O Aproveitamento da Energia Eólica

Energia Solar

1 RESUMO

Diversos estudos realizados nos últimos anos têm apontado as implicações e impactos sócio-ambientais do consumo de energia. As fontes renováveis de energia são apresentadas como a principal alternativa para atender as demandas da sociedade com relação à qualidade e segurança do atendimento da demanda de eletricidade com a redução dos danos ambientais decorrentes do consumo de energia. Este artigo apresenta uma revisão dos conceitos físicos relacionados ao emprego da energia cinética dos ventos na geração de eletricidade. Inicialmente, o artigo descreve a evolução do aproveitamento da energia eólica, incluindo dados e informações sobre a situação atual do uso desse recurso para geração de energia elétrica. O artigo apresenta uma descrição dos aspectos dinâmicos dos ventos e circulação atmosférica na Terra, incluindo a descrição dos fatores que influenciam a velocidade e direção dos ventos nas proximidades da superfície de nosso planeta. A modelagem e previsão dos ventos são discutidas apresentando os principais resultados obtidos com as metodologias empregadas no Brasil. Os aspectos relacionados à estimativa e previsão da potência eólica são abordados ressaltando a importância de uma base de dados de vento de qualidade para a determinação da confiabilidade dos resultados fornecidos pelos modelos numéricos.

2 Introdução

A questão energética é um dos tópicos de maior importância na atualidade. A qualidade de vida de uma sociedade está intimamente ligada ao seu consumo de energia. O crescimento da demanda energética mundial em razão da melhoria dos padrões de vida nos países em desenvolvimento traz a preocupação com alguns aspectos essenciais para a política e planejamento energético de todas as economias emergentes. Dentre eles, podemos citar a segurança no suprimento de energia necessária para o desenvolvimento social e econômico de um país e os custos ambientais para atender a esse aumento no consumo de energia.
Nas últimas décadas a segurança no suprimento de energia está associada às perspectivas de esgotamento das reservas de petróleo nas próximas décadas [2, 3] e a elevação dos preços de mercado dos combustíveis fósseis em conseqüência de problemas políticos e sociais nas principais regiões produtoras. Fatores ambientais também podem reduzir a segurança energética como, por exemplo, a ocorrência de longos períodos de estiagem que afetam a produtividade da biomassa e a geração hidroelétrica. A inserção de recursos complementares na matriz energética de um país, com a adoção de fontes renováveis, deve minimizar os impactos causados por crises internacionais que afetam o mercado de combustíveis fósseis ou por instabilidades na geração hidroelétrica em épocas de estiagem.
Em razão dos fatos expostos acima, a pesquisa científica e o desenvolvimento tecnológico vêm recebendo grande incentivo em todo o mundo, principalmente após o último relatório do IPCC (Painel Inter-Governamental para mudanças Climáticas) divulgado em fevereiro de 2007 [7]. Dentre as fontes energéticas "limpas' - fontes de energia que não acarretam a emissão de gases do efeito estufa (GEE) - a energia mecânica contida no vento vem se destacando e demonstra potencial para contribuir significativamente no atendimento dos requisitos necessários quanto aos custos de produção, segurança de fornecimento e sustentabilidade ambiental.
A experiência dos países líderes do setor de geração eólica mostra que o rápido desenvolvimento da tecnologia e do mercado têm grandes implicações sócio-econômicas. A formação de recursos humanos e a pesquisa científica receberam incentivos com a finalidade de dar o suporte necessário para a indústria de energia eólica em formação. Na atualidade, diversos estudos apontam a geração de emprego e o domínio da tecnologia como fatores tão importantes quanto à preservação ambiental e a segurança energética dos países da comunidade européia para a continuidade dos investimentos no aproveitamento da energia eólica.
No Brasil, a capacidade instalada ainda é muito pequena quando comparada aos países líderes em geração eólica. No entanto, políticas de incentivos estão começando a produzir os primeiros resultados e espera-se um crescimento da exploração deste recurso nos próximos anos. Para dar suporte a esse crescimento, torna-se necessário a formação de recursos humanos e o desenvolvimento de pesquisas científicas de âmbito nacional com o intuito de produzir e disponibilizar informações confiáveis sobre a os recursos eólicos no território brasileiro. Dentre os esforços mais recentes e disponíveis publicamente, pode-se citar o Atlas do Potencial Eólico Brasileiro [11] e a base de dados do projeto SONDA (www.cptec.inpe.br/sonda). Os resultados e produtos dessas pesquisas demonstram o potencial energético e a viabilidade econômica de projetos de aproveitamento desse recurso renovável no país.
Este artigo tem como objetivo descrever como os conceitos físicos relativos à dinâmica da atmosfera são empregados para a avaliação da disponibilidade do recurso energético eólico. O texto apresenta, inicialmente, um breve histórico da evolução da tecnologia empregada para aproveitamento da energia eólica e o status atual dessa fonte de energia no cenário mundial. O artigo discute, em seguida, os conceitos físicos envolvidos na descrição dos movimentos atmosféricos, na modelagem e previsão de ventos. O texto aborda, sucintamente, as bases de dados disponíveis para avaliação da confiabilidade dos modelos numéricos e para determinação do potencial energético disponível para exploração comercial. Os produtos e resultados das pesquisas em desenvolvimento no Brasil são discutidos brevemente com o intuito de ilustrar a aplicação prática dos conceitos discutidos no transcorrer do artigo.

