Fibras Óticas

Inicialização à Fibra Ótica

1 Fibras ópticas:

O grande interesse na comunicação por fibras ópticas surgiu em 1960 com o aparecimento do laser, que permitiu uma fonte óptica coerente. Como as frequências ópticas se encontram na ordem dos 5×1014 Hz, o laser dispõe de uma capacidade de informação teórica que excede a dos sistemas de micro-ondas por um factor de 105 , ou seja, aproximadamente 10 milhões de canais de televisão. Contudo, o ar não se mostrou um bom meio de transmissão para a tecnologia óptica, como para as micro-ondas, devido às limitações que esse canal – o ar – impõe por causa da chuva, da neve ou das poeiras que inviabilizam um sistema óptico que seja rápido e barato. Já as fibras ópticas fornecem um canal muito mais fiável e versátil.

Há um pequeno senão: é que para que tal suceda é necessário que o vidro empregue seja extremamente puro, isto é, não pode conter um elevado número de impurezas, pois tal introduz uma atenuação elevada no sinal. De fato, com a purificação do material empregue, reduziram-se de tal forma as perdas numa fibra óptica até ao ponto em que se tornaram possíveis os sistemas de comunicação ópticos. O desenvolvimento e aplicação dos sistemas de fibra óptica cresceu da combinação da tecnologia de semicondutores, que fornecem as fontes de luz e os fotodetectores necessários, e a tecnologia de guias-de-onda ópticas. O resultado foi o estabelecimento de um circuito com várias vantagens sobre os sistemas de cobre, tais como:

  • Baixa perda na transmissão e grande largura de banda: as fibras ópticas têm perdas de transmissão menores e larguras de banda maiores que os fios de cobre, o que significa que os sistemas de cabo de fibras ópticas podem percorrer grandes distâncias, diminuindo o número de fios e o número de repetidores necessários para estes domínios; esta redução de equipamento e de componentes diminui o custo do sistema e a sua complexidade;
  • Tamanho e peso reduzidos: o baixo peso e as reduzidas dimensões (espessura de um cabelo) das fibras oferecem uma clara vantagem face aos pesados, e “espaçosos” cabos de fios nas condutas de grandes cidades densamente populosas ou em sistemas montados nos telhados; esta questão também é importante nos aviões, nos satélites e nos navios, onde cabos pequenos e leves são claramente vantajosos, e em aplicações militares, em que são necessárias grandes quantidades de cabos;
  • Imunidade à interferência: um aspecto particularmente importante das fibras ópticas diz respeito à sua natureza dieléctrica; esta característica permite guiasde-onda ópticas imunes às interferências electromagnéticas (EMI), tais como os picos de fios transportadores de sinal e os relâmpagos; também assegura liberdade quanto aos efeitos dos impulsos electromagnéticos (EMP), com particular interesse nas aplicações militares;
  • Isolamento eléctrico: como as fibras ópticas são construídas em vidro, que é um isolante eléctrico, não é necessário preocupar-se com anéis de terra, crosstalk de fibra para fibra e os problemas das interfaces dos equipamentos são simplificadas; também as torna particularmente atractivas em meios de risco, pois as fibras não originam arcos nem faíscas;
  • Segurança do sinal: ao usar uma fibra óptica, o grau de segurança de dados é grande, pois o sinal óptico está bem confinado dentro da guia-de-onda (com as eventuais emanações a serem absorvidas por um revestimento opaco da fibra), o que torna as fibras atractivas em aplicações em que a segurança da informação seja importante, como em redes bancárias, de computadores ou de sistemas militares, por exemplo;
  •  Abundância de matéria-prima: a principal matéria-prima é o vidro que é feito a partir da areia, que é abundante e barato; o principal factor de encarecimento da fibra é o processo de purificação necessário para obter vidro muito puro a partir da areia.

As primeiras aplicações dos sistemas de transmissão de fibra óptica foram para as troncas de linhas telefónicas; actualmente usam-se RDIS (voz. fax, comunicação de dados, serviços de difusão de serviços áudio e vídeo). As taxas de transmissão vão desde os 1,7 Gbps (nas troncas telefónicas) até aos 10 Gbps (para RDIS de banda larga). A detecção coerente oferece melhorias significativas na sensibilidade dos receptores e na selectividade do comprimento de onda sobre a detecção directa e permite o uso de equalização electrónica para compensação dos efeitos de dispersão dos impulsos ópticos na fibra. As aplicações incluem LANs, anéis de assinantes e distribuição de televisão.

