Radiocomunicação Digital na Segurança Pública

Radiocomunicações

1 Introdução

Este trabalho trata da análise do sistema de radiocomunicação digital e seus padrões utilizados pelas instituições de segurança pública do Brasil, comparando-a com as referencias de alguns países que já implementaram este sistema e são conceito em inovação tecnológica de comunicação. Com toda a gama de investimentos feitos atualmente em segurança pública, torna-se foco de inúmeras discussões governamentais a modernização da estrutura existente, para que seja possível assegurar de modo eficiente os direitos humanos tão necessários para sociedade em que vivemos.

A rede de radio digital constitui um ponto indispensável nesta modernização estrutural e seu grau elevado de segurança na comunicação policial, evita assim as interceptações das mensagens por pessoas não autorizadas, bem como o compartilhamento e integração de dados, visando melhores resultados no atendimento á população.

 

O funcionamento básico da composição dos sistemas de radiocomunicação que é feita por módulos, subsistemas e dezenas de equipamentos, fazem parte de um amplo sistema, que envolve rádios, modens, centrais telefônicas, roteadores, canais de alta velocidade e inúmeros programas de computador sem os quais não seria possível a transmissão de informações entre policiais.

Contudo a junção de conhecimentos de pontos antes dispersos expõe o cotidiano da população que convive com os benefícios de eficiência, flexibilidade e clareza nas comunicações, proporcionada pelo sistema radiocomunicação digital que acaba potencializando os recursos humanos e materiais das instituições de segurança pública. Pode-se associar a radiocomunicação digital ao serviço policial que tem enorme mobilidade e flexibilidade para reagrupar a frota de veículos e o número de policiais nas suas ações de combate ao crime, como o despacho de viaturas em situações emergenciais.

 

Objetivos:

Objetivo Geral

Este trabalho tem por objetivo identificar os fatores relevantes para a radiocomunicação digital na segurança publica que utilizam tecnologia rádio digital troncalizado.

Definir os conceitos básicos das redes de radiocomunicações nos padrões escolhidos nos principais estados do Brasil.

Objetivos Específicos

Neste sentido, este trabalho almeja expor os conceitos de radiocomunicação digital na segurança pública e os principais padrões tecnológicos de radiocomunicação digital disponíveis no mercado nacional. Para tanto, serão descritas as especificações dos padrões, equipamentos, métodos de transmissão e encriptação da comunicação.

Expondo informações a respeito de padrões de radiocomunicação digital que foram adquiridos por órgãos de segurança pública no país, tais formatos de rádio digital apresentam-se como opções de investimento na modernização tecnológica aplicada no atendimento policial oferecido a população.

Justificativa

Com toda a gama de investimentos feitos atualmente em segurança pública, que é foco de inúmeras discussões governamentais quanto a modernização da estrutura existente, para que seja possível assegurar de modo eficiente os direitos humanos mínimos necessários para se viver em sociedade.

Trata-se de tema atual e de grande deficiência em pesquisas e artigos que possam servir de base para estudos futuros, por esse motivo o trabalho fará uma contribuição significativa. Ao realizar aquisição recente do padrão Tetrapol a Polícia Federal fez com que começassem as buscas de outras Polícias nacionais que se mostraram interessadas em adquirir novas tecnologias.

As argumentações teóricas que alicerçam a padronização da radiocomunicação digital no segmento governamental da segurança pública são frágeis. Por isso, a falta de padrões concisos de rádio digital gera uma discussão que está presente nos principais debates dos profissionais de segurança pública.

Neste sentido, uma pesquisa abordando esse segmento de radio digital na segurança pública poderá contribuir de maneira significativa para a indicação de novas possibilidades tecnológicas no âmbito das telecomunicações. Esse estudo acadêmico possibilitará, acima de tudo, que se realize um valioso embasamento teórico conceitual para novos processos de investimentos da administração pública em telecomunicações.

Metodologia

Os procedimentos a serem adotados consistem em analisar a radiocomunicação digital na segurança pública com base nas escolhas de padrões realizadas por estados brasileiros reunindo de forma concisa as informações disponíveis em literatura especifica. Serão trabalhados os aspectos básicos do funcionamento de uma rede de radio digital seus principais equipamentos, métodos de transmissão e encripitação da comunicação.

2 Radiocomunicação Digital Troncalizados

A base teórica que conceitua sistemas de comunicação moderna cria um marco que serve como divisor de águas que são o advento das técnicas de modulação digital. Desta forma, o sistema radiocomunicação trocalizado (trunking) digital vem para transformar o meio de comunicação de radio frequência arcaicos que utilizavam as comunicações em canais com pares de frequências fixas para transmissão e recepção das mensagens. Assim evoluindo o processo se torna uma comutação instantânea entre o receptor e o transmissor.

Os equipamentos começam a seguir uma sequencia logica por sua vez compartilhada com todas as estações da rede possibilitando acesso múltiplo por divisão de frequência dos canais disponíveis (FDMA), maneira essa onde são identificadas pelas estações as frequências que devem transmitir e de modo coordenado receber em instante especifico de tempo. Apenas visto que a probabilidade da utilização de diversos canais simultaneamente é baixa, a possibilidade de bloqueio é muito inferior do que quando se utiliza apenas um canal de acesso.

Existem em diversas publicações nacionais como o Glossário da ANATEL que seguem uma linha conceitual que inclui o processo de modulação, acesso e transmissão digital, nas mesmas definições utilizadas pelas instituições internacionais, mas somando aos parâmetros, também as tecnologias dos Serviços de Comunicação Multimídia (SCM) definido por sinais de qualquer natureza de informação como áudio, vídeo e texto que estejam digitalizados. Assim, podemos trazer, de maneira simples, um diagrama em blocos que demostra as etapas do sistema de radiocomunicação digital exemplificando-o na Figura 1 a seguir:

O compartilhamento automático de canais em um sistema de múltiplos repetidores proporciona um menor tempo de acesso ao sistema e aumento da capacidade dos canais para uma qualidade melhor no serviço de comunicação em sistema de radiofrequência. A tecnologia trunking faz com que seja otimizado o processo, pois realiza a gestão de modo organizado dos canais de comunicação no meio de transmissão. Desta forma o sistema trunking adota uma metodologia que administra o espectro de radiofrequência em razão da demanda por canais de comunicação.

A existência de um controle de canais no sistema permite que a alocação do canal funcione em conformidade com a exigência das estações, sem que exista exclusividade. Pode-se analisar a metodologia do sistema radiocomunicação digital trunking de modo a deixa-la próxima da tecnologia que constitui as centrais telefônicas, onde vários ramais são interligados aos troncos com linhas, tanto de entrada quanto de saída, de modo que atenda a necessidade de acesso dos ramais. A correlação do rádio troncalizado dá-se pela utilização dos canais de radiofrequência comutando-as aos troncos que proporciona disponibilidade de acesso para as diversas estações de rádio que fazem parte desse sistema de comunicação. Sistema esse que pode ser analisado na Figura 2, apresenta-se uma exemplificação de central de controle constituída de 5 repetidores. O exemplo traz uma repetidora n.º1 que faz papel de canal de controle que envia um Sinal de Estado Global (SSW) interligando-se as estações portáteis de ambos os grupos, dando como retorno quais as repetidoras que estão disponíveis.