3 Breve histórico da energia eólica no mundo

A conversão da energia cinética dos ventos em energia mecânica vem sendo utilizada pela humanidade há mais de 3000 anos. Os moinhos de vento utilizados para moagem de grãos e bombeamento de água em atividades agrícolas foram as primeiras aplicações da energia eólica. O desenvolvimento da navegação e o período das grandes descobertas de novos continentes foram propiciados em grande parte pelo emprego da energia dos ventos.
Uma aplicação que vem se tornando mais importante a cada dia é o aproveitamento da energia eólica como fonte alternativa de energia para produção de eletricidade. Em seu livro, Gasch e Twele [12] detalham a evolução da tecnologia da energia eólica desde seu emprego em moinhos de vento a partir de 1700 a.C. até os modernos aerogeradores de eletricidade. Estudos para conversão da energia cinética dos ventos em eletricidade vêm sendo desenvolvidos a cerca de 150 anos [13] e, nos dias de hoje, a energia eólica vem sendo apontada como a fonte de energia renovável mais promissora para a produção de eletricidade, em curto prazo, considerando aspectos de segurança energética, custo sócio-ambiental e viabilidade econômica.
O grande desenvolvimento da aplicação da energia eólica para geração de eletricidade iniciou-se na Dinamarca em 1980 quando as primeiras turbinas foram fabricadas por pequenas companhias de equipamentos agrícolas. Estas turbinas possuíam capacidade de geração (30-55 kW) bastante reduzida quando comparada com valores atuais. Políticas internas favoreceram o crescimento do setor, de maneira que, atualmente, a Dinamarca é o país que apresenta a maior contribuição de energia eólica em sua matriz energética e é o maior fabricante mundial de turbinas eólicas.
A evolução da capacidade instalada de geração eólica de eletricidade no mundo e a evolução tecnológica dos aerogeradores entre 1980 e 2002 podem ser observadas nas Figs. 1a e 1b, respectivamente. Desde o início da década de 1990 o setor de energia eólica vem apresentando um crescimento acelerado em todo o mundo. A capacidade instalada total mundial de aerogeradores voltados à produção de energia elétrica atingiu 74223 MW ao final de 2006, apresentando um crescimento de mais de 20% em relação a 2005. Segundo o Global Wind Energy Council [15], esse crescimento de capacidade instalada ao longo de 2006 representa o maior acréscimo observado ao longo de um ano. Ainda segundo o GWEC [15], o Brasil totalizou a inserção de 208 MW ao longo de 2006, fechando o ano com 237 MW de capacidade instalada. Esse acréscimo deve-se em grande parte à instalação dos parques eólicos de Osório (RS) que totalizam 150 MW. Este complexo eólico conta com 75 aerogeradores de 2 MW cada um, instalados em três parques eólicos, com capacidade de produzir 417 GWh por ano.

4 Vento e circulações atmosféricas

O movimento de parcelas de ar, nas atmosferas planetárias, é denominado vento. Embora, o ar possa mover-se na direção vertical, a denominação 'vento' é comumente aplicada apenas ao movimento horizontal, paralelo à superfície do planeta. Na meteorologia, a velocidade e a direção do vento, juntamente com a temperatura, a umidade e a pressão do ar atmosférico, são as variáveis mais importantes empregadas na descrição meteorológica da atmosfera terrestre.
O vento, como agente meteorológico, atua nas modificações das condições do tempo, sendo responsável pelo transporte de umidade e de energia na atmosfera. A energia dos ventos pode provocar grande destruição quando associado a eventos como furacões e tornados. Contudo, o vento pode ser empregado como uma fonte alternativa de energia por meio da conversão de sua energia cinética em outras formas de energia, especialmente eletricidade.