Noção de circuito óptico:

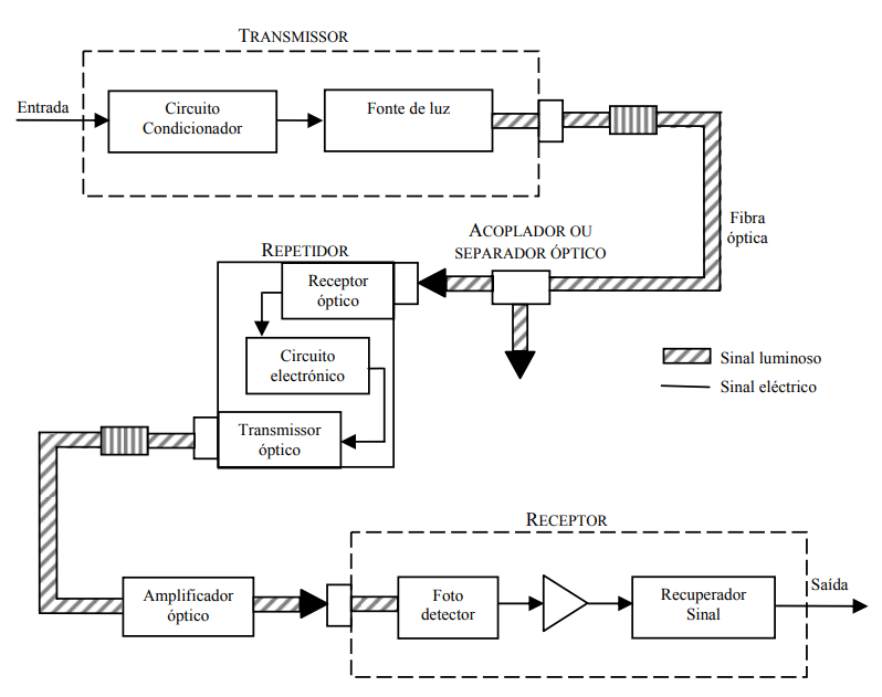
Um circuito óptico tem, basicamente, os seguintes elementos:

Os elementos chave do circuito são o transmissor, que consiste numa fonte de luz e os circuitos apropriados para converter o sinal eléctrico num sinal luminoso apropriado, um cabo que ofereça protecção mecânica e ambiental às fibras ópticas contidas no seu interior e um receptor que consista num fotodetector, amplificador e um recuperador (restaurador) do sinal eléctrico. Podem existir vários componentes adicionais, tais como ligadores (acopladores), divisores de sinal, agrupadores de sinal e repetidores. O cabo de fibra óptica é um dos elementos mais importantes num circuito óptico, pois, para além de proteger as fibras de vidro durante a instalação e ao longo da utilização, podem conter fios de cobre para alimentar os repetidores que são necessários para amplificar e restaurar o sinal periodicamente, quando os circuitos cobrem grandes distâncias. O cabo contém, normalmente, várias fibras cilíndricas, da espessura de um cabelo, cada uma sendo um canal de comunicação independente.

Tal como os cabos de cobre, a instalação dos cabos de fibra óptica pode ser aérea, em condutas, submersa ou enterrada no solo. Como resultado das limitações de fabrico e/ou instalação, os comprimentos de cabos individuais podem ir de algumas centenas de metros até centenas de quilómetros; as questões práticas, como o peso do cabo ou a largura da conduta, por exemplo, determinam o comprimento que terá uma única secção de cabo: as distâncias mais curtas tendem a ser usadas em condutas, enquanto que as distâncias maiores são para uso em aplicações aéreas ou enterradas no solo. A linha de transmissão de longa distância completa é formada pela divisão ou conexão destas secções individuais de cabo.