Portanto, o modelo permite uma maior segurança nas comunicações tornando-as sigilosas, justifica-se basicamente pela maneira em que as mensagens são alocadas randomicamente em canais de radiofrequência distintos. Essa complexidade causa a dificuldade em interceptações não autorizadas das mensagens, pois a estação receptora acompanha as mudanças de canais de acordo com o conceito do sistema trunking que se utiliza da otimização de forma eletrônica gerencial. A alocação dinâmica dos canais acontece na comunicação entre as estações de modo aleatório ao canal em utilização, isso acontece através do sinal de controle

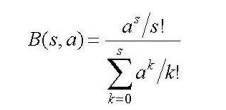
O projeto de implementação do sistema trunking depende do número de estações que interligam a rede de comunicação, condiciona-se a definição de prováveis tráfegos que serão requeridos pelo fluxo paralelamente escoados. Ao se projetar, deve-se definir a intensidade de tráfego em função do volume de tráfego no tempo (Unidade Erlang/ERL). Desta forma, ao dimensionar os canais de radiofrequência tem-se como objetivo a mínima probabilidade de bloqueio no acesso das estações. Conforme (Motorola 2010) os parâmetros da Fórmula de Erlang B (1) podem ser utilizados para esse calculo juntamente com a fórmula abaixo:

 

  •  B(s,a) = Probabilidade utilização total dos troncos ou "perda admissível" ;
  •  s = Quantidade de canais ofertados;
  •  a = Densidade de tráfego. É a relação entre as transmissões que chegam e as que são recebidas em um determinado intervalo de tempo; 
  •  k=tempo de transmissão;

 

Necessita-se enfatizar ainda que o sistema troncalizado em radiocomunicação utilizado em algumas instituições de segurança pública opera canais de radiofrequência mensagens em modo analógico, que de maneira gradativa esta sendo substituído pelo modo digital. Assim a definição da técnica de modulação permite um aproveitamento de recursos de otimização do método trunking de radiocomunicação. Por tanto, acesso múltiplo das estações podem ser, conforme as modalidades abaixo:

  • Acesso Múltiplo por Divisão de Frequências (FDMA);
  • Acesso Múltiplo por Divisão de Tempo (TDMA);
  • Acesso Múltiplo por Divisão de Código (CDMA);

As instituições de segurança pública em sua grande maioria escolhem o padrão pela modalidade, vinculada a metodologia de modulação, pode variar também de acordo com os padrões de equipamentos de rádio digital trunking que são escolhidos de forma restrita para manter padrões de segurança.

Existe uma diversidade de padrões de rádio troncalizado, entretanto os padrões em modo digital se destacam sobre os padrões em modo analógicos por oferecerem recursos não possíveis até então na forma analógica, recursos esses em que podemos destacar a criptografia e a possibilidade de trafegar dados, além de criarem aspectos que previnem interceptações de usuários não autorizados a trafegarem na rede. Assim abordaremos os principais padrões normativos e tecnológicos de radiocomunicação digital utilizados atualmente por instituições de segurança pública brasileiras e internacionais, que adequam-se as exigências das redes de rádio trunking digital na modalidade de atendimentos emergenciais de segurança, esses padrões são comercializados em escala mundial.

3 Os principais padrões de Radiocomunicação Digital Troncalizados

Em vários países segundo a Comissão Federal de Comunicação (FCC), os padrões estão sendo estudados e testado, não havendo um padrão dominante, fechado tecnologicamente que comumente ocoria na rádiocomunicação analógica. Os critérios para escolha dos padrões digitais incluem as características normativas, qualidade técnica com robustez na transmissão e recepção, nivel minimo de interferências e qualidade do sinal, condições de propagação em extensão da área de cobertura, ocupação do espectro e compatibilidade para interroperabilidade de sinais digitais e analógicos. Assim as principais instituições de segurança pública nacionais estão testando e avaliando sistemas de rádiocomunicação digital e iniciaram diversos processos licitatorios para envio das avaliações dos sistemas atualmente existentes.

Os três principais padrões de radiocomunicação digital, APCO-25,TETRA e TETRAPOL, estão sendo desenvolvidos para disponibilizar recursos e serviços que possam contribuir para melhorar o desempenho das atividades dos órgãos de Segurança Pública. As empresas fabricantes que desenvolvem produtos a partir destes padrões, travam uma batalha mercantil para tentar alcançar a hegemonia no mercado mundial, e consequentemente aumentar seus lucros. Nesta batalha cada empresa apresenta apenas as vantagens, procurando ignorar as deficiências de seus produtos. Pretende-se a realização de um analise cujas características principais serão isenção de pré-conceitos, na elaborado a partir de conhecimentos técnicos e científicos, faz-se com que viabilize a apresentação de um panorama esclarecedor que permite uma comparação objetiva e conclusiva entre os que serão padrões analisados.

 

3.1 Padrão PROJETO 25:

O Projeto 25 refere-se à reunião de padrões da Associação da Indústria de Telecomunicações (TIA) para radiocomunicações digitais. Estes padrões estão direcionados em sua grande maioria das instituições de segurança pública, associações da indústria e fabricantes de equipamentos definiram a funcionalidade e as interfaces necessárias para que se tornasse possível à interoperabilidade entre vários fabricantes de equipamentos.

Como maneira de solucionar o problema de congestionamento na faixa de frequência utilizada por estações de radiocomunicação, a Comissão Federal de Comunicações (Federal Communications Commission –FCC), agência reguladora dos Estados Unidos da América, começa a realizar pesquisas na área de padrões troncalizadas que utilizavam 200 canais de radiofrequência nesta faixa do espectro radioelétrico conforme kavanagh (1978). No entanto, a base evolutiva do Projeto 25 foi criada pela Associação de Oficiais de Comunicações em Segurança Pública dos Estados Unidos (Associated PublicSafety Communications Officers – APCO), acordos de cooperação com empresas de telecomunicações, em pesquisas, resultaram em um padrão chamado Projeto 16, projeto esse que contava com estações de rádio-base em modo duplex, onde eram necessárias 5 estações repetidoras e 10 canais de radiofrequência, a faixa compreendida estava entre 806 e 866MHz. Desse modo especificou-se a largura de canal em 12.5kHz com o espaçamento de subida e descida entre canais de 5MHz, a modulação dos canais de voz era analógica, mas pesquisas com canais digitais se tornaram possíveis.

A empresa Motorola Inc. se especializou no padrão APCO 16 que também ficou conhecido como Projeto 16, projetou os primeiros equipamentos que foram comercializados, causando o que digamos uma exclusividade forçada, atribui-se ao padrão o termo “fechado” de rádio troncalizado. Assim pela necessidade de evolução para a era digital, proporcionou ao padrão Projeto 25 (P25), que sua comercialização ultrapassasse as fronteiras dos Estados Unidos desta forma alcançando uma aceitação mundial.

No Brasil, o padrão P25 está presente nas comunicações das principais instituições de segurança pública, dentre elas a Secretaria de Segurança Pública do Estado de São Paulo. A abertura através da publicação do documento BSR/TIA 102.AAC/2001, que traz a documentação técnica do padrão P25, fez com que as instituições de segurança pública de outros países adotassem o padrão. Por sua vez, o canal de controle que possibilita a configuração dos requisitos técnicos para o tráfego de mensagens em uma rede P25, contribui para uma corrida “aberta” na produção de equipamentos por inúmeras empresas que iniciam o fornecimento de soluções em rádio troncalizado P25. A Figura 3 ilustra a diversidade de fornecedores concorrentes da Motorola Inc. única fornecedora destes equipamentos até então:

As especificações técnicas do Projeto 25 trarão base para discussões que serão completadas por explanações de outros padrões, para que as decisões futuras possam ser assertivas.

 

3.1.1 Especificações Técnicas:

As especificações técnicas das interfaces aéreas de outros sistemas foram integradas, por meio de Interfaces Aéreas Comuns (CAI). Por sua vez, a tecnologia de Acesso Múltiplo por Divisão de Frequências (FDMA) em sistemas digitais tem como base o CAI em canais de radiofrequência de 12.5kHz. Em conformidade com o conceito de integração o P25, tem seu funcionamento em modo integrado a redes FDMA, mas, pode também funcionar em canais de radiofrequência de 6.5kHz com modo de Acesso Múltiplo por Divisão de Tempo (TDMA). Embora se espere que uma tecnologia se sobreponha a outra que consideremos ultrapassada o P25 se comporta de modo diferente incorporando sítios de repetição com tecnologias anteriores.

Temos como definições que a faixa de operação P25 se enquadra em um espectro radioelétrico entre 121-124/866-869MHz em canais duplex. Contudo, a evolução para canais com comutação instantânea na faixa de espectro já se encontra em equipamentos sendo operados em 700MHz , a Comissão Federal de Comunicações(FCC), agencia reguladora nos Estados Unidos, onde disponibilizou para os órgãos de segurança pública. Entretanto no Brasil o órgão regulador é a Agência Nacional de Telecomunicações(Anatel), que destina a faixa de 700 (Mhz) para transmissão de canais das emissoras de TV aberta. Somente após a conclusão do processo de digitalização do sistema de transmissão, previsto para 2016, a faixa poderá ter sua destinação alterada para outros serviços. A Figura 4 demonstra um diagrama em blocos do módulo de transmissão P25.