Aspectos dinâmicos

A aceleração, ou variação na quantidade de movimento, experimentada pelas parcelas de ar atmosférico, é decorrente da resultante vetorial de todas as forças atuantes sobre elas (segunda lei de Newton). Os gradientes de pressão existentes na atmosfera constituem a principal força motriz dos movimentos de ar. A força por unidade de massa atuante sobre uma parcela de ar, decorrente de um gradiente de pressão, pode ser expressa vetorialmente pela equação
onde p é pressão, ré densidade e mé massa. As parcelas de ar também sofrem ação da força gravitacional, em que g*é a aceleração (ou força por unidade de massa) decorrente puramente da força gravitacional entre a Terra e as parcelas de ar
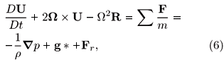
Adicionalmente, parcelas de fluido em movimento sofrem a ação de fricções internas que resistem à tendência do escoamento (forças viscosas resistivas ou atrito), representadas por Fr. Considerando uma parcela individual de ar, com massa constante, que se move ao longo da atmosfera seguindo o escoamento, e tomando um sistema de coordenadas inercial, fixo no espaço, a segunda lei de Newton pode ser escrita como
onde Ua representa a velocidade da parcela referente ao sistema inercial e DaUa /Dt representa a taxa de variação de Ua, seguindo o movimento da parcela, e relativa ao sistema de coordenadas inercial. Esta expressão afirma que a aceleração da parcela de ar é igual ao somatório de todas as forças (por unidade de massa) aplicadas sobre a parcela. Assim
Entretanto, no estudo da dinâmica dos movimentos atmosféricos, usualmente adota-se um sistema de coordenadas fixo à superfície terrestre, como mostra a Fig. 2. Este sistema é composto pelas direções zonal (eixo x) e meridional (eixo y) - paralelas à superfície do planeta - e pela direção vertical (eixo z) perpendicular à superfície. Assim, o vento horizontal apresenta duas componentes: o vento zonal que está simbolizado por u e é positivo no sentido de oeste para leste; e o vento meridional representado por v e positivo no sentido de sul para norte. O movimento do ar na vertical é normalmente representado por w, assumindo-se valores positivos para movimentos ascendentes.
Uma vez que a Terra se encontra em movimento de rotação, esse sistema de coordenadas fixo na superfície constitui num referencial não-inercial. Assim, a segunda lei de Newton somente pode ser aplicada a movimentos neste sistema de referência se a aceleração de suas coordenadas (em relação a um sistema inercial) for levada em consideração. A maneira mais satisfatória de incluir os efeitos da aceleração das coordenadas é a introdução de 'forças aparentes' [16]. Assim, pode-se demonstrar que a aceleração absoluta da parcela de ar equivale à aceleração da parcela relativa ao sistema de coordenadas fixo à Terra somada a termos decorrentes da aceleração de rotação da Terra
onde D U / Dt é a taxa de variação da velocidade, referente ao sistema de coordenadas fixo à superfície da Terra e seguindo o movimento da parcela de ar, U = uî + v img01 + w img2é o vetor velocidade nestas mesmas coordenadas, Wé o vetor velocidade angular da rotação da Terra cujo módulo é representado por W, e R é um vetor de posição, perpendicular ao eixo de rotação da Terra e com comprimento igual à distância entre o eixo de rotação e a parcela de ar. O operador D / Dt, denominado derivada total, representa a taxa de variação de uma propriedade de uma parcela de fluido seguindo o movimento da mesma.
Assim, para o sistema de coordenadas não-inercial fixo à superfície da Terra, a Eq. (4) pode ser reescrita utilizando a Eq. (5)
e assim
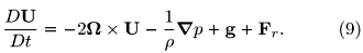
O primeiro termo do lado direito da Eq. (7) corresponde a uma das forças aparentes decorrentes da consideração da segunda lei de Newton em um sistema de coordenadas não-inercial, a chamada força de Coriolis. A segunda força aparente é a força centrífuga, representada no segundo termo da Eq. (7). Os três demais termos do lado direito da Eq. (7) são as forças reais atuantes sobre a parcela, discutidas anteriormente. A força centrífuga atua perpendicularmente ao eixo de rotação da Terra e soma-se vetorialmente à força gravitacional, dando origem à força de gravidade, g, definida como
Empregando a Eq. (8), a Eq. (7) pode ser reescrita como
A Eq. (9) é a expressão vetorial geral do movimento das parcelas de ar na atmosfera, referente à superfície terrestre e pode ser expandida em expressões escalares para o vento horizontal zonal (u) e meridional (v), empregando coordenadas esféricas. Devido à transformação das coordenadas cartesianas em coordenadas esféricas, termos de curvatura aparecem nas expressões. Contudo, exceto quando essas equações são empregadas para descrição do vento numa escala global, esses termos são muito pequenos. Segundo Holton [16], ao se considerar movimentos de escala sinótica em latitudes médias, e tendo-se excluído os termos de menores ordens de grandeza, as componentes zonal e meridional do vento podem ser expressas pelas seguintes equações
onde f = 2Wsenfé o chamado parâmetro de Coriolis, e fé a latitude do local (f e f são positivos no Hemisfério Norte e negativos no Hemisfério Sul). Assim, pelas Eqs. (10) e (11), verificamos que as três forças determinantes da velocidade e direção do vento horizontal são: a força do gradiente de pressão, a força de Coriolis e a força de atrito.
Em resumo, o vento surge basicamente pela ação da força do gradiente de pressão. Apenas após iniciado o movimento, as forças de atrito e de Coriolis passam a atuar, mas somente para modificar o movimento, e não para produzi-lo, sendo o vento controlado pela combinação dessas forças. A origem das diferenças de pressão está no aquecimento diferencial da superfície terrestre e do ar atmosférico pela radiação solar, de maneira que a energia contida no vento é, na realidade, uma forma secundária da energia solar. A pressão atmosférica e suas variações estão intimamente relacionadas com a temperatura do ar e as trocas de calor na atmosfera.
Se a Terra não girasse (W = 0) e não houvesse atrito (Fr = 0), o ar escoaria diretamente de áreas de maior pressão para áreas de pressão mais baixas. A força de Coriolis não possui capacidade de alterar o módulo da aceleração ou da velocidade do ar, mas apenas a direção, uma vez que a sua atuação ocorre sempre perpendicularmente ao movimento. Dessa forma, verificamos que a existência de vento zonal acarreta uma aceleração na direção meridional e vice-versa. A força de Coriolis promove a curvatura de trajetórias para a direita no Hemisfério Norte e para a esquerda no Hemisfério Sul. A sua intensidade é proporcional à velocidade, e é também função da latitude (f = 2Wsenf), sendo tanto mais intensa quanto maior for a latitude e sendo nula sobre o Equador (f = 0).
A Eq. (9) é uma das equações básicas empregadas na modelagem matemática dos movimentos de ar atmosférico, representando a conservação de momento. Duas outras equações, representando a conservação de massa e de energia são utilizadas adicionalmente pelos modelos meteorológicos. A conservação de energia é expressa em temos da equação de energia termodinâmica, que leva em conta as transformações de energia que ocorrem na atmosfera, incluindo o aquecimento pela radiação solar e as mudanças de fase da água. A forma mais usual da equação de energia termodinâmica é apresentada na equação
em que cv é o calor específico a volume constante para o ar seco, T é a temperatura do ar, a é o volume específico do ar e J é a taxa de aquecimento por unidade de massa devido a radiação, condução e liberação de calor latente.
A conservação de massa é expressa em termos da equação da continuidade, apresentada na Eq. (), e relaciona a taxa de acúmulo de massa com a divergência da velocidade do fluido