Uma das características principais das fibras ópticas é o fato da sua atenuação ser em função do comprimento de onda utilizado, ou, por outras palavras, a mesma fibra apresentar diferentes atenuações para comprimentos de onda diferentes, como se pode ver a seguir:

Inicialmente, a tecnologia fazia uso exclusivo da banda correspondente com comprimentos de onda dos 800 aos 900 nm, pois as fibras feitas na altura apresentavam uma curva com atenuação mínima nesta região; esta região é muitas vezes referida por 1ª janela. Ao aperfeiçoar o fabrico das fibras, tornou-se possível a existência de fibras com atenuações muito baixas na faixa dos 1100 aos 1600 nm, sendo esta largura de banda espectral normalmente designada de região de comprimentos de onda grandes. Nesta região definem-se duas janelas, estando a 2ª janela centrada à volta dos 1330 nm e a 3ª janela à volta dos 1550 nm. Os investigadores continuam a estudar novos tipos de materiais para as fibras, com baixas atenuações na banda dos 3 a 5 µm

Após se instalar o cabo, lança-se um sinal com uma determinada potência óptica a partir de uma fonte de luz que seja compatível, em termos de dimensões, com o núcleo da fibra. Os LEDs e os lasers são fontes de luz adequadas, pois a sua saída luminosa pode ser modulada rapidamente alterando a sua corrente. Após se introduzir a luz na fibra, o sinal óptico vai se atenuando e distorcendo com o aumento da distância devidos aos efeitos de difusão, absorção e dispersão. No extremo de recepção o sinal óptico atenuado e distorcido que sai da fibra vai ser detectado por um fotodetector. A concepção do receptor é mais complexa, pois tem de amplificar e refazer o sinal degradado pelo receptor.

Por vezes, o sinal óptico percorre uma determinada distância e torna-se necessário à linha amplificar e refazer o sinal. Um repetidor óptico consiste num receptor e num transmissor colocado em ambos os extremos. A secção do receptor detecta o sinal óptico e converte-o num sinal eléctrico, que é amplificado, refeito e enviado para a entrada eléctrica da secção de transmissão; esta irá converter este sinal eléctrico num sinal óptico e envia-o pela guia-de-onda da fibra óptica.

2 Tipos de fibras ópticas:

Uma fibra óptica trata-se de uma guia-de-onda de luz em “vidro”, que irá propagar a luz numa direcção paralela ao seu eixo, constituída por duas camadas sobrepostas: o núcleo (a camada interna) e a bainha (a camada externa), como se pode ver na figura seguinte:

A função do núcleo é transportar a informação em forma de luz. A bainha tem como função reduzir a dispersão, melhorar a força (resistência) mecânica, impedir o núcleo de absorver contaminadores que poderiam entrar em contacto com o núcleo; por estas razoes, a bainha torna-se útil, mas não é indispensável. Os materiais constituintes da fibra óptica apresentam índices de refracção diferentes, isto é, o índice de refracção do núcleo, n1, é diferente do índice de refracção da bainha, n2. Normalmente, tem-se n2 < n1, em que

Os materiais constituintes do núcleo e da bainha são materiais dieléctricos, de modo a se aproveitar a baixa atenuação no seu seio. A propagação da luz dentro de uma guia-de-onda pode ser descrita em termos de um conjunto de ondas electromagnéticas chamadas modos. Cada modo consiste num padrão de linhas dos campos eléctrico e magnético que se repete ao longo da fibra em intervalos iguais ao comprimento de onda. A propagação ao longo da fibra só é possível a um determinado número discreto de modos; estes modos são as ondas electromagnéticas que satisfazem a equação de onda na fibra e as condições de fronteira nas superfícies das guias-de-onda.