O diagrama demonstra o fluxo de um sinal de voz em modo analógico inicialmente é codificado através do Codec PCM, a resultante passa pelo vocoder que realiza a compressão do sinal de voz a 4.4kbits/s, que se utiliza da técnica Improved Multiband Excitation (IMBE). A empresa Digital Voice System, Inc (DVSI), detem a tecnologia do IMBE que segundo a mesma possibilita uma taxa de compressão de até 7200bps em quadros de 20ms. Neste modelo utiliza-se do recurso de 144 bits por quadro, com 87 para o cabeçalho de informação, 1 bit responsável pelo sincronismo e 56 ficam no controle de codificação de erro. A Figura 5 ilustra a disposição dos bits áudio comprimidos nos quadros P25.

Os bits ao sair do vocoder IMBE, são direcionados ao codificador de canal que acresce de informações de sinalização, correção de erro e totaliza 9.6kbits/s de dados para a transmissão. Para modulação da portadora o esquema Compatible 4-Level Frequency Modulation (C4FM), A modulação C4FM é uma forma particular da modulação por Chaveamento de Fase em Quadratura (CQPSK), na qual ao invés de ser enviado um símbolo correspondente a um parâmetro puro de fase, este símbolo é representado por um desvio de frequência. Neste caso, cada conjunto de bits representado por um símbolo provoca uma variação de frequência determinada no sinal da portadora.

A modulação no P25 é utiliza-se do método CQPSK, onde os símbolos são sucessivamente mudados em fase de 45° no predecessor, mas passa a operar em canais 6.5kHz. Neste processo a modulação acontece em fase e amplitude de portadora simultaneamente, a largura espectro ocupado é reduzida em um sinal modulado CQPSK segundo Torres (2010). A Figura 6 apresenta o diagrama do modulador CQPSK.

Os bits ao sair do vocoder IMBE, são direcionados ao codificador de canal que acresce de informações de sinalização, correção de erro e totaliza 9.6kbits/s de dados para a transmissão. Para modulação da portadora o esquema Compatible 4-Level Frequency Modulation (C4FM), A modulação C4FM é uma forma particular da modulação por Chaveamento de Fase em Quadratura (CQPSK), na qual ao invés de ser enviado um símbolo correspondente a um parâmetro puro de fase, este símbolo é representado por um desvio de frequência. Neste caso, cada conjunto de bits representado por um símbolo provoca uma variação de frequência determinada no sinal da portadora.

A modulação no P25 é utiliza-se do método CQPSK, onde os símbolos são sucessivamente mudados em fase de 45° no predecessor, mas passa a operar em canais 6.5kHz. Neste processo a modulação acontece em fase e amplitude de portadora simultaneamente, a largura espectro ocupado é reduzida em um sinal modulado CQPSK segundo Torres (2010). A Figura 6 apresenta o diagrama do modulador CQPSK.

O padrão P25 possui compatibilidade com versões anteriores e com outros sistemas Professional Mobile Radio (PMR), graças às técnicas de migração que acontecem a partir da divisão dos canais de radiofrequência. Os canais analógicos de 25kHz podem ser divididos em dois canais digitais de 12.5 kHz. Para tanto, realiza-se uma reconfiguração dos centros que são compensados para 6.25kHz em canais digitais.

A migração a partir do método de centralização, um canal digital de 12.5 kHz é inserido no centro do canal analógico de 25 kHz.

Importante padrão de rádio digital troncalizado foi desenvolvido para o segmento de segurança pública com a colaboração dos usuários. No entanto também possui suas restrições de mercado que deram início com um longo período de exclusividade da empresa Motorola Inc, que produz microprocessador vocoder da DVSI. O P25 evolui e o período de exclusividade terminou causando a abertura para inúmeros fabricantes de interfaces que agora estão focados em produzirem em plataformas IP.

A tecnologia tem como ponto forte o fato de sua pesquisa de desenvolvimento ser direcionada a possibilitar um padrão aberto de rádio digital troncalizado denominado Terrestrial Trunked Radio (Tetra) segundo Torres (2010). Para tanto, o padrão transformouse em uma tecnologia de Public Access Mobile Radio (PAMR) global, englobando inovações tecnológicas de transmissão.

O padrão Tetra foi disponibilizado para domínio publico pela European Telecommunication Standards Institute (ETSI). Desse modo, a associação fundada a partir do Tetra Memorandum of Understanding (Tetra MoU) ampliou a comercialização do padrão em âmbito mundial. Na Europa, inúmeras empresas começaram a fabricar e comercializar o padrão Tetra para diferentes mercados PMR, desde o segmento militar até aplicações civis convencionais.

Protocolo TETRA foi pensado para usos em agencias governamentais, segurança pública (polícias, bombeiros e ambulâncias), serviços de emergência, etc. Essas organizações têm alguns requerimentos especiais que os diferenciam de usuários comuns de rádios:

3.2 Padrão TETRA:

  • As comunicações tem que ser seguras, sem possibilidades de escutas não autorizadas;
  • Comunicações importantes tem que ser completadas (por exemplo, em casos de emergências);
  •  Grupos de comunicações devem poder ser criados para possibilitar comunicações  entre diferente organizações em eventos especiais ou emergências;
  • O protocolo tem que ser aberto suficiente para incorporar novos usos e aplicações.

Essas necessidades levaram ao desenho do protocolo de rádio troncalizado digital TETRA, que contempla mecanismos para assegurar que todas essas funções e necessidades sejam cumpridas. Portanto, o protocolo TETRA é um protocolo seguro, com vários mecanismos de segurança e criptografia, feito para funcionar em situações exigentes de emergências, e com uma lista abrangente de funções que, hoje em dia, são usadas por profissionais usuários de rádios em vários mercados diferentes.

 

O Padrão Tetra foi desenvolvido para funcionamento compartilhado nas faixas de radiofrequência destinadas aos sistemas PMR convencionais existentes VHF e UHF, e também com a telefonia móvel. Essas informações possuem descrição e registro detalhado em especificações na ETSI (2005).

Nesse sentido, nos canais existentes, com espaçamentos de 25kHz, são alocadas as portadoras do Tetra, de modo que possam coexistir os sistemas PMR convencionais legados e telefonia móvel. Contudo, o acesso aos canais é feito por meio de janelas de tempo definidas, isto é, segundo a tecnologia TDMA. A rede Tetra possui ainda interconexão entre redes por meio de interface IP, com sítios de repetição, estações de despacho, bancos de dados, e outros elementos da rede que podem ser observados no diagrama geral da rede na Figura 7.

3.2.1 Especificações Técnicas:

Em linhas gerais, as especificações do padrão foram definidas de maneira que o padrão possa coexistir com outras redes. Essas informações generalizadas podem ser avaliadas na Tabela I, onde estão descritos o espaçamento de canal, tecnologia de modulação, taxa de transmissão da portadora e outras características técnicas:

Em linhas gerais, as especificações do padrão foram definidas de maneira que o padrão possa coexistir com outras redes. Essas informações generalizadas podem ser avaliadas na Tabela I, onde estão descritos o espaçamento de canal, tecnologia de modulação, taxa de transmissão da portadora e outras características técnicas:

Os canais de radiofrequência do Tetra são separados por um espaçamento de 25kHz, com acesso TDMA. As janelas de tempo possuem um período de 14,167ms para transmissão da informação com taxa de modulação de 36kbit/s. Para tanto, é adotado o esquema de modulação π/4 Shifted Differential Quaternary Phase Shit Keying (π/4 - DQPSK). São modulados 255 bits em sub-quadros com duração de aproximadamente 7,08ms. Dois sub-quadros compõe um quadro TDMA/Tetra com duração de 14,167ms, os quais são agrupados em 18 quadros para formar um multi-quadro de 1,02s. Por fim, é formatado um hiper-quadro de 61,2s com a sequência de 60 multi-quadros. A modulação dos 255 bits ocorre em função de sua fase e estado lógico. Essa técnica segue a fundamentação definida na Fórmula (2) a seguir:

 

Para a mudança de fase e estado lógico dos símbolos é adotada a Tabela II a seguir:

Os canais de radiofrequência do Tetra são separados por um espaçamento de 25kHz, com acesso TDMA. As janelas de tempo possuem um período de 14,167ms para transmissão da informação com taxa de modulação de 36kbit/s. Para tanto, é adotado o esquema de modulação π/4 Shifted Differential Quaternary Phase Shit Keying (π/4 - DQPSK). São modulados 255 bits em sub-quadros com duração de aproximadamente 7,08ms. Dois sub-quadros compõe um quadro TDMA/Tetra com duração de 14,167ms, os quais são agrupados em 18 quadros para formar um multi-quadro de 1,02s. Por fim, é formatado um hiper-quadro de 61,2s com a sequência de 60 multi-quadros. A modulação dos 255 bits ocorre em função de sua fase e estado lógico. Essa técnica segue a fundamentação definida na Fórmula (2) a seguir:

 

Quanto à modulação dos sinais, os símbolos são selecionados em função da Fórmula (3):

Os pacotes de dados são formatados para o tráfego na interface aérea de modo que sejam facilmente integrados ao protocolo IP em seu destino. Neste caso, existe compatibilidade da rede Tetra com o esquema de camadas proposto pela International Standards Organization (ISO) na arquitetura do modelo referência de protocolos Open Systems Interconnection (OSI). Para tanto, na camada de rede Tetra existe o Subnetwork Dependent Convergence Protocol (SNDCP) responsável pelo controle e negociação do fluxo dos pacotes de dados entre os terminais Tetra com a infra-estrutura de roteamento e gerenciamento (SwMI - Switching and Management Infrastructure). A Figura 8 ilustra essa integração:

Para a mudança de fase e estado lógico dos símbolos é adotada a Tabela II a seguir:

TE – Estação Terminal

MT – Terminal Móvel

MS – Estação Móvel

SwMI- Infra-estrutura de gerenciamento

AAA – Servidor IP

RADIUS – Protocolo de Autenticação

Neste processo a estação terminal se comunica com a estação móvel por meio de um protocolo Ponto-a-ponto (PPP) e estabelece um enlace de comunicação de configuração preliminar através do Protocolo de Controle de Link (LCP). Em seguida, é estabelecida a conexão e se inicia o processo de autenticação por meio do Challenge Handshake Authentication Protocol (CHAP).

Contudo, a autenticação da estação terminal é validada apenas quando a estação móvel Tetra acessa a rede. Isso ocorre após o acesso ao servidor de autenticação através da infra-estrutura de rede. O acesso à rede de dados ocorre por meio de uma negociação de transferência entre o Protocolo de Dados de Pacote (PDP) e o formato IP. Para tanto, o Protocolo de Configuração IP (IPCP) gerencia esse processo definindo os endereços apropriados na rede.

Nesse sentido, verifica-se que o padrão Tetra possui grande facilidade de integração com outras redes a partir da plataforma IP. A autenticação das estações e sua comunicação na rede segundo o protocolo IP deixa o padrão Tetra em destaque como solução em radiocomunicações digitais.

 

O padrão Tetrapol de rádio digital troncalizado surgiu na França, no final da década de 90, a partir da parceria formada pela guarda nacional francesa Gendarmerie e a empresa Matra Comunicações. No início do projeto foram criadas redes de radiocomunicações digitais envolvendo diferentes órgãos de segurança franceses, pouco depois, foi criada a rede nacional de comunicações para segurança pública denominada ACROPOL.

A Espanha iniciou as implementações, com o projeto NEXUS de comunicações para segurança pública, dentre os projetos a implementação do México em 1995 inicia a utilização do padrão em sua capital nacional. Outros países também implantaram o Tetrapol nas redes de segurança pública, como a Romênia, Eslováquia e recentemente o Brasil, com o sistema recém-adquirido pela Polícia Federal.

Desde a sua criação, o padrão Tetrapol não foi adotado exclusivamente em redes governamentais, pelo contrário, empresas privadas também investiram na aquisição dessas redes digitais de radiocomunicações. Em função disso, diferentes empresas de telecomunicações se reuniram e fundaram um fórum de discussões para o desenvolvimento do padrão em âmbito global. Com essa iniciativa, as especificações técnicas foram compartilhadas e o detalhamento da tecnologia permitiu a divulgação desse formato de rádio digital para a fabricação em larga escala industrial.

Esse fórum de discussões técnicas está disponível no endereço eletrônico www.tetrapol.org, onde são disponibilizadas as Especificações de Avaliação Pública (PAS) do padrão Tetrapol. Essas especificações foram escritas segundo as normas do Instituto de Padronização de Telecomunicações Europeu (ETSI). Logo, as especificações descritas nas PAS foram selecionadas pelas empresas que integram o fórum Tetrapol para divulgação parcial, não sendo publicadas na íntegra todas as informações técnicas desse formato de rádio digital.

3.3 Padrão TETRAPOL:

Neste ponto existe uma polêmica industrial, pois as empresas que integram o fórum Tetrapol afirmam que as especificações técnicas descritas nas PAS são suficientes para a fabricação de equipamentos neste padrão, mas as empresas concorrentes afirmam o contrário. Isso significa dizer que para algumas empresas o padrão Tetrapol deve ser considerado como uma tecnologia restrita ou de “padrão fechado”. Para essas empresas, o Padrão Tetrapol deveria publicar suas especificações de maneira ampla e detalhada, como ocorrem com os formatos Projeto 25 e Tetra. Por exemplo, o padrão europeu Tetra possui toda a sua documentação técnica publicada no órgão de padronização daquele continente.

Esse é o caso da ETSI EN 300 392-2 “Terrestrial Trunked Radio (TETRA) – Voice plus Data (V+D) - Part 2: Air Interface (AI)”, que diferentemente do Tetrapol, compõe uma documentação técnica de domínio público que detalha sua interface aérea. Contudo, segundo o entendimento das empresas que integram o fórum Tetrapol, esse padrão seria totalmente aberto, pois as PAS possuiriam informações técnicas detalhadas e suficientes para compreensão plena do funcionamento dessa tecnologia.

Polêmica a parte, fato é que o padrão Tetrapol está presente no mercado global e apresenta-se como uma das opções de rádio digital troncalizado para segurança pública. Segundo o fórum Tetrapol (2011) estão em operações 90 redes de radiocomunicações, instaladas em 35 países, com uma cobertura de 1.700.000 Km2, 850.000 usuários, e investimentos previstos na ordem de 5 bilhões de Euros.

Em meados do ano 2000 surgiu a empresa European Aeronautic Defence and Space Company (EADS), tendo sua gênese raízes na antiga Matra Comunicações. Atualmente, a empresa EADS lidera mundialmente a fabricação e o fornecimento de soluções Tetrapol em rádio digital. Suas atividades também podem ser acompanhadas pelo fórum de fabricantes Tetrapol ou na página oficial da empresa no endereço eletrônico www.eads.com.

 

O padrão Tetrapol adota tecnologia de Acesso Múltiplo por Divisão de Frequências (FDMA) e técnica de Modulação por Chaveamento Mínimo Gaussiano (GMSK), que pode ser feito na faixa de frequências compreendidas entre 70Mhz a 520MHz segundo PAS (2008). Na Europa, o Tetrapol está presente na faixa de 380MHz a 400MHz, em canais dedicados à segurança pública. Para tanto, recomenda-se a faixa de UHF (Ultra High Frequency) com a canalização de 10KHz ou 12.5KHz e espaçamento de 5MHz na modalidade Duplex.

A estação base (BS) pode ser composta por até 24 repetidores controlados por um canal específico (CCH). Este canal emite um sinal piloto de sincronismo (PCH – Paging Channel) para controle de tráfego e acesso (FDMA) nos canais da BS. O PCH está presente nos quadros (frames) denominados “DATA”, os quais pertencem a sequência 98, 99, 198 e 199 dos quadros de dados emitidos pelo CCH.

O canal de controle de uma estação base Tetrapol emite ainda os sinais de difusão para todos os terminais (ET) por meio do quadro Broadcasting CHannel (BCH), assim como o Canal de Resposta de Acesso Aleatório (RCH – Random access answer CHannel).