5 Vento em altos níveis

A atmosfera da Terra é comumente dividida em camadas: troposfera, estratosfera, mesosfera e exosfera. Destas camadas, a troposfera é a que se encontra mais próxima à superfície e estende-se até alturas que variam de 8 km nos pólos até 17 km próximo ao Equador. A região de transição entre a troposfera e a estratosfera chama-se tropopausa, e atua como uma fronteira aproximadamente rígida para o ar troposférico. É na troposfera que ocorrem praticamente todos os processos relacionados com os fenômenos meteorológicos e as mudanças do tempo, sendo, portanto, o alvo de estudo da Meteorologia. Assim, ao longo deste artigo, ao se utilizar as expressões 'níveis atmosféricos elevados' ou 'movimentos em altos níveis', refere-se às alturas correspondentes ao topo da troposfera terrestre.
Em níveis atmosféricos afastados da superfície terrestre, o atrito pode ser desprezado e o vento pode ser descrito pelo equilíbrio entre a força de Coriolis e do gradiente de pressão, sendo essa aproximação chamada de aproximação geostrófica. As parcelas de ar inicialmente em repouso e sujeitas a um gradiente de pressão, começam a acelerar-se em direção à pressão mais baixa. A força de Coriolis cresce à medida que a velocidade aumenta fazendo com que as parcelas de ar sejam gradativamente defletidas até que, eventualmente, as duas forças entrem em equilíbrio e as parcelas passam a mover-se perpendicularmente ao gradiente de pressão e paralelamente às isóbaras (isolinhas de pressão constante), com velocidade constante e em trajetórias retilíneas, como mostradas na Fig. 3. Como a força de Coriolis desvia as trajetórias de ar para a direita no Hemisfério Norte e para a esquerda no Hemisfério Sul, o vento em equilíbrio resultante, para uma mesma distribuição de pressão, possui sentidos opostos em cada hemisfério. Esse movimento não-acelerado e retilíneo das parcelas de ar possui intensidade proporcional à intensidade dos gradientes de pressão, e é denominado vento geostrófico.
Vale enfatizar que o vento geostrófico é um modelo idealizado que apenas aproxima o comportamento verdadeiro do escoamento de ar em altos níveis (onde as forças de atrito não são significativas) em latitudes médias e altas (uma vez que nas proximidades do Equador a força de Coriolis é praticamente nula). Contudo, na linguagem técnica da energia eólica, o vento acima de alguns poucos quilômetros da superfície, que não sofre influência do atrito da superfície, é comumente referido como sendo vento geostrófico.
Apesar de que na atmosfera real os ventos nunca serem puramente geostróficos, o vento geostrófico idealizado fornece uma aproximação útil dos ventos reais em altos níveis. Os maiores desvios do vento em relação ao vento geostrófico ocorrem quando as massas de ar percorrem trajetórias de grande curvatura. Ao observar-se um mapa meteorológico de pressão num nível vertical fixo, verifica-se que geralmente as isóbaras não são retas, mas formam curvas e ocasionalmente se conectam formando células aproximadamente circulares de alta ou baixa pressão. Nestes locais, o vento geostrófico é modificado, passando a ser denominado vento gradiente.
O vento gradiente também é paralelo às isóbaras curvilíneas, à custa de um desequilíbrio entre as forças de Coriolis e do gradiente de pressão, que resulta em uma aceleração centrípeta, responsável pela curvatura das parcelas de ar em torno das células de alta e baixa pressão. Isso é exemplificado na Fig. 4 para o Hemisfério Sul, onde o vento escoa no sentido horário em torno das baixas pressões e em sentido anti-horário em torno das altas pressões (o oposto ocorre no Hemisfério Norte). As baixas pressões são comumente denominadas ciclones, enquanto altas pressões são denominadas anticiclones.

6 Vento nas proximidades da superfície

Nos níveis atmosféricos mais baixos, as aproximações de vento geostrófico e de vento gradiente não podem mais ser aplicadas, devido a modificações no equilíbrio de forças promovidas pelo atrito oferecido pela superfície. O relevo e a presença de obstáculos moldam o escoamento do ar sobre a superfície terrestre, bem como geram turbulências no fluxo. A rugosidade da superfície é a propriedade física que descreve a ação da superfície terrestre na redução do momento e na absorção do impacto dos ventos. Define-se a camada limite atmosférica como a região compreendida entre a superfície e uma altura variável entre 100 e 3000 m de altura e que apresenta um comportamento diferente do restante da atmosfera devido às interações superfície-atmosfera [17]. A influência da superfície é especialmente dominante numa camada chamada camada superficial, compreendendo os primeiros 50-100 m da atmosfera [18], onde ocorrem os intercâmbios de momento, calor e umidade entre a superfície e o ar atmosférico.
A rugosidade da superfície ocasiona a redução da velocidade do ar e, portanto, da intensidade da força de Coriolis, já que esta é proporcional ao módulo da velocidade. Conseqüentemente, o vento deixa de escoar paralelamente às isóbaras, como descrito anteriormente para o escoamento em altos níveis. Nas proximidades da superfície, o vento apresenta uma componente no sentido da força do gradiente de pressão. Dessa forma, o escoamento ciclônico converge em direção à baixa pressão, enquanto nos anticiclones o ar diverge, afastando-se do centro de alta pressão (Fig. 5). A convergência de ar provoca movimentos ascendentes sobre os centros de baixa pressão, ocasionando instabilidades e possibilitando formação de nuvens e chuva. Nos centros de alta pressão ocorrem movimentos descendentes de ar, e normalmente o tempo é bom e estável.
Além do comportamento turbulento devido às interações superfície-atmosfera, outro aspecto importante a ser considerado é o cisalhamento do vento. A velocidade do vento é nula a alturas próximas à superfície e aproximadamente geostrófica na atmosfera livre. Na camada superficial observa-se um perfil vertical aproximadamente logarítmico do módulo da velocidade do vento, como apresentado graficamente na Fig. 6.
Prandtl desenvolveu a seguinte expressão logarítmica empírica para a variação da velocidade do vento na vertical em uma camada limite turbulenta [12]
onde a variação da velocidade com a altura vertical z, é dada em função da velocidade de fricção (v*), da constante de von Karmán (k), e do comprimento de rugosidade (z0). O comprimento de rugosidade corresponde à altura em que o vento, próximo à superfície, assume valor zero, e depende do relevo e obstáculos da superfície. Contudo, o perfil real de velocidades na vertical depende também da estratificação de temperatura e pressão na atmosfera.