Normalmente, a substância utiliza-se para fabricar a fibra óptica é o dióxido de silício; a variação do índice de refracção é feita através da adição de substâncias dopantes. A seguir apresentam-se a variação do índice de refracção como função das substâncias dopantes:

Como se pode verificar a adição de GeO2 ou de P2O5 aumenta o índice de refracção, enquanto que o aumento de B2O3 ou de F o diminui. Como o núcleo tem de ter um índice de refracção menor, exemplos das composições da fibra seriam:

A notação utilizada indica que, no caso de GeO2-SiO2, se trata de um vidro (dióxido de silício) dopado com GeO2. As variações na composição do material de núcleo dão origem aos dois tipos de fibras mais comuns, mostrados na figura seguinte:

No primeiro caso o índice de refracção do núcleo é uniforme e ocorre uma mudança brusca na fronteira com a bainha; este tipo de fibra designa-se step-index (índice em degrau); no último caso, o índice de refracção do núcleo é feito de forma a variar com a distância radial ao eixo da fibra: são as chamadas fibras de graded-index, ou (índice gradual). Ambos os tipos de fibras podem divididas nas classes de mono-modo (só permitem a propagação de um modo) ou de multi-modo (permitem a propagação de vários modos). As fibras multi-modo apresentam várias vantagens quando comparadas com as monomodo, nomeadamente é mais fácil incidir a potência óptica na fibra devido ao seu maior raio e como tal podem ser usados LEDs, em vez de lasers, como fontes ópticas (o que é vantajoso devido às características dos LEDs face aos lasers).

A principal desvantagem é a ocorrência de dispersão inter-modal: quando se incide um impulso óptico na fibra, a potência óptica distribui-se por todos os modos; cada modo viaja pela fibra com velocidades ligeiramente diferentes, o que significa que os modos que viajam na fibra chegam em instantes ligeiramente diferentes ao extremo de recepção da fibra, o que faz com que os impulsos se espalhem no tempo à medida que viajam pela fibra. Este efeito, a dispersão inter-modal, pode ser atenuado usando um perfil de índice gradual no núcleo, o que permite às fibras de índice gradual terem uma maior largura de banda (com maior capacidade de transmissão) do que as fibras de índice em degrau.

Propagação nas fibras ópticas:

A propagação é feita no interior do núcleo, através de múltiplas reflexões na fronteira de separação entre o núcleo e a bainha. Na figura seguinte pode constatar-se o mecanismo de propagação, visto longitudinalmente.

Os raios irão propagar-se ao longo da fibra e irão “esbarrar” na fronteira entre os dieléctricos, o núcleo e a bainha, seguindo uma direcção paralela ao eixo da fibra. Contudo, o percurso que esses raios vão realmente percorrer, dependem da incidência inicial. Assim, existem vários tipos de raios:

  • Os raios meridionais, que são os raios contidos no plano que contém o eixo da fibra;
  • Os raios torcidos, que são todos os outros.

Uma ilustração destes tipos de raios encontra-se a seguir (onde só se encontra representado o núcleo):

Os princípios de propagação são, numa perspectiva geométrica, os mecanismos descritos pela lei de Snell1 e encontram-se apresentados a seguir:

Daqui se pode concluir que há reflexão total se θ1 > θ2, enquanto que há reflexão parcial θ2 > θ1. O ângulo de incidência máximo que permita a penetração/radiação na/da fibra de raios luminosos, sem perdas por refracção, chama-se ângulo de aceitação, θa, como se pode constatar na figura seguinte:

3 Modos de transmissão:

Cada modo de transmissão é um padrão de linhas do campo electromagnético que se repete ao longo da fibra em intervalos iguais ao comprimento de onda. Assim, os tipos de modos de propagação do ponto de vista da teoria da propagação são:

Os modos presentes numa fibra multi-modo com degrau de índice apresentam o seguinte aspecto:

A seguir pode ser observado o padrão do campo eléctrico, numa vista perpendicular à secção da fibra ao longo do seu eixo, para modos de ordem baixa. A ordem de um modo é igual ao número de zeros do campo ao longo da guia e está igualmente relacionada com o ângulo que o raio correspondente a este modo faz com o plano da guia-de-onda. Como se pode observar o campo eléctrico dos modos guiados não estão completamente restringidos à parte correspondente ao dieléctrico central (o núcleo), isto é, não vai a zero na interface núcleo-bainha, mas prolongam-se parcialmente na bainha, e quanto maior for a ordem dos modos, maior é a penetração do campo na bainha, ao passo que para ordens mais baixas se tem uma concentração dos raios no regia à volta do eixo da fibra.

