentação escolar, as análises revelaram que a mediana da porção consumida (254 g) foi inferior a da porção ofertada (273 g) ao aluno. Entretanto, também é preciso considerar que o consumo de todo alimento ofertado não significa melhor aporte nutricional da dieta do escolar; deve-se observar, também, a qualidade da refeição principal. Além disso, seria preciso analisar a possibilidade de que as necessidades do escolar estariam sendo garantidas por meio das outras refeições realizadas ao longo do dia.

Adicionalmente, evidenciou-se que a porção consumida pelo colaborador foi 1,5 vez maior do que a dos alunos, influenciando a maior demanda de gêneros alimentícios, a quantidade de alimento produzido e a resto-ingestão. Deve-se ponderar que, com base na resolução 38/2009, apenas os alunos matriculados na atenção básica das redes públicas (federal, estadual, municipal e do Distrito Federal) têm direito a receber alimentação escolar pelo PNAE . No entanto, o município de Belo Horizonte complementa a verba do programa, permitindo que alguns colaboradores recebam a refeição principal conforme critérios estabelecidos em portaria municipal: trabalhar em período integral, comer somente após a refeição dos escolares e respectivas repetições, em quantidades compatíveis com o planejamento dos escolares e tendo acesso ao mesmo cardápio ofertado ao público alvo, sem diferenciações. Verifica-se que ainda há grandes dificuldades e resistência para aplicar esses critérios nas unidades .

Constatou-se que a porção consumida pelos colaboradores na quantidade de alimento produzido culmina na não utilização das quantidades per capita propostas para os alunos. Dessa forma, favorece um aumento proporcional na porcentagem de sobra limpa. Santos e Lanzillotti apontam a alteração no número de refeições como uma das razões para a superprodução de alimentos, que culmina em quantidades per capita inadequadas e no aumento do desperdício.

A mediana de resto-ingestão apresentou-se dentro dos valores previstos , sendo ainda inferior aos 11,7% obtidos por Moura et al. e aos 5,8% registrados por Augustini et al. . Destaca-se, no entanto, que, ao se avaliar as quantidades de sobra limpa e suja, foram detectados valores superiores aos sugeridos . Essa diferença pode estar associada a falhas na determinação do número de refeições e no dimensionamento das quantidades per capita e das porções, ou ainda à execução de cardápios não tão bem aceitos pelos alunos, e à alteração no número de refeições sem aviso prévio . Dessa forma, ações educativas são necessárias para reduzir as sobras. Também é importante a capacitação dos colaboradores e um maior acompanhamento do processo de distribuição das refeições por profissionais da nutrição. O estudo de Fujii et al. , de caráter descritivo, realizado em uma unidade de alimentação e nutrição em São Paulo, potencializa tal afirmativa, uma vez que a taxa de sobras caiu aproximadamente 3% após a realização de campanha contra o desperdício.

Quanto à avaliação nutricional dos cardápios propostos pela SMASAN e dos cardápios consumidos nas escolas, foram evidenciados valores abaixo do recomendado pelo PNAE para a maioria dos nutrientes analisados, sobretudo nas porções consumidas e para a faixa etária de 11 a 15 anos.

A inadequação dos cardápios propostos pode ser justificada pelo planejamento incorreto, tanto do ponto de vista dos ingredientes escolhidos quanto pelo dimensionamento das quantidades per capita. No município de Piracicaba, São Paulo, Danelon et al. também verificaram que os cardápios formulados para escolares apresentaram limitado alcance para o atendimento nutricional da maioria dos nutrientes analisados. Para minimizar esses déficits, Silva e Gregório sugerem a diferenciação das quantidades per capita entre as faixas etárias, visando a atender as recomendações do PNAE.

Já a inadequação nutricional observada nos cardápios consumidos pode ser resultado das já citadas alterações nos cardápios pelos manipuladores de alimentos, como também da não utilização fidedigna das quantidades per capita ou da baixa ingestão alimentar pelos escolares como consequência de hábitos alimentares não saudáveis. Abranches et al. apontam a necessidade da execução de preparações nutritivas, saborosas e atraentes para a faixa etária escolar a fim de melhorar a aceitação das refeições e contribuir para a formação de hábitos alimentares saudáveis. Longo-Silva et al. revelaram que falhas no processo produtivo da alimentação infantil, por exemplo, no preparo, porcionamento ou nas práticas de oferecimento dos alimentos, influenciam diretamente o consumo alimentar das crianças. Dessa forma, demandam-se ações de educação e supervisão em saúde para que os escolares alcancem suas necessidades nutricionais.

No tocante ao conteúdo energético, o cardápio proposto apresentou-se adequado para ambas as faixas etárias, diferentemente do cardápio consumido, cujos valores foram inferiores à recomendação . Conceição et al. também constataram consumo insuficiente de energia por 66,30% dos escolares avaliados (n = 1 224).