7 Circulação Geral da Atmosfera e ventos predominantes

Os movimentos atmosféricos e os sistemas meteorológicos aos quais estão relacionados possuem diferentes padrões de circulação, com diferentes dimensões espaciais e tempos de vida, de maneira que o seu estudo, na Meteorologia, é realizado através da subdivisão em escalas. Segundo Lutgens e Tarbuck [20], os movimentos atmosféricos são enquadrados nas seguintes escalas de tempo e espaço:
- Microescala: dimensões de menos de 1 km e tempos de vida de segundos a minutos;
- Mesoescala: dimensões de 1 a 100 km e tempos de vida de minutos a dias;
- Escala sinótica: dimensões de 100-5000 km e tempos de vida de dias a semana;
- Escala planetária: dimensões de 1000-40000 km e duração de semanas a anos.
Os movimentos de escala planetária são primariamente causados pelo aquecimento diferencial da superfície terrestre, em que a irradiação solar incide com maior intensidade nas regiões próximas ao Equador. Os movimentos que surgem a partir de então agem para promover uma redistribuição de calor (transporte de ar quente para os pólos e ar frio para o Equador, diminuindo as desigualdades térmicas). Além disso, deve-se ter em mente, que devido ao movimento de rotação da Terra, a circulação atmosférica planetária é influenciada pela conservação do momento do sistema Terra-Atmosfera. A Fig. 7 apresenta um modelo conceitual de circulação atmosférica planetária chamado de modelo de três células. Neste modelo, a circulação em cada hemisfério é descrita por três células meridionais de circulação, cada qual apresentando direções de vento predominantes à superfície. Apesar de algumas limitações, este modelo é considerado o melhor modelo simples da circulação global atmosférica.
Ao aquecer-se próximo à superfície, o ar das vizinhanças do Equador torna-se mais leve, ascende, resfria-se, e sua umidade condensa e precipita em forma de chuva. Chegando ao topo da troposfera terrestre, o ar, agora frio e seco, desloca-se na direção de ambos os pólos forçado pelas parcelas de ar que continuamente ascendem a partir da superfície. Nas latitudes entre 20° e 35° Norte e Sul, o ar descende até a superfície e parte do ar descendente dirige-se para o Equador em baixos níveis, fechando, assim, células de circulação chamadas células de Hadley. Nas células de Hadley, as correntes de ar dirigidas para o Equador na superfície, são defletidas pela força de Coriolis. Assim, os ventos resultantes possuem uma componente de leste para oeste e uma componente dos trópicos para o Equador. Esses ventos predominantes em baixos níveis, na região tropical, são chamados de alíseos. Nas regiões extra-tropicais, entre 30 e 60° de latitude, a circulação atmosférica resulta em outra célula meridional de circulação em cada hemisfério: a célula de Ferrel. Nesta célula, parte do ar descendente entre 20° e 35° de latitude escoa em direção aos pólos nas proximidades da superfície, até ser forçado a subir ao encontrar o ar mais frio e denso da região polar. Essa ascensão ocorre em torno de 60° de latitude, acompanhada de condensação de umidade, precipitação e divergência do ar em altos níveis. Os ventos próximos à superfície são predominantemente de oeste para leste em conseqüência da ação da força de Coriolis. Existem ainda as células polares, em que parcelas do ar, após ascender nas latitudes próximas a 60°, deslocam-se para os pólos, descendem exatamente sobre eles e retornam em direção ao Equador, sendo que o vento em superfície, defletido pela força de Coriolis, é aproximadamente de leste para oeste. Este vento polar, frio e seco, eventualmente encontra os ventos de oeste mais quentes das latitudes médias, constituindo uma região chamada frente polar, onde em geral ocorrem tempestades.
A ascensão de ar junto ao Equador ocasiona alta precipitação na região que se caracteriza pela presença das florestas tropicais do planeta. Essa zona de convergência de ar úmido em superfície e formação de nuvens convectivas é chamada de Zona de Convergência Intertropical (ZCIT), e constitui-se uma região de baixas pressões (Baixa Equatorial). A descendência de ar seco nos cinturões de 30° de latitude de ambos os hemisférios constitui as regiões de altas pressões (Altas Subtropicais), e coincidem com a ocorrência de desertos. A convergência de ar em baixos níveis na frente polar constitui as Baixas Subpolares, onde ocorrem movimentos de ascensão de ar e formação de nuvens e precipitação. Finalmente, o ar frio e seco descendente sobre os pólos resulta nas Altas Polares.
Vale enfatizar que os movimentos e células descritos constituem apenas um modelo simplificado da circulação global atmosférica e correspondem às condições médias aproximadamente observadas ao longo do ano e em torno do globo terrestre, indicando os ventos de grande escala predominantes. Na realidade, as circulações atmosféricas e regiões de altas e baixas pressões se modificam ao longo do ano (com a modificação da incidência de radiação solar) e também não são zonalmente uniformes como na Fig. 7. Essas diferenças ao longo da direção zonal se devem em grande parte à distribuição de continentes e oceanos, e às suas diferentes propriedades térmicas. A ZCIT se desloca para latitudes a sul do Equador durante o verão do Hemisfério Sul, e para latitudes a norte do Equador durante o inverno no Hemisfério Sul, deslocando também os ventos alíseos que passam sobre a região Nordeste do Brasil.
Os anticiclones e ciclones extratropicais, com suas frentes frias e quentes, são sistemas sinóticos que além de responsáveis pelas mudanças nas condições de tempo (nebulosidade, precipitação, tempestades e mudanças bruscas de temperatura) nas latitudes médias, também provocam variações nas intensidades e direções dos ventos nos altos e baixos níveis atmosféricos. A Fig. 8 apresenta, para um nível próximo à superfície, uma sobreposição de um mapa de pressão e um mapa de vento (representado através de vetores), onde se pode observar um anticiclone (giro anti-horário no hemisfério sul) e um ciclone (giro horário no hemisfério sul) e o vento associado.
Assim, os movimentos observados na atmosfera terrestre são uma sobreposição de todas as escalas de movimento, de maneira que sistemas e padrões de escalas menores podem ser transportados pelos movimentos de escalas maiores. Eventualmente, circulações locais podem predominar sobre os movimentos de escala planetária, determinando as condições do vento em regiões específicas. Por exemplo, o vento em regiões costeiras é em grande parte determinado por um processo de mesoescala: a brisa mar-terra na qual os ventos em superfície sopram em direção a terra ou ao mar dependendo do ciclo de dia e noite devido ao aquecimento e resfriamento diferencial da água e da terra. Numa escala ainda menor, o relevo e obstáculos do terreno da costa podem modificar a brisa mar-terra, resultando em direções e velocidades de vento específicas para cada local.