Degradação do sinal em fibras ópticas:

A atenuação do sinal (também conhecida como perda da fibra ou perda do sinal) é uma das propriedades mais importantes de uma fibra óptica, pois determina, em grande parte, a separação máxima sem repetidores entre um transmissor e um receptor. Como os repetidores são caros de fabricar, instalar e manter o grau de atenuação numa fibra tem uma grande influência no custo do sistema. A distorção do sinal também é bastante importante, pois os mecanismos de dispersão fazem com que os impulsos se alarguem à medida que viajam pela fibra; se os impulsos viajarem suficientemente longe, podem sobrepor-se a impulsos vizinhos, criando, consequentemente, erros na saída do receptor, pelo que limitam a capacidade de transporte de informação. Os mecanismos básicos de atenuação são a absorção, a difusão e as perdas de radiação da energia óptica. A absorção está relacionada com o material da fibra, enquanto que a dispersão está associada com o material da fibra e com as imperfeições estruturais no núcleo da fibra óptica. A atenuação devido aos efeitos de radiação tem origem nas perturbações (microscópicas e macroscópicas) da geometria da fibra.

Atenuação:

A atenuação do sinal define-se como a razão entre a potência óptica de saída, Po, de uma fibra de comprimento L, e a potência de entrada, Pi. O ideal, obviamente, seria Po = Pi. Esta razão é função do comprimento de onda, λ, como se pode ver na figura seguinte:

Absorção:

Os três principais mecanismos de absorção são:

  • Absorção devido aos defeitos atómicos na composição do vidro, que podem ser a falta de moléculas, alta densidade assimétrica de grupos de átomos ou defeitos de oxigénio na estrutura do vidro; este tipo de perdas é normalmente desprezável, quando comparadas com as outras, tornando-se significativa quando se expõe a fibra a altos níveis de radiação;
  • Absorção extrínseca do material, que se deve à presença de impurezas no vidro que resultam de metais de transição como o ferro, o crómio, o cobalto e o cobre e dos iões da água; corresponde ao principal tipo de perdas por absorção;
  • Absorção intrínseca do material que é determinada pela maior ou menor transparência do material constituinte: idealmente deveria ter-se dióxido de silício (SiO2) em estado puro; resulta das bandas de absorção electrónica na região ultravioleta e das bandas de vibração atómicas na região dos infravermelhos; a absorção ocorre quando um fotão interage com um electrão na banda de valência e excita-o para um nível de energia mais elevado; este tipo de perdas estabelece o mínimo de perdas por absorção de um determinado material.

Dispersão:

As perdas por dispersão surgem devido às variações microscópicas na densidade do material, como flutuações de composição, não-homogeneidades estruturais ou defeitos durante o processo de fabrico.

Perdas devido à curvatura da fibra:

As perdas de radiação ocorrem sempre que uma fibra óptica sofre uma curvatura com um raio de curvatura finito, isto é, sempre que não está em linha recta, ou se dobra a fibra. Assim, as fibras podem ficar sujeitas a dois tipos de dobras: as dobras macroscópicas, que têm um raio grande, comparado com o diâmetro da fibra (por exemplo, quando um cabo contorna um canto), e as dobras microscópicas, que podem ocorrer quando se incluem as fibras num cabo. Comece-se pelas dobras macroscópicas, ou simplesmente, dobras. Se esta for ligeira, a perda é extremamente pequena, sendo mesmo desprezável; só a partir de um determinado raio de curvatura (quando este diminui), então as perdas aumentam exponencialmente até um raio crítico, em que a perda se torna observável. Se, a partir deste ponto, se diminuir um pouco o raio de curvatura, as perdas tornam-se extremamente grandes. Para se perceber o que se passa, atente-se à seguinte figura:

Daqui pode-se ver que qualquer modo na fronteira do núcleo possui uma cauda de um campo evanescente na bainha, que decresce exponencialmente em, função da distância ao núcleo; como esta cauda do campo se move juntamente com o campo no núcleo, então parte da energia do modo em propagação viaja pela bainha da fibra. Quando se dobra a fibra, a cauda do campo na parte mais distante do centro da curvatura tem de se mover mais depressa de modo a acompanhar o campo no núcleo; a uma determinada distância crítica, xc, do centro da fibra, a cauda do campo teria de se mover mais depressa que a velocidade da luz, para acompanhar o campo no núcleo; como isto não é possível, a energia na cauda do campo para lá de xc vai radiar energia.

