Circuitos Magnéticos

Básico em eletricista de manutenção

1 Intensidade de Campo Indutor (H)

Considere-se que no circuito magnético da figura 4.1 seja possível inserir um gaussímetro para medir a indução no núcleo. Aumentando-se a tensão aplicada na bobina, que produz um aumento de corrente, o gaussímetro mostra um crescimento na indução magnética. Portanto, a indução depende da corrente que circula pela bobina.

Considere-se agora que a bobina utilizada é substituída por outra bobina com maior número de espiras. Ajustando-se a tensão da fonte para que a corrente permaneça com a mesma intensidade do experimento anterior, observa-se que o gaussímetro acusa maior indução. Portanto, a indução também depende do número de espiras.

 

Um terceiro experimento pode ser feito comparando dois circuitos com as seguintes características:

− ambos núcleos de mesmo material (mesmo tipo de ferro);
− ambos núcleos com mesma seção transversal;
− ambas bobinas idênticas;
− ambas bobinas percorridas pela mesma corrente;
− ambos núcleos têm mesmo formato, porém com comprimentos diferentes.

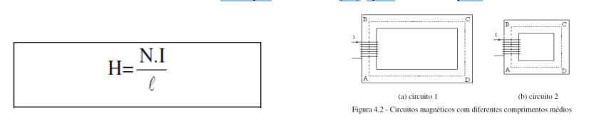
Usando-se um gaussímetro em cada circuito magnético, observa-se que no núcleo de menor comprimento (circuito 2) a indução magnética é maior. Isto acontece porque existe um menor trecho de ferro para ser magnetizado, o que dá à bobina um maior poder magnetizante. Para quantificar o poder magnetizante de uma bobina criou-se a grandeza denominada intensidade de campo indutor (H) que é dada por:

 

Nesta equação tem-se que:

N = número de espiras da bobina;
I = corrente que percorre a bobina ( Ampere, A);
l = comprimento médio do circuito magnético (metro, m);
H = intensidade de campo indutor ( Ampere-espira/metro, Ae/m).

Exemplo 4.1: Calcular a intensidade de campo indutor para o circuito 1 e para o circuito 2 da fig.4.2 que têm comprimentos médios de, respectivamente, 20 cm e 10 cm. Considere que ambas bobinas possuem 200 espiras e são percorridas por 1 A.

 

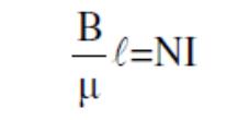
2 Permeabilidade Magnética (μ):

Alimentando-se a bobina com uma fonte cc ajustável, e aumentando-se gradativamente a tensão aplicada, ocorre um aumento da corrente que circula pela bobina (I=V/R). Este aumento da corrente produz um aumento na intensidade do campo indutor (H = NI/l) que, por sua vez, provoca um aumento da indução no núcleo.

 

A forma como o núcleo magnético responde à variação do campo indutor depende do tipo de material utilizado e é representada graficamente através da “Curva de Magnetização”. As figuras abaixo mostram as curvas de magnetização do ferro fundido doce e do aço fundido.

 

Nos pontos iniciais da curva o crescimento do campo indutor é acompanhado de um crescimento praticamente proporcional da indução. Por outro lado, nos pontos finais, o crescimento do campo indutor praticamente não produz crescimento na indução devido à saturação magnética (ordenação de praticamente todos os ímãs elementares).

 

Analisando as curvas de magnetização do ferro fundido doce e do aço fundido observa-se que para um mesmo campo indutor obtém-se maior indução no ferro doce do que no aço, ou seja, o ferro doce se magnetiza mais facilmente do que o aço. A grandeza que leva em consideração este fenômeno é denominada permeabilidade magnética.

Assim, pode-se definir permeabilidade magnética como a facilidade que o material possui de se magnetizar e expressá-la matematicamente como:

Exemplo 4.2: Calcule a indução magnética e a permeabilidade do aço fundido para os seguintes campos indutores:

a) H = 2000 Ae/m
b) H = 4000 Ae/m
c) H = 10000 Ae/m

Os resultados deste exemplo mostram que a permeabilidade magnética do aço fundido depende da intensidade de campo indutor. Quanto maior o campo indutor, menor é a permeabilidade, ou seja, mais difícil é magnetizar o material. Este comportamento é apresentado por todos os materiais magnéticos.

Os materiais não magnéticos possuem permeabilidade aproximadamente constante e bem menor do que a permeabilidade dos materiais magnéticos. Para efeito de cálculos, a permeabilidade dos materiais não magnéticos é considerada a seguinte constante magnética:

 

Portanto, os meios não magnéticos como o ar, o alumínio e a madeira entre outros possui permeabilidade:

 

m muitos casos, a permeabilidade é expressa em relação a constante (μ0) . Assim, define-se como permeabilidade relativa à relação entre a permeabilidade do material e a constante magnética, ou seja:

 

Esta equação mostra que a permeabilidade relativa (μr) é um número (sem unidade) que indica quantas vezes a permeabilidade do material (μ) é maior do que a permeabilidade dos materiais não magnéticos (μ0). Para materiais não magnéticos a permeabilidade relativa é aproximadamente igual à unidade (μr ≈ 1) e para materiais magnéticos é bem maior do que a unidade (μr >>1).

 

Assim se pode relacionar B, μ e H, considere que os seguintes solenoides possuem o mesmo formato, mesmo número de espiras, mesma corrente elétrica e mesmo comprimento.