8 Potência eólica disponí vel e utilizável

Através das turbinas eólicas, a energia cinética contida no vento é convertida em energia mecânica pelo giro das pás do rotor e transformada em energia elétrica pelo gerador. As turbinas eólicas se encontram inseridas na camada superficial da atmosfera, utilizando a energia do vento em uma ampla faixa de alturas. A potência P contida no vento fluindo perpendicularmente com velocidade u através de uma área A que pode representar a área de interceptação das hélices de uma turbina eólica é dada por
onde a densidade do ar, representada por r é função da pressão atmosférica e da temperatura do ar que estão diretamente associados com a altitude local. A densidade do ar pode ser estimada a partir de
onde r(z) é a densidade do ar (em kg/m3) em função da altitude z, p0 é a pressão atmosférica ao nível do mar (em kg/m3), T é a temperatura do ar (em K), g é a aceleração da gravidade (em m/s2) e R é a constante específica do ar (em J/K mol).
Em resumo, a potência eólica, isto é, a energia total disponível por unidade de tempo é proporcional à terceira potência da velocidade do vento. No entanto, a energia do vento não é totalmente extraída pelas pás da turbina. Estudos mostram que o valor máximo da potência que pode ser extraída do vento corresponde a 59% da potência total disponível [21]. Somam-se a isso perdas mecânicas na turbina (geometria das pás entre outros) que reduzem a potência máxima utilizável a, aproximadamente, 42% da potência total disponível no vento.
Como a potência elétrica fornecida por uma turbina eólica é proporcional à terceira potência da velocidade, mesmo pequenos erros nos dados de velocidade do vento podem representar grandes desvios em termos de previsão de potência eólica disponível para turbinas, o que pode levar a incertezas no retorno do investimento a ser feito em um projeto de uma usina ou fazenda eólica. Dessa forma, o tópico seguinte discute as bases de dados de ventos disponíveis para uso no setor elétrico.

9 Bases de dados eólicos aplicáveis ao setor energético

Medidas locais

Uma base de dados com medidas locais é de grande importância para prever com precisão a densidade de energia e a potência instalada de uma unidade geradora que são proporcionais ao cubo da velocidade média do vento. A instrumentação utilizada para a aquisição de dados deve ser robusta de modo a permitir a coleta de dados confiáveis por períodos suficientemente longos de tempo a fim de que a variabilidade do vento seja conhecida. Diversos estudos discutem as principais fontes de erros como o tipo e calibração do anemômetro, sua resposta ao fluxo turbulento, condições climáticas fora dos limites do sensor e a influência da torre arranjos de montagem da instrumentação instalada. O posicionamento do anemômetro é fundamental e recomenda-se que ele seja posicionado no mesmo local e altura do rotor da turbina a ser instalada.

Rede de estações de superfí cie para coleta de dados

Muitas vezes, não existe a disponibilidade de dados locais devido aos custos de instalação e manutenção da instrumentação necessária para a coleta dos dados. Assim, o potencial eólico de um dado local específico pode ser estimado a partir de dados coletados em regiões próximas que apresentem características climáticas e ambientais similares. Alguns institutos de pesquisa, instituições de ensino, e outras organizações que oferecem serviços públicos (aeroportos, por exemplo) realizam rotineiramente medidas de dados de vento e outras variáveis meteorológicas de interesse para a área energética. Esses dados podem ser utilizados não só para uso direto no levantamento de recursos eólicos disponíveis para um local ou região como também para a validação de estimativas fornecidas por modelos numéricos de previsão de vento.
Mesmo considerando que o procedimento de coleta de dados esteja em acordo com os padrões estabelecidos pela World Meteorological Organization (WMO), deve-se ter em mente que muitas das medidas realizadas rotineiramente não têm como foco principal o setor energético. Assim, uma análise cuidadosa deve ser realizada antes da sua utilização a fim de verificar a adequação e aplicabilidade dos dados. Alguns aspectos a serem considerados estão relacionados à disponibilidade de histórico de operação do anemômetro (falhas ocorridas, substituição e calibração do equipamento, alteração da unidade de medida, etc.); a erros de truncamento e de transmissão de dados; e à representatividade espacial, temporal e climática dos dados.