Em relação aos macronutrientes e às fibras, foram observadas diferenças importantes entre os cardápios propostos e os consumidos. A oferta de carboidratos foi adequada no cardápio proposto e insuficiente no cardápio consumido para as duas faixas etárias. Resultados similares foram constatados por Silva e Gregório para alunos de 11 a 15 anos. Já quanto à proteína, verificou-se mediana adequada no cardápio proposto e déficit no cardápio consumido. Abranches et al. encontraram resultados divergentes desses, pois as refeições ultrapassaram, em média, 48% do valor recomendado pelo PNAE. Os baixos valores de lipídios e fibras encontrados em cada cardápio para todas as idades se assemelham aos relatados por Conceição et al. e Silva e Gregório , respectivamente.

Foi observada correlação negativa entre resto-ingestão per capita e fibra consumida, podendo sugerir uma rejeição das crianças às verduras oferecidas no almoço. Pegolo e Silva observaram que o baixo consumo de verduras, legumes e frutas pelos escolares de um município paulista indicam uma constante rejeição a alimentos fontes de fibras e a necessidade de destacar a importância do consumo desses alimentos.

Ao analisar as vitaminas, observamos baixa adequação das vitaminas A e C em ambos os cardápios (proposto e consumido). Silva et al. também identificaram déficit na oferta de vitamina A. Ressalta-se a importância desse nutriente, uma vez que contribui para o desenvolvimento tecidual e, juntamente com o ferro, favorece a eritropoiese . Sua deficiência é uma das principais carências que atingem a população brasileira . Já o baixo teor de vitamina C foi divergente de outros estudos . A falta desse nutriente pode comprometer a absorção orgânica do ferro e prejudicar o processo de cicatrização, formação dos dentes e ossos e a integridade dos capilares .

Em relação à adequação dos minerais, observamos traços de cálcio em ambos os cardápios e faixas etárias, achado coerente com os de Abranches et al. . Contudo, é importante ressaltar que o almoço não é a principal fonte desse mineral . Em relação ao ferro, foram observados valores adequados nos cardápios propostos e baixos valores nos cardápios consumidos, em oposição aos estudos de Abranches et al. e Silva e Gregório . Quanto ao zinco, verificou-se, no cardápio proposto, inadequação apenas para a faixa etária de 11 a 15 anos, enquanto para o cardápio consumido essa inadequação foi vista em todas as idades. Fato semelhante foi constatado por Danelon et al. , em cujo estudo o nutriente atingiu somente 70% dos valores preconizados. Um estudo realizado por Pegolo e Silva revelou que 75% dos escolares apresentaram consumo insuficiente de magnésio, corroborando nossos achados, já que apenas o cardápio proposto atingiu o recomendado para escolares de 6 a 10 anos.

Verificaram-se deficiências importantes quanto à ingestão de energia, macro e micronutrientes entre os escolares, especialmente na faixa etária de 11 a 15 anos. Sabe-se da importância da ingestão adequada de energia e de macro e micronutrientes por sua participação em diversos mecanismos biológicos crescimento, desenvolvimento cognitivo e estado imunológico dos escolares .

O presente estudo delineou um diagnóstico da principal refeição ofertada ao escolar no município de Belo Horizonte. Os resultados indicam a necessidade de adaptações no processo produtivo para melhorar a qualidade dessa refeição. Vale frisar, como limitação do estudo, o caráter transversal, que não permite estabelecer relações de causalidade ou análise de acompanhamento. No entanto, os resultados obtidos podem estimular a realização de estudos de intervenção. Além disso, as faixas etárias não foram estudadas de forma separada, o que pode gerar notificação imprecisa (super ou subestimativa) do consumo. Entretanto, seguimos o planejamento adotado pela prefeitura, que calcula os alimentos per capita, independentemente da idade.

Os resultados evidenciam o não cumprimento dos cardápios formulados para a alimentação escolar e inadequações às recomendações nutricionais do PNAE. Revelou-se a necessidade de ajustes aos cardápios para atender metas estabelecidas pelas políticas públicas, considerando as especificidades do público alvo, a fim de garantir o adequado aporte nutricional nas diferentes faixas etárias. Adicionalmente, o desajuste de alguns índices avaliadores da produção e distribuição das refeições aponta a necessidade de medidas corretivas, a fim de reduzir gastos desnecessários.

Assim, reforça-se a importância do acompanhamento, por profissional qualificado, na elaboração do cardápio e no preparo e distribuição dos alimentos, visando a garantir a adequação da alimentação oferecida em termos qualitativos e quantitativos. Torna-se necessário o planejamento correto do número de refeições e do pré-preparo, avaliação do rendimento dos ingredientes e treinamento e conscientização da equipe, no sentido de melhorar a oferta e o consumo alimentar das crianças e de reduzir o desperdício no ambiente escolar.