 

Como N1=N2=N3; I1=I2=I3 e L1=L2=L3 H1=H2=H3, e como μ1<μ2<μ3B1<B2<B3.

 

Exemplo 4.3: Uma fonte CC de 100V alimenta a bobina do circuito magnético da figura abaixo, que tem 1000 espiras e resistência de 100Ω.

Calcule:

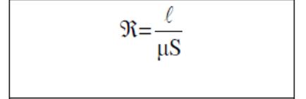
3 Força Magneto-motriz (F) e Relutância Magnética (R):

Considere o circuito magnético com a configuração utilizada até agora. Através das equações conhecidas, tem-se Hl=NI . No entanto H=B/ μ , logo se obtém:

 

O produto NI é definido como força magneto-motriz ou fmm (F) por ser a grandeza responsável pela criação do fluxo no núcleo. Seu símbolo é F e a sua unidade é o Ampère-espira (Ae), portanto:

 

O termo l/μS é definido como relutância magnética por se comportar como uma oposição à passagem do fluxo magnético. A relutância magnética é dada por:

 

A unidade de relutância magnética é Ampère-espira por Weber (Ae/Wb).

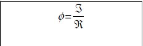
Com estas definições pode-se expressar a Lei de Hopkinson, que também é conhecida como Lei de Ohm do Electromagnetismo, da seguinte forma:

 

Enunciado: O fluxo magnético num circuito é diretamente proporcional à fmm e inversamente proporcional à relutância.

Exemplo 4.4: Calcule a relutância magnética do circuito magnético do exemplo 4.3.

4 Analogia Entre Circuito Magnético e Circuito Elétrico

As grandezas fmm e relutância não existem por acaso. Elas foram criadas justamente por analogia com o circuito elétrico a fim de melhorar a visualização dos fenômenos magnéticos.

No exemplo da figura abaixo, para o circuito elétrico e para o circuito magnético, têm-se respectivamente:

 

Os outros equacionamentos usados em circuitos elétricos também podem ser usados quase que sem restrição nos circuitos magnéticos. Deve-se salientar, no entanto, que o fluxo magnético não contém nenhum movimento físico de partículas ou algo semelhante. O fluxo é, na verdade, o produto da indução pela área da secção transversal e tem uma orientação dada pelo sentido das linhas de força.

Exemplo 4.5: Desenhe o circuito elétrico equivalente ao circuito magnético da figura abaixo.

 

Exemplo 4.6: Uma fonte cc de 100V alimenta a bobina do circuito magnético da figura abaixo, que tem 1000 espiras e resistência de 100Ω.

Calcule:

a) Corrente na bobina e força magnetomotriz;
b) Relutância do núcleo, relutância do entreferro e relutância total;
c) Fluxo magnético.

 

Os circuitos magnéticos encontrados nas aplicações práticas não são maciços como os considerados até agora. Eles são construídos com lâminas de ferro, empilhadas e prensadas, paralelas ao fluxo magnético.

 

5 Força de Atração

Muitos circuitos magnéticos possuem uma parte móvel, denominada âncora ou armadura, que é atraída pela parte fixa quando a bobina está alimentada. Aplicações: relé eletromecânico, campainha, solenoide, etc.

 

6 Relé eletromecânico

O relé é um tipo especial de interruptor que é acionado por corrente elétrica ou outra grandeza física. Os relés podem ser encontrados em diversos formatos e tamanhos, tendo como objetivos comandar ou proteger circuitos e equipamentos elétricos.

Conforme o princípio de funcionamento, os relés podem ser classificados como eletromecânicos, a estado sólido (eletrônicos), térmicos, etc. O objetivo deste texto é mostrar características básicas, construtivas e de funcionamento, dos relés eletromecânicos (ou eletromagnéticos) usados em pequenos circuitos elétricos.

 

Quando a bobina é alimentada por uma fonte, a corrente elétrica produz um campo magnético que atrai a armadura com uma força maior que a da mola e provoca o fechamento dos contatos. Quando a alimentação da bobina é retirada, a força da mola provoca a abertura dos contatos. Neste caso os contatos são denominados NA (normalmente abertos) porque esta é a situação quando a bobina não está alimentada.

Um relé também pode ter contatos NF (normalmente fechados) ou reversores.

 

7 Campainha

Na figura abaixo, está representado o circuito elétrico de uma campainha elétrica muito simples: L é uma lâmina de ferro flexível, e C é um contato que abre e fecha o circuito quando a lâmina se afasta dele ou encosta nele. Quando o circuito é fechado pelo interruptor I, a corrente no eletroímã faz com que L seja atraída, e o martelo M golpeie o tímpano T.

Em virtude desse deslocamento de L, o circuito se interrompe em C e o eletroímã perde a imantação. A lâmina flexível L retorna a sua posição normal, estabelecendo o contato em C. Assim, o processo se repete e M golpeia T repetidas vezes enquanto o interruptor I estiver acionado.

 

8 Alto Falante

O alto falante é um dispositivo que produz som a partir de uma corrente elétrica variável que passa na bobina de um eletroímã. Esta bobina está presa na base de um cone de papelão e encaixada (com folga) em um ímã permanente. Quando a corrente alternada passa pela bobina do eletroímã, ela é sucessivamente atraída e repelida pelo ímã permanente. O cone acompanha essas vibrações na bobina, provocando compressões e rarefações do ar, que constituem uma onda sonora.