Base de dados em escala global

Dados climáticos em escala global são gerados em projetos de re-análise de dados meteorológicos. Essas bases de dados contemplam um conjunto homogêneo de dados de vento para o intervalo de uma década ou mais e são preparadas com o uso de modelos numéricos de previsão do tempo alimentados com dados coletados em estações sinóticas, bóias oceânicas, radiosondas, satélites, embarcações, etc. Os dados meteorológicos assimilados nos modelos passam por um rígido controle de qualidade e são manipulados para alimentar cada um dos pontos de grade do modelo numérico. As bases dados de re-análise permitem uma visão geral da climatologia global dos ventos e podem ser utilizados como estimativas para regiões onde a quantidade de dados coletados em superfície é muito pequena. Outro aspecto importante é que as bases de dados de re-análise não apresentam falhas, isto é, os dados de vento estão disponíveis em todo o período de tempo englobado pelo projeto. No entanto, a sua principal desvantagem é a baixa resolução espacial uma vez que a malha da grade apresenta dimensões grandes para reduzir a demanda computacional dos modelos que rodam em escala global. Projetos de re-análise são desenvolvidos pelo National Centers for Environmental Prediction e National Center for Atmospheric Research (www.cdc.noaa/gov/cdc/reanalysis) e pelo European Centre for Medium Range Weather Forecasting (www.ecmwf.int/research/era/).

Modelagem e previsão numérica do vento

A modelagem atmosférica e a previsão do vento aplicadas ao setor energético possuem dois enfoques principais: a estimativa dos ventos médios levando em conta dados climatológicos; e a previsão de vento para instantes futuros em curto e médio prazos. O primeiro enfoque tem como finalidade a seleção de locais que apresentam melhores condições de suportar geração eólica e prover os dados necessários para avaliar a viabilidade econômica e estabelecer os parâmetros a serem adotados no desenvolvimento de projetos de unidades geradoras e fazendas eólicas.
As previsões de curto e médio prazo visam facilitar o planejamento da operação de fazendas eólicas e unidades geradoras. As estimativas de curto prazo são particularmente úteis na identificação de períodos de maior ocorrência de vento, bem como a ocorrência de ventos nocivos ao sistema. A previsão de vento em médio prazo também é útil no gerenciamento dos recursos de energia elétrica, visando suprir as deficiências na oferta de geração eólica por energia elétrica proveniente de outras fontes. A confiabilidade destas bases de dados está sujeita a procedimentos de validação quando as estimativas fornecidas pelos modelos devem ser comparadas com medidas locais e dados coletados em uma rede de estações de superfície.

Modelagem do vento para o setor de energia eólica

A previsão de vento para fins de geração eólica para qualquer localidade pode ser realizada com o uso de dados disponibilizados por modelos numéricos regionais ou globais. Os modelos simulam o escoamento atmosférico em vários níveis verticais, representando razoavelmente bem a circulação geral da atmosfera e fenômenos de escala sinótica. Modelos numéricos de mesoescala são largamente utilizados para modelagem regional das condições meteorológicas em áreas limitadas, abrangendo desde centenas de quilômetros até continentes inteiros [22, 23]. Por motivos relacionados com a limitação de recursos computacionais para produção de previsões em tempo hábil para os usuários, as variáveis meteorológicas são previstas para pontos representativos de uma área chamados pontos de grade. As informações de superfície e relevo empregadas para cada ponto de grade apresentam baixa resolução espacial, da ordem de dezenas de quilômetros. A ausência de informações refinadas da rugosidade, obstáculos e detalhamento do relevo local acarretam erros intrínsecos na estimativa do vento na altura de geradores eólicos, não atendendo plenamente o setor de geração eólica de energia.
Um aumento da confiabilidade das estimativas pode ser conseguido por meio de um refinamento, ou downscaling (do inglês), que pode ser baseado em um método físico ou um método estatístico. No refinamento estatístico as informações de previsão, dispostas em pontos de grade vizinhos à localidade, são utilizadas em equações empíricas ajustadas com base num conjunto de medidas locais de vento, fazendo-se uso de métodos estatísticos avançados.
No refinamento físico, o vento geostrófico fornecido pelos modelos numéricos alimenta um modelo dinâmico com maior resolução espacial para simulação de escoamento sobre relevo complexo e que leva em conta as relações físicas de camada limite para ajuste do perfil de vento, e as condições fisiográficas locais.
O refinamento físico pode também ser realizado através de modelos meteorológicos configurados para resoluções maiores do que aquelas utilizadas operacionalmente na previsão de tempo [11, 28]. Embora exijam recursos e tempo computacional maiores, estes modelos utilizam o conjunto completo de equações dinâmicas (equação de momento, continuidade e energia termodinâmica) descritas nos tópicos anteriores e possuem parametrizações que permitem a simulação de vários processos físicos, que influem nos movimentos atmosféricos.