Em ambos os casos segundo Torres (2006), a sinalização é de descida (downlink), de maneira uni-direcional. Esses sinais integram um superquadro que possui também uma sinalização de subida (up-link) uni-direcional no CCH, tanto para alocação dinâmica dos repetidores (DACH – Dynamic Random Access CHannel) como para o canal de acesso aleatório (RACH – Random Acess CHannel). A sinalização e controle de um terminal Tetrapol podem ser avaliados na Figura 9 abaixo:

Os pacotes de dados são formatados para o tráfego na interface aérea de modo que sejam facilmente integrados ao protocolo IP em seu destino. Neste caso, existe compatibilidade da rede Tetra com o esquema de camadas proposto pela International Standards Organization (ISO) na arquitetura do modelo referência de protocolos Open Systems Interconnection (OSI). Para tanto, na camada de rede Tetra existe o Subnetwork Dependent Convergence Protocol (SNDCP) responsável pelo controle e negociação do fluxo dos pacotes de dados entre os terminais Tetra com a infra-estrutura de roteamento e gerenciamento (SwMI - Switching and Management Infrastructure). A Figura 8 ilustra essa integração:

3.3.1 Especificações Técnicas:

O superquadro de sinalização possui 200 quadros com 160bits que são transmitidos em intervalos de 20ms. Ao todo, no período de 4s, são enviados e recebidos os bits correspondentes ao PCH, RCH, DACH e outros dados de controle e sinalização no CCH, nas frequências de subida ou descida correspondentes. A comunicação entre a BS e o ET não ocorre apenas em modo uni-direcional nos canais lógicos de controle específicos, pois existe também o canal de comunicação permanente de dados e sinalização bidirecional Signalling and Data CHannel (SDCH). O SDCH viabiliza a sinalização necessária para as comunicações ponto-a-ponto e ponto-multiponto na rede Tetrapol.

Por sua vez, o controle de tráfego é obtido a partir de quadros enviados e recebidos em canais lógicos bem definidos. O Signalling channel for transmitter interruption (SCH/TI) é enviado de maneira uni-direcional no superquadro de descida e indica o momento correto para a transmissão do ET. O Signalling CHannel (SCH) também integra o superquadro de 160bits e possui função semelhante. Esta sinalização controla o tráfego dos Voice Channel or Data Channel (VCH/DCH) na interface aérea do Tetrapol. A Figura 10 abaixo descreve resumidamente este fluxo de sinalização entre a ET e BS por meio do CCH:

Os quadros que integram os canais lógicos de áudio ou dados são embaralhados no processo de preparação para seu envio na interface aérea. Dessa maneira, o Tetrapol inicia o procedimento de proteção para segurança e sigilo das mensagens que trafegam na rede.

Os bits que compõe a mensagem original são alocados em blocos de 20bits e recebem bits redundantes de proteção para codificação e embaralhamento criptográfico na rede. Este processo pode ser visualizado na Figura 11.

A Figura 11 acima descreve passo a passo o processo de formação dos quadros de áudio que trafegam na rede Tetrapol. O codificador entrega blocos de 20bits de áudio, separados por 2bits de proteção no primeiro bloco. O primeiro bloco de 20bits + 2bits de proteção são responsáveis pelo início da sequência de codificação.

A codificação e decodificação (CODEC) do Tetrapol são baseados em algoritmos Regular Pulse Code Excited Linear Prediction (RPCELP) que são implementados a partir de amostras de 20ms, perfazendo um grupo de 160 quadros que são convertidos em blocos 120bits. No receptor, os 120bits decodificados são recuperados e transformados em 13bits no formato de Modulação por Código de Pulso (PCM) para reprodução do áudio. As Fórmulas (4) e (5) a seguir representam as definições matemáticas para a geração dos blocos de bits no CODEC RPCELP do formato Tetrapol:

Os elementos assim estão descritos:

ELPT – Palavra Codificada (Long Term Predictor)

bo – Ganho de cada palavra codifica

H – Matriz Convolucional Toeplitz triangular baixa (diagonais da matriz).

d - Amostras

t – Tempo de amostragem

To – Tempo de atraso (Delay)

d‟ – Sinal residual.

d' To – Quantidade de tempo residual perdido

Para o processo de embaralhamento (scrambling) dos bits é utilizada a sequência lógica obtida a partir da Fórmula (6) abaixo:

s(k) = ( s(k-1) + s(k-7) ) para k > 6 ( 6 )

Onde:

S = Sinal de saída

K = Amostra

Na formatação dos quadros de dados é utilizado um procedimento semelhante e pode ser avaliado na Figura 12 a seguir:

As Taxas de Erro de bit (BER) são toleradas tanto para os quadros de áudio quanto para os quadros de dados. O valor máximo de BER está em torno de 0.1% para condições de interferência de até –20dBm. A Tabela III a seguir apresenta os valores toleráveis para as Taxas de Erro de Quadros (FER) e BER para até –85dBm de interferência e boas condições de propagação, tanto para os canais lógicos de áudio (VCH) quanto de dados (DCH):

 

Para a perfeita operação da rede, a sensibilidade de recepção da Estação Base deve ser de–113dBm , e –111dBm para os terminais. É tolerada ainda uma interferência entre os canais de até –45dB para canais de 12.5KHz. As Estações Base Tetrapol podem ser conectadas ainda à rede pública de telefonia fixa (PSTN), móvel, ou mesmo a uma rede IP. Assim, o diagrama geral de uma da rede Tetrapol pode ser avaliado na Figura 13.

O superquadro de sinalização possui 200 quadros com 160bits que são transmitidos em intervalos de 20ms. Ao todo, no período de 4s, são enviados e recebidos os bits correspondentes ao PCH, RCH, DACH e outros dados de controle e sinalização no CCH, nas frequências de subida ou descida correspondentes. A comunicação entre a BS e o ET não ocorre apenas em modo uni-direcional nos canais lógicos de controle específicos, pois existe também o canal de comunicação permanente de dados e sinalização bidirecional Signalling and Data CHannel (SDCH). O SDCH viabiliza a sinalização necessária para as comunicações ponto-a-ponto e ponto-multiponto na rede Tetrapol.

Por sua vez, o controle de tráfego é obtido a partir de quadros enviados e recebidos em canais lógicos bem definidos. O Signalling channel for transmitter interruption (SCH/TI) é enviado de maneira uni-direcional no superquadro de descida e indica o momento correto para a transmissão do ET. O Signalling CHannel (SCH) também integra o superquadro de 160bits e possui função semelhante. Esta sinalização controla o tráfego dos Voice Channel or Data Channel (VCH/DCH) na interface aérea do Tetrapol. A Figura 10 abaixo descreve resumidamente este fluxo de sinalização entre a ET e BS por meio do CCH:

Neste diagrama verifica-se a interoperabilidade da rede Tetrapol a partir das interfaces IP disponíveis para cada bloco da rede. Diante dessa realidade, verifica-se ainda que para integração de uma rede Tetrapol deve-se adotar mecanismos que possam compartilhar canais lógicos na plataforma IP entre os blocos das redes. Conforme descrito anteriormente, a interface aérea do Tetrapol possui criptografia fim-a-fim, não se admitindo conexões na rede senão em seu formato original. Este posicionamento técnico pode ser avaliado na Figura 14.

Os quadros que integram os canais lógicos de áudio ou dados são embaralhados no processo de preparação para seu envio na interface aérea. Dessa maneira, o Tetrapol inicia o procedimento de proteção para segurança e sigilo das mensagens que trafegam na rede.

Os bits que compõe a mensagem original são alocados em blocos de 20bits e recebem bits redundantes de proteção para codificação e embaralhamento criptográfico na rede. Este processo pode ser visualizado na Figura 11.

No processo descrito na Figura anterior, a interface aérea é criptografada e possui chaves de autenticação para os terminais móveis. Essas chaves lógicas estão armazenadas em cartões SIM (Subscriber Identity Module) nos terminais, com tecnologia semelhante à telefonia móvel. Cada terminal também possui um código numérico pessoal (PIN) de identificação, que é requisitado pelo canal de controle durante a habilitação do terminal na rede Tetrapol. Desse modo, as comunicações que fluem do terminal móvel, passando pela interface aérea, estação base, até o terminal de destino são criptografas.