A quantidade de radiação óptica de uma fibra dobrada irá depender do valor do campo em xc e do raio da curvatura, R. Um outro tipo de perdas de radiação em guias-de-onda ópticas resulta do emparelhamento de modos causado pelas micro-dobras aleatórias na fibra. As microdobras são flutuações repetitivas de escala pequena no raio de curvatura do eixo da fibra, como ilustrado na figura seguinte:

As micro-dobras são causadas por não-uniformidades no processo de fabrico da fibra ou por pressões laterais não-uniformes criadas durante a criação do cabo de fibras, isto é, quando se inserem as várias fibras dentro do cabo óptico, sendo este efeito denominado de perdas de empacotamento. O aumento da atenuação resulta das micro-dobras porque a curvatura da fibra origina emparelhamento repetitivo de energia entre os modos guiados e modos de fugas, ou não-guiados, na fibra. Um modo de minimizar estas perdas consiste em colocar uma cobertura na fibra à pressão; quando forem aplicadas forças exteriores a esta configuração, a cobertura irá deformar-se, mas a fibra irá manter-se praticamente em linha recta.

Perdas núcleo-bainha:

Quando se medirem as perdas por atenuação numa fibra, todas as perdas, quer por dissipação, quer por dispersão, irão ocorrer em simultâneo. Como o núcleo e a bainha têm índices de refracção diferentes e, consequentemente, composições diferentes, o núcleo e a bainha têm normalmente coeficientes de atenuação diferentes, denominados α1 e α2, respectivamente. Se a influência do emparelhamento modal for ignorada, a perda para um modo de ordem (v, m) numa guia-de-onda com índice em degrau é

em que p(r) é a densidade de potência do modo à distância r (a seguir encontra-se ilustrado um exemplo). Normalmente, verifica-se que a perda aumenta com o aumento do número do modo.

Distorção do sinal:

À medida que viaja na fibra, o sinal óptico torna-se cada vez mais distorcido, como consequência da dispersão intra-modal e os efeitos de atraso inter-modal. Estes efeitos podem ser explicados examinando o comportamento das velocidades de grupo dos modos guiados, em que a velocidade de grupo é a velocidade à qual a energia de um determinado modo viaja através da fibra. Como consequência, haverá um alargamento dos impulsos ópticos, causando interferência inter-simbólica (ISI). A dispersão intra-modal ocorre em fibras mono-modo e consiste no alargamento dos impulsos ópticos que ocorrem no modo de propagação, sendo o resultado do facto da velocidade de grupo ser função do comprimento de onda. Como a dispersão intra-modal depende do comprimento de onda, o seu efeito na distorção do sinal aumenta com a largura espectral da fonte óptica (esta largura espectral consiste na banda de comprimentos de onda na qual a fonte de luz emite luz). As duas principais causas da distorção intra-modal são:

  1. Dispersão do material que se deve ao facto das variações do índice de refracção do núcleo com o comprimento de onda n1 = n1 (λ), também designada por dispersão cromática (uma vez que λVERDE ≠ λAZUL ≠ λVERMELHO, por exemplo), ou seja, a velocidade de propagação depende de λ: vp = vp(λ); é Muito severo em lasers pouco precisos que “saltitem” o comprimento de onda num intervalo definido não nulo; 
  2. Dispersão na guia-de-onda: uma fibra óptica mono-modo retém, tipicamente, 80% da luz no núcleo; contudo os restantes 20% na bainha são susceptíveis de se propagarem mais rápido, uma vez que n2 < n1, logo v2 > v1, havendo componentes que são recebidas mais rapidamente do que outras, o que implica um alargamento dos impulsos ópticos.

O outro factor que origina um espalhamento dos impulsos ópticos é o atraso de intermodal, presente em fibras multi-modo, que resulta do facto de cada modo ter um valor de velocidade de grupo diferente a uma única frequência. Este efeito pode ser muito severo se os lasers funcionarem num comprimento de onda que não é fixo, mas sim numa gama de comprimentos de onda, quando há vários modos em diferentes comprimentos de onda. Destes três tipos de distorção, a dispersão de guia-de-onda pode ser, normalmente, ignorada em fibras multi-modo, mas pode ser extremamente significativo em fibras mono-modo.