10 Resultados e produtos de pesquisas desenvolvidas no Brasil

No Brasil, o CPTEC/INPE opera e gerencia uma rede de coleta de dados de vento e dados ambientais voltada para atender a demanda por informações do setor energético - Rede SONDA. O objetivo principal da rede SONDA e disponibilizar informações que permitam o aperfeiçoamento e validação de modelos numéricos para estimativa de potencial energético de fontes renováveis. A Fig. 9 apresenta a localização das estações de coleta de dados eólicos com anemômetros e termômetros instalados a 25 m e 50 m do solo. Maiores detalhes sobre a Rede SONDA, bem como acesso livre a toda a base de dados coletados podem ser obtidos em www.cptec.inpe.br/sonda. O CPTEC/INPE também disponibiliza acesso à base de dados coletados em estações automáticas (não direcionados especificamente ao setor de energia).
Outro importante resultado de trabalho desenvolvido por pesquisadores brasileiro é o Atlas do Potencial Eólico Brasileiro [11]. As informações do vento geostrófico contidas nesta base de dados foram geradas a partir da simulação da circulação atmosférica de grande escala por um modelo de mesoescala chamado MASS (Mesoscale Atmospheric Simulation System). A partir desses dados de vento geostrófico, foi empregado o refinamento físico com o código WindMap para estimar os dados de vento na altura típica dos aerogeradores (50 m). A Fig. 10 apresenta o mapeamento da média anual do fluxo de potência eólica e da velocidade do vento. Os valores apresentados neste mapeamento foram validados utilizando dados de vento coletados na superfície e o desvio-padrão observado para a diferença entre a velocidade estimada e a velocidade medida foi da ordem de 7,5%. Segundo o Atlas do Potencial Eólico Brasileiro, mais de 71.000 km2 do território nacional possui velocidades de vento superior a 7 m/s ao nível de 50 m, o que propicia um potencial eólico da ordem de 272 TWh/ano de energia elétrica. Essa é uma cifra bastante significativa considerando que o consumo nacional de energia elétrica é de 424 TWh/ano. A maior parte desse potencial está na costa dos estados nordestinos, como conseqüência dos ventos alísios.
O levantamento dos recursos de energia eólica no Brasil foi uma das metas do projeto SWERA (Solar and Wind Energy Resources Assessment) desenvolvido sob a coordenação da Divisão de Clima e Meio Ambiente do Centro de Previsão do Tempo e Estudos Climáticos (DMA/CPTEC) e financiamento do Programa das Nações Unidas para o Meio Ambiente (PNUMA). A metodologia empregada no mapeamento dos recursos eólicos adotou o modelo numérico Eta utilizado rotineiramente para a previsão de tempo e estudos climáticos pelo CPTEC/INPE [28]. O modelo foi alimentado com dados de topografia e de cobertura do solo com resolução de 1 km e a base de dados de re-análises do NCEP/NCAR foi utilizada para prover as informações nas fronteiras das regiões estabelecidas para o mapeamento. Os resultados obtidos foram comparados e validados com dados de vento coletados em aeroportos brasileiros, e em estações meteorológicas automáticas e torres eólicas da rede SONDA. A Fig. 11 mostra os valores médios anuais para a velocidade do vento obtidos para as regiões Nordeste e Sul.
O mapeamento produzido com o modelo Eta apresenta boa concordância com os resultados apresentados no Atlas Eólico Brasileiro [11], sendo que as maiores discrepâncias são observadas ao sul do estado da Bahia e na divisa entre Bahia e Piauí. No entanto, devido à escassez de dados de campo nas regiões de maior discrepância entre as duas metodologias, ainda não se pode afirmar qual apresenta a maior confiabilidade. Informações mais detalhadas sobre o mapeamento dos recursos eólicos no Brasil realizadas durante o projeto SWERA estão apresentadas por Pereira [28] ou podem ser acessadas no portal http://swera.unep.net/swera/ e no website da rede SONDA (www.cptec.inpe.br/sonda).

11 Considerações finais

Este artigo tem como objetivo atender uma demanda de informações da comunidade acadêmica e do público em geral sobre o aproveitamento da energia eólica constatada por meio dos inúmeros contatos recebidos pela Divisão de Clima e Meio Ambiente (DMA) do CPTEC/INPE após o início do projeto SWERA (Solar and Wind Energy Resource Assessment). A preocupação ambiental e a necessidade de otimização de custos e aumento da segurança energética de muitas áreas de atividade econômica são responsáveis pelo crescimento do interesse pela compreensão dos aspectos técnicos e científicos associados com o aproveitamento das fontes renováveis de energia.
O CPTEC/INPE vem desenvolvendo, com apoio de instituições de nacionais e internacionais, diversos projetos com o intuito de atender essa demanda de informações técnico-científicas confiáveis por meio do desenvolvimento de metodologias para levantamento de recursos energéticos com o uso de dados obtidos por meio de sensoriamento remoto (satélites e estações de superfície) e modelos numéricos. Os projetos SWERA e a rede SONDA são exemplos dessa atuação e toda a base de dados gerada está disponível para acesso gratuito no sítio www.cptec.inpe.br. Essas bases de dados são extremamente úteis para a definição de políticas energéticas e para o desenvolvimento de projetos de aproveitamento de recursos energéticos. Os resultados obtidos até o momento demonstram o potencial do país tanto com relação à disponibilidade de recursos renováveis quanto à capacidade de recursos humanos qualificados para o desenvolvimento e a continuidade das atividades de pesquisa nessa área. No entanto, ainda existe a necessidade de implementação de coleta sistemática de dados de vento na região Sul e em áreas de região Nordeste, (como por exemplo, ao sul da Bahia) com o intuito de permitir um aperfeiçoamento maior dos modelos numéricos utilizados no mapeamento dos recursos eólicos e uma avaliação mais adequada da confiabilidade das informações por eles fornecidas.