Na rede Tetrapol a formatação dos quadros possibilita o fluxo dos dados em canais lógicos de maneira criptogrados, desde o seu envio pelo terminal móvel, até chegar ao repetidor, fluir pela rede IP, até chegar ao seu destino. Para interconexões das redes deve-se utilizar um conversor de canal. Este equipamento permite a interoperabilidade de um terminal que opera em outro padrão com o formato Tetrapol.

Em alguns segmentos, como aplicações militares e segurança pública, a criptografia fim-a-fim apresenta-se como um diferencial razoável nas redes de rádio digital. Tal característica permite maior sigilo nas comunicações, evitando interceptações indesejáveis. Contudo, essa característica também restringe o acesso dos fabricantes ao padrão de rádio digital, uma vez que essas soluções tecnológicas exigem investimentos em todos os blocos da rede, de maneira uniformizada.

Conforme observado ao longo deste trabalho, os padrões de rádio digital troncalizado Tetrapol, Tetra e P25 apresentam diferenças técnicas relevantes. A Tabela IV apresenta as características técnicas de cada padrão, bem como suas divergências:

A Figura 11 acima descreve passo a passo o processo de formação dos quadros de áudio que trafegam na rede Tetrapol. O codificador entrega blocos de 20bits de áudio, separados por 2bits de proteção no primeiro bloco. O primeiro bloco de 20bits + 2bits de proteção são responsáveis pelo início da sequência de codificação.

A codificação e decodificação (CODEC) do Tetrapol são baseados em algoritmos Regular Pulse Code Excited Linear Prediction (RPCELP) que são implementados a partir de amostras de 20ms, perfazendo um grupo de 160 quadros que são convertidos em blocos 120bits. No receptor, os 120bits decodificados são recuperados e transformados em 13bits no formato de Modulação por Código de Pulso (PCM) para reprodução do áudio. As Fórmulas (4) e (5) a seguir representam as definições matemáticas para a geração dos blocos de bits no CODEC RPCELP do formato Tetrapol:

3.4 Comparativo dos Padrões:

Essas são informações relevantes, pois o conhecimento das especificações técnicas de cada padrão apresenta-se de modo estratégico para compressão e análise das possibilidades de integração entre os padrões e demais redes de comunicações. A seguir passaremos a analisar as principais características capazes de influenciar no desempenho de uma rede de radiocomunicação digital.

O item ‘banda de frequência’ de operação de cada padrão de radiocomunicação, sendo que neste quesito o TETRA possui pior desempenho, tendo em vista que sua frequência mais baixa de operação é de 380 Mhz, enquanto que no APCO-25 chega a 130 Mhz e no TETRAPOL até mesmo a 70 Mhz. Quanto menor a frequência de operação, maior será a área de cobertura de cada sítio, ou seja, serão necessário menor investimento em infraestrutura, isto se o custo de cada site fosse similar para cada padrão, no entanto o custo de cada site varia de acordo com o projeto e padrão da rede.

Existe um custo mínimo necessário para ativação de um Site, tendo em vista ser necessário prever a compra ou locação de um terreno, a construção de uma torre, construção de um abrigo para guardar os equipamentos, compra de geradores e banco de baterias, gastos para manutenção das instalações e pagamento da conta de energia elétrica. Todos estes custos são independentes do equipamento que será instalado no local. Quanto maior a quantidade de sites, maior serão os custos, porque nem todos os locais considerados tecnicamente ideais para instalação do Site, poderão receber esta infraestrutura.

Os sites são ativados onde é possível e não onde deveriam ser instalados, tornando-se necessário ativar mais sites do que o previsto no projeto original.

Os elementos assim estão descritos:

ELPT – Palavra Codificada (Long Term Predictor)

bo – Ganho de cada palavra codifica

H – Matriz Convolucional Toeplitz triangular baixa (diagonais da matriz).

d - Amostras

t – Tempo de amostragem

To – Tempo de atraso (Delay)

d‟ – Sinal residual.

d' To – Quantidade de tempo residual perdido

Para o processo de embaralhamento (scrambling) dos bits é utilizada a sequência lógica obtida a partir da Fórmula (6) abaixo:

s(k) = ( s(k-1) + s(k-7) ) para k > 6 ( 6 )

Onde:

S = Sinal de saída

K = Amostra

Na formatação dos quadros de dados é utilizado um procedimento semelhante e pode ser avaliado na Figura 12 a seguir:

Legenda:

A = Proporção de estações base em área rural (Km);
B = Proporção de estações base em área urbana (Km);
C = Máximo path loss em área rural (margem 7 db);
D = Máximo path loss em área urbana (margem 20 db);
E = Tamanho das células em área rural (Km);
F = Tamanho das células em área urbana (Km).

O gráfico 2 apresenta com maior nível de detalhamento os dados referentes ao número de estações bases, necessárias em cada rede, bem como, a comparação do tamanho das células de cada padrão.

O custo dos terminais considera-se aspecto importante em um projeto de rede onde se deve prever que pelo menos 50% do seu investimento deverá ser destinado à aquisição de terminais (fixos, móveis, portáteis e acessórios).

As Taxas de Erro de bit (BER) são toleradas tanto para os quadros de áudio quanto para os quadros de dados. O valor máximo de BER está em torno de 0.1% para condições de interferência de até –20dBm. A Tabela III a seguir apresenta os valores toleráveis para as Taxas de Erro de Quadros (FER) e BER para até –85dBm de interferência e boas condições de propagação, tanto para os canais lógicos de áudio (VCH) quanto de dados (DCH):

 

O gráfico 3 apresenta uma análise comparativa entre custos de infraestrutura, terminais e uma análise dos custos total da rede. Neste gráfico podemos verificar que o padrão TETRAPOL apresenta menor custo médio, que foi obtido a partir da soma dos custos de infraestrutura e dos terminais. Para estabelecer uma comparação entre os custos da infraestrutura e dos terminais, atribuiu-se 100% ao padrão com maior custo, sendo que os outros dois padrões foram valorados em termos proporcionais, a partir da análise da quantidade de sites que seriam necessários para estabelecer a rede.

Para definir o custo total da rede foram somados os custos com infraestrutura e com terminais e divididos por dois, de forma a obtermos a média de gastos, tendo em vista que atribuímos um peso de 50% para infraestrutura e 50% para terminais.

As informações apresentadas permitem realizar um comparativo concreto dos padrões de radiocomunicação digital, de forma a viabilizar uma analise a respeito do desempenho de cada padrão. O

modo ideal para realizar esta comparação seria implantar os três padrões na mesma área geográfica, em condições similares de operação, para somente a partir da análise deste desempenho, definir qual padrão atende as necessidades dos órgãos de Segurança Pública.

Entretanto diante da impossibilidade de efetuar-se este tipo de teste de campo, realizamos uma pesquisa científica, de forma a obter-se os dados para estabelecer um quadro comparativo e desta forma viabilizar uma análise empírica, que apresentou resultados consistentes a partir do uso de técnicas específicas.

A escolha de um padrão de radiocomunicação digital deve levar em conta não as características técnicas disponibilizadas, mas sim quais são as características que possuem importância para o usuário da rede, bem como, a relação custo benefício do sistema, e principalmente as condições financeiras não somente para adquirir o sistema, mas principalmente, qual a previsão do custo de manutenção deste sistema, avaliar qual o ciclo de vida estimado para terminais e infra-estrutura.

Para a perfeita operação da rede, a sensibilidade de recepção da Estação Base deve ser de–113dBm , e –111dBm para os terminais. É tolerada ainda uma interferência entre os canais de até –45dB para canais de 12.5KHz. As Estações Base Tetrapol podem ser conectadas ainda à rede pública de telefonia fixa (PSTN), móvel, ou mesmo a uma rede IP. Assim, o diagrama geral de uma da rede Tetrapol pode ser avaliado na Figura 13.

Neste diagrama verifica-se a interoperabilidade da rede Tetrapol a partir das interfaces IP disponíveis para cada bloco da rede. Diante dessa realidade, verifica-se ainda que para integração de uma rede Tetrapol deve-se adotar mecanismos que possam compartilhar canais lógicos na plataforma IP entre os blocos das redes. Conforme descrito anteriormente, a interface aérea do Tetrapol possui criptografia fim-a-fim, não se admitindo conexões na rede senão em seu formato original. Este posicionamento técnico pode ser avaliado na Figura 14.