O efeito total destes três mecanismos, na prática, é raramente observado pois tendem a ser misturados com outros factores, como a existência de perfis do índice de refracção não ideais, as condições de injecção de potência óptica, atenuação dos modos não uniforme e mistura dos modos na fibra e nos divisores, bem como pelas variações estatísticas destes efeitos ao longo da fibra. Como as empresas de telecomunicações utilizam fibras mono-modo como o principal meio de transmissão óptica, e por causa da importância das fibras mono-modo nas aplicações localizadas de microondas velozes, vai ser dada alguma atenção a soluções que permitam evitar a dispersão intra-modal nas fibras ópticas (dado que esse é o principal fator limitador da distância e da velocidade de operação das fibras ópticas); para tal, fabricam-se fibras ópticas com vários perfis do índice de refracção do núcleo.

A dispersão básica do material é difícil de alterar significativamente, mas é possível alterar a dispersão na guia-de-onda passando-se de um simples perfil de índice em degrau para perfis de índice mais complexos. As fibras mais populares nos sistemas de telecomunicações são as fibras de índice quase em degrau, que são optimizadas para operar nos 1330 nm; estas fibras optimizadas aos 1330 nm, podem ser de bainha adaptada – matched cladding – ou depressed cladding, cujo perfil se representa a seguir:

No caso da alínea a), existe um índice de refracção uniforme ao longo da bainha, ao passo que no caso da alínea b), a região mais da bainha próxima do núcleo tem um índice de refracção mais baixo que a região exterior. Enquanto que a dispersão do material depende unicamente da composição, já a dispersão da guia-de-onda é uma função da distância do raio do núcleo, da diferença entre os índices de refracção e da forma do perfil do índice de refracção. Assim sendo, a dispersão guia-de-onda pode variar drasticamente com os parâmetros de concepção da fibra. Mudando esta dispersão para comprimentos de onda superiores e assumindo um valor constante para a dispersão do material, a adição destes dois tipos de dispersão pode ser nula aos 1550 nm.

As guias-de-onda resultantes são denominadas de fibras com dispersão deslocada (shifted-dispersion fibers). Dois exemplos desses tipos de fibras são demonstrados a seguir:

A curva de dispersão total resultante é a seguinte:

Uma alternativa consiste em reduzir a dispersão espalhando o mínimo de dispersão por uma maior gama. Esta abordagem é conhecida como dispersion flatenning. Este tipo de fibras é mais complexo de conceber do que as fibras com dispersão mudada, pois a dispersão tem de ser considerada ao longo de uma grande gama de comprimentos de onda. Contudo, elas oferecem características desejáveis numa gama de comprimentos de onda muito superior, pelo que podem ser utilizadas para multiplexagem por divisão de comprimentos de onda. A seguir representam-se alguns perfis do índice de refracção característicos:

4 Lasers, LEDs e fotodetectores:

Fontes luminosas de sinal:

As principais fontes de luz usadas nas comunicações por fibra óptica são díodos semicondutores laser com estrutura de hetero-junção (heterojunction), também referidos como Díodos Laser de Injecção (Injection Laser Diodes), ILDs, (ou, aqui, simplesmente lasers) e os díodos de emissão luminosa (Light-Emitting Diodes), LEDs. Uma heterojunção consiste em dois materiais semicondutores adjacentes com diferentes energias de banda de passagem (band-gap). Estes dispositivos são bons para sistemas de transmissão por fibras pois apresentam uma potência de saída adequada para uma grande gama de aplicações, sendo a sua potência óptica de saída directamente modulada variando a corrente de entrada do dispositivo, têm uma grande eficiência a as suas dimensões são compatíveis com as das fibras ópticas.

Para sistemas de comunicação óptica que requeiram taxas de informação aproximadamente inferiores a 100 a 200 Mbits/s, juntamente com potências ópticas na ordem das dezenas de micro-watt, os LEDs são normalmente a melhor escolha para fonte de luz. Como não necessitam de circuitos de estabilização óptica nem térmica, requerem circuitos menos complicados e podem ser fabricados mais baratos.