Legenda:

A = Proporção de estações base em área rural (Km);
B = Proporção de estações base em área urbana (Km);
C = Máximo path loss em área rural (margem 7 db);
D = Máximo path loss em área urbana (margem 20 db);
E = Tamanho das células em área rural (Km);
F = Tamanho das células em área urbana (Km).

O gráfico 2 apresenta com maior nível de detalhamento os dados referentes ao número de estações bases, necessárias em cada rede, bem como, a comparação do tamanho das células de cada padrão.

O custo dos terminais considera-se aspecto importante em um projeto de rede onde se deve prever que pelo menos 50% do seu investimento deverá ser destinado à aquisição de terminais (fixos, móveis, portáteis e acessórios).

O gráfico 3 apresenta uma análise comparativa entre custos de infraestrutura, terminais e uma análise dos custos total da rede. Neste gráfico podemos verificar que o padrão TETRAPOL apresenta menor custo médio, que foi obtido a partir da soma dos custos de infraestrutura e dos terminais. Para estabelecer uma comparação entre os custos da infraestrutura e dos terminais, atribuiu-se 100% ao padrão com maior custo, sendo que os outros dois padrões foram valorados em termos proporcionais, a partir da análise da quantidade de sites que seriam necessários para estabelecer a rede.

Para definir o custo total da rede foram somados os custos com infraestrutura e com terminais e divididos por dois, de forma a obtermos a média de gastos, tendo em vista que atribuímos um peso de 50% para infraestrutura e 50% para terminais.

As informações apresentadas permitem realizar um comparativo concreto dos padrões de radiocomunicação digital, de forma a viabilizar uma analise a respeito do desempenho de cada padrão. O

modo ideal para realizar esta comparação seria implantar os três padrões na mesma área geográfica, em condições similares de operação, para somente a partir da análise deste desempenho, definir qual padrão atende as necessidades dos órgãos de Segurança Pública.

Entretanto diante da impossibilidade de efetuar-se este tipo de teste de campo, realizamos uma pesquisa científica, de forma a obter-se os dados para estabelecer um quadro comparativo e desta forma viabilizar uma análise empírica, que apresentou resultados consistentes a partir do uso de técnicas específicas.

A escolha de um padrão de radiocomunicação digital deve levar em conta não as características técnicas disponibilizadas, mas sim quais são as características que possuem importância para o usuário da rede, bem como, a relação custo benefício do sistema, e principalmente as condições financeiras não somente para adquirir o sistema, mas principalmente, qual a previsão do custo de manutenção deste sistema, avaliar qual o ciclo de vida estimado para terminais e infra-estrutura.

4 Parâmetros de Implementação de Um Sistema Radiocomunicação Digital

O projeto da rede de radiocomunicação digitalizada se inicia a partir da definição dos parâmetros básicos de demanda exigida para as comunicações. Nesse aspecto, inicialmente, devem ser considerados o perímetro de segurança a ser atendido e o número de estações envolvidas no policiamento ostensivo.

De acordo com esses parâmetros, será possível determinar o tráfego e a área de cobertura desejada para a rede. Após a definição destas características, serão estabelecidos os pontos de repetição e dimensionados os sítios com as estações base. De acordo com o fluxo de pessoas é possível determinar o número de policiais necessários para o que conhecemos como cerco de segurança. Para tanto, o critério adotado é definido pela Organização das Nações Unidas (ONU) que estabelece 1 policial para 250 habitantes. Os policiais costumeiramente atendem ocorrências rotineiras, tal como combate ao tráfego de drogas e controle de trânsito.

De acordo com estas informações é possível definir o número mínimo de 3.500 policiais por turno durante o policiamento padrão de uma capital metropolitana brasileira, bem como o número de veículos envolvidos. Assim, podem ser necessárias cerca de 3.500 estações móveisportáteis (policiais a pé) e 2.000 estações móveis-veiculares para atendimento desta demanda.

Estimados os números de estações necessárias para estabelecer a demanda por tráfego na rede que deve seguir dados estatísticos de cada região. De acordo com Shao (2008) e Ketterling (2009), o tráfego de voz de órgãos de segurança pode alcançar até 50 Erl por usuário, adotando a seguinte característica. Em estudos recentes pode-se determinar que a media de chamadas de radio de policiais e bombeiros tem a duração típica de 90 segundos, enquanto a polícia jurídica usando principalmente telefones móveis em redes públicas, com uma duração típica chamada de 150 segundos.

Estabelecidos os parâmetros quantitativos estações e tráfego, é possível avançar na análise da rede, estudando o perímetro de segurança para cobertura, os pontos de repetição e dimensionamento dos sítios com as estações base.

4.1 Dimensionamento:

Nesta etapa do projeto são dimensionados os sítios de repetição com as estações base da rede. Para tanto, será analisado o pior caso, isto é, o ponto onde existirá a maior demanda por tráfego na rede. Estima-se que em uma capital metropolitana brasileira onde o fluxo pode chegar à cerca 200.000 pessoas concentradas em áreas centrais, e seguindo as recomendações da ONU para o público temporário e residente, o policiamento nestes locais definisse a utilização de aproximadamente 1.200 policiais. Além disso, esses policiais, geralmente, podem atuar em grupos de 2 a 6 indivíduos. Portanto, podem ser necessárias entre 600 e 1.000 estações móveis-portáteis e móveisveiculares (Agência de Segurança Pública de São Paulo, 2009).

A cobertura da rede no ponto mais crítico deve ser definida, conforme parâmetros do padrão a ser escolhido. Para tanto, são considerados os seguintes parâmetros para cálculo:

 

Conforme considerações de Ketterling (2004) e Stavroulakis (2007) recomendam, para Segurança Pública, um estudo de tráfego baseado na distribuição de Poisson seguindo o modelo de Erlang “C”. Neste cálculo é prevista uma fila de espera, não há bloqueio, uma vez que todas as chamadas dos agentes de segurança devem ser completadas. A fórmula de Erlang “C” pode ser avaliada a seguir:

Onde:
P = Probabilidade de Espera
N = Número de Canais
A= Tráfego (Erl)

Admite-se Grau de Serviço (GoS) de 5% para satisfazer a demanda por tráfego de uma rede de Segurança Pública conforme Stavroulakis (2007). Para tanto, utilizando os parâmetros da Tabela V e a fórmula de Erlang “C” verifica-se que são necessários 64 canais de rádio para atender a demanda da rede. Neste caso faremos o uso do padrão TETRA, que tem como definição a fácil implementação, por seus parâmetros serem de domínio público. Assim cada canal de rádio suporta 4 estações em modo de voz e, portanto, são necessários, pelo menos, 16 portadoras para escoar o tráfego desejado na célula.

Além disso, de acordo com a Resolução 435/2006 da Anatel, não há previsão de setorização inferior a 60°, uma vez que a rede não exige coordenação rigorosa das frequências na faixa de 380 MHz, exclusiva para Segurança Pública.

 

4.2 Área de Cobertura:

A área de cobertura da rede deve contemplar os pontos críticos de segurança no perímetro estabelecido e segmentos de fronteira/transição do território com a topologia sugerida no item anterior. Em função disso, devem ser identificados os pontos críticos de segurança na área a ser realizada a cobertura. Este perímetro pode possuir a altimetria variando de acordo com o nível do mar, a topografia também é bastante variada, alternado de alta densidade de edificações no hipercentro e as zonas de vale com vegetação.

A topologia da rede proposta adota a formatação sugerida por Rappaport (1996) com cluster hexagonal de 7 células e reuso de frequências. Ressalta-se ainda o Relatório M.2014 da União Internacional de Telecomunicações, que recomenda área de até 3,8 km2 para cada célula em um relevo com baixa declividade e pouca obstrução (ITU, 1998). Entretanto em grandes capitais brasileiras com demografia concentrada, este tamanho pode ser ainda menor, uma vez que as características do terreno não favorecem a propagação na faixa de 380 MHz – Faixa licenciada pela Anatel. Portanto, se faz necessário um estudo de predição cauteloso para garantir a cobertura da área desejada com o menor custo possível.

Para análise da cobertura e definição da localização dos sítios das estações base sugere-se a utilização de programas que auxiliem nos cálculos como exemplo escolheu-se o Software Rádio Mobile versão 10.6.9. Trata-se de um software livre de mapeamento e predição, com resultados satisfatórios para as faixas de VHF e UHF. O Radio Mobile utiliza o método proposto por Longley (1982) para modelagem e predição dos sinais de rádio em áreas urbanas.

A base dos mapas topográficos utilizados no Radio Mobile é disponibilizada livremente pela Empresa Brasileira de Pesquisa Agropecuária (Embrapa). Estes mapas possuem como fonte primária modelos digitais de elevação, com aproximadamente 90 metros de resolução espacial, originários da missão de mapeamento do relevo terrestre Shuttle Radar Topography Mission (SRTM) e Embrapa conforme Miranda (2005).

Os modelos digitais de elevação podem ser gerados por um processo denominado “interferometria de radar”. Neste processo, o sinal emitido pelo radar é recebido por duas antenas separadas por uma distância fixa (60 m), permitindo o cálculo da elevação da superfície, com uma tolerância vertical absoluta de 16 metros. De acordo com Miranda (2010), estas características garantem 90% de confiança na análise do relevo nos mapas que utilizam estes modelos digitais de elevação.

 

4.3 Pontos de Repetição:

Conforme observado no item anterior, a instalação de uma estação base no entorno da localidade a ser atendida é imprescindível para garantir a qualidade do serviço, no entanto, as áreas mais distantes exigem um estudo de viabilidade para instalação de torres em pontos topograficamente privilegiados.

A ser considerada a topologia da rede, os aspectos técnicos e paisagísticos, bem como a legislação municipal pertinente ao uso do solo e de preservação do meio ambiente se tem a viabilidade exposta. De acordo com a demanda por cluster de 7 células e reuso de frequências, para atender a topologia em media são necessários 13 clusters com 91 células para instalação de estações base. Os pontos podem ser escolhidos entre as localidades indicadas no processo de modelagem e predições com o software Radio Mobile.

Após a seleção dos pontos nas localidades disponíveis, a análise avança com a predição do sinal para cada uma das 91 células da rede. Assim a análise de cobertura deve ser feita com parâmetros de base-móvel, resultando em pontos que direcionam a modelagem de cobertura o Software Radio Mobile e sobreposição das imagens de satélite e curvas de nível do terreno concluem o processo.

Ressalta-se ainda a possibilidade otimização dos trabalhos de instalação das estações base de acordo com a execução do projeto. Este procedimento pode acrescentar mais eficiência ao sistema, com o alinhamento de potência dos equipamentos com a realidade local.

 

4.4 Estrutura de Implementação:

De acordo com o dimensionamento sugerido para as estações base é possível dimensionar o abrigo necessário para receber os equipamentos da rede de rádio. Desta forma devem ser avaliados o sistema irradiante, a estrutura física, o sistema elétrico e aterramento, bem como o Centro de Coordenação e Controle de toda a rede.

Podemos assim adotar dois modelos de sítio para acomodação das estações base, sendo um para atendimento da célula principal do cluster com 16 rádios, e outros 6 secundários, com 2 rádios para as células adjacentes. Estas informações avalizam o dimensionamento do abrigo, que deverá atender estes dois modelos de sítios.

 

4.4.1 Sistema de Transmissão:

A implementação depende de normas especificas, uma delas é Resolução 435/2006 da Anatel estabelece a canalização e as condições de uso de radiofrequências na faixa de 380 MHz por sistemas digitais do Serviço Limitado Móvel Privativo (SLMP) em aplicações de segurança pública. De acordo com os Artigos 8º e 9º desta norma, as estações fixas devem utilizar antenas diretivas e, as estações base, antenas com irradiação em setores maiores que 60°. Além disso, o Art. 18º do referido documento, também prevê a possibilidade de adoção de outros critérios para instalação da rede.

Considerando estas recomendações, com exceção às estações fixas, as estações base podem utilizar antenas omnidirecionais. Estas antenas possuem menor custo de instalação e possibilitam maior cobertura geográfica de uma determinada área. A desvantagem deste tipo de antena é a dificuldade de coordenação de frequências e a captação de interferência de células adjacentes. Contudo, devido à potência reduzida das estações base estas características não devem ser observadas de maneira crítica segundo Rappaport (1996).

Escolha deve ficar entre alguns tipos de antenas porem sugerimos dois tipos de antenas, sendo um para as estações base e outro para as estações fixas. As estações base devem utilizar antenas omnidirecionais com ganho de até 3 dB. Estas características são susceptíveis de modelagem com Radio Mobile e atendem grande parte dos projetos. As antenas devem estar dispostas em mastros ou torres.

A altura destes pórticos depende de cada localidade. Considerando a necessidade de padronização são sugeridos dois modelos, sendo o primeiro, um mastro de 15 metros, e o segundo, uma torre de 30 metros, conforme observado na Figura 15.

As estruturas das torres metálicas devem ainda seguir as exigências de padronização estabelecidas, montagem, acabamento, inspeção e manutenção previstas pelos órgãos reguladores. Os principais parâmetros de especificação destas estruturas são: a capacidade de suportar as cargas previstas para as antenas e cabos; resistência ao deslocamento de massas de ar; fundação; escada de acesso; esteiras verticais e horizontais; plataformas de serviço; para-raios; aterramento; iluminação de obstáculo e pintura.

Para interligar as antenas às estações base recomenda-se ainda a utilização de uma linha de transmissão que apresente pequena perda e baixo custo de instalação. O ideal seriam guias de onda para a faixa de 380 MHz, no entanto, para esta faixa, não há disponibilidade comercial, o que poderia elevar o custo. Logo, para as estações fixas e base sugere-se o uso de cabos coaxiais tipo RGC213, pois na faixa de 380 MHz podem apresentar perdas de 0,42 dB a 1,26 dB.

Os cabos necessitam ainda de conectores, os quais também podem apresentar algumas perdas, com valores típicos entre 0,5 dB e 1dB. Por fim, são necessários combinadores e multi-acopladores para as antenas que atendem as frequências de subida e descida para cada célula, podendo resistir até 50 Watts contínuos. Trata-se de um importante recurso para a combinação de 8 a 16 estações base em uma única antena. Geralmente, possuem perdas de até 1dB e isolação de até 60 dB entre as portas de saída.

Considerando os equipamentos e materiais descritos acima, bem como o custeio com os serviços de instalação da torre, antenas, linha de transmissão e combinadores, os sítios da estação base e fixa. Desta forma não estimaremos custos, pois a variação de mercado torna inviável estimar com base em dados não específicos.

Algumas estações fixas podem utilizar a estrutura física das edificações e poupar o custo com a instalação de um mastro ou torre metálica.

 

4.4.2 Estação Base :

Os abrigos devem ser capazes de receber as estações base das células principais e adjacentes, sendo estas caracterizadas por 16 e 2 duas estações base respectivamente. Portanto, normalmente definisse como necessárias duas estruturas distintas para atender a demanda. Para as células principais, são necessários abrigos que comportem um bastidor com rádios, combinador/multiacoplador, sistema de alimentação principal e reserva, bem como demais acessórios. Para tanto, recomenda-se a adoção de duas estruturas, sendo um contêiner para suprir a estação base principal, e um armário, para atender as células adjacentes com rádios. Estas estruturas podem ser observadas na Figura 16 a seguir:

 

Em ambos os casos, é necessário prever o controle da temperatura ambiente por meio de um sistema de climatização automatizado. Também se faz necessário um sistema de monitoramento, supervisão e alarme remoto, bem como controle de acesso ao sistema.

O material de fabricação destas estruturas deve oferecer proteção contra incêndio e resistência suficiente contra a ação de intempéries, tempestades, pragas, insetos e demais danos que possam ser causados pela ação da natureza e do homem.

 

4.4.3 Estrutura Elétrica:

Os sistemas elétricos dos abrigos dos sítios principal e adjacentes são semelhantes e por isso podem ser descritos em conjunto. Para tanto, ressalta-se a conexão principal com a rede elétrica pública e os sistemas de alimentação reservas. A conexão com a rede elétrica pública deve prover a alimentação principal do sistema e ser capaz de atender a demanda de energia na potência máxima de todas as estações base operando simultaneamente. Isso significa dizer que, a rede pública deve ser suficiente para manter as estações base transmitindo com até 25 Watts, além dos sistemas de condicionamento