Para ser útil em aplicações de transmissão por fibra, um LED deve ter uma radiância de saída elevada, um tempo de resposta de emissão curto e uma grande eficiência quântica. A sua radiância, ou brilho, é uma medida em watt da potência óptica radiada num sólido num ângulo por unidade de área da superfície emissora. As altas radiâncias são necessárias para introduzir níveis de energia óptica suficientemente elevados numa fibra. O tempo de resposta de emissão é o atraso entre a aplicação de um impulso de corrente e a correspondente emissão óptica; este factor limita a largura de banda com que a fonte pode ser directamente modulada variando a corrente injectada.

A eficiência quântica está relacionada com a fracção de pares electrão-buraco que se recombinam. Existem lasers que variam, em dimensões, desde o tamanho de um grão de sal até ocupar uma sala inteira. O meio de um laser pode um gás, um liquido, um cristal isolador ou um semicondutor. Nos sistemas de transmissão óptica, os lasers usados são quase sempre semicondutores, apresentado, como quase todos, uma coerência espacial e temporal na radiação emitida, isto é, a radiação de saída é altamente monocromática e o raio de luz é bastante direccional.

Comparando os dois tipos de fontes ópticas, pode dizer-se que as vantagens do laser quanto ao LED são:

  • Um tempo de resposta mais curto, pelo que são possíveis maiores taxas de informação;
  • Uma largura espectral de saída mais estreita, o que implica uma menor distorção do sinal por dispersão;
  • Um nível de potência óptica muito superior, o que permite comunicações a maiores distâncias.

Como desvantagens, tem-se:

  • A sua construção é mais complicada, principalmente por causa da necessidade de restringir a sua corrente numa cavidade muito pequena;
  • O nível de saída óptica depende bastante da temperatura, o que aumenta a complexidade do circuito de transmissão; se se pretender usar um laser numa situação em que haja uma grande variação da temperatura, deverá ser usado um mecanismo de arrefecimento para manter o laser a uma temperatura constante ou, então, um circuito com um sensor de um limiar que ajuste a corrente do laser com as variações de temperatura;
  • Uma maior susceptibilidade à degradação das facetas do material, o que reduz o tempo de vida do dispositivo.

Fotodetectores:

Os semicondutores pin e os fotodíodos de avalanche são os principais dispositivos para detectar os fotões nos circuitos de fibra óptica devido à compatibilidade de tamanho com as fibras, as suas altas sensibilidades nos comprimentos de onda pretendidos e os seus tempos de resposta curtos.

Quando a luz possuindo energia de fotões maiores ou iguais à energia da banda de passagem do material semicondutor incide num fotodetector, os fotões podem “desistir” da sua energia e excitar os electrões da banda de valência para a banda de condução. Este processo gera pares electrão-buraco que são conhecidos como foto-portadores. Quando se aplica uma tensão inversa no fotodetector, o campo eléctrico resultante faz com os portadores se separem, o que dá origem a um fluxo de corrente num circuito externo, denominada de foto-corrente. A sensibilidade de um fotodetector, e o receptor que lhe está associado, é determinada essencialmente pelos ruídos do fotodetector resultantes da natureza estatística do processo de conversão fotão-electrão e os ruídos térmicos no circuito de amplificação. As principais correntes de ruído de um fotodetector, são:

  • Corrente de ruído quântico que surge da natureza estatística da produção e colecção de foto-electrões;
  • Corrente escura que surge dos electrões e/ou buracos que são gerados termicamente na junção pn do fotodíodo;
  • Corrente negra de superfície (ou corrente de fuga) que depende dos defeitos da superfície, da limpeza, da tensão inversa e da área de superfície.

De forma a reproduzir fielmente o sinal de entrada, o fotodíodo deve ser capaz de seguir de uma forma precisa as variações do seu sinal, o que depende do seu coeficiente de absorção no comprimento de onda pretendido, a largura da camada de depleção do fotodíodo e das várias capacitâncias e resistências do fotodíodo e do restante circuito de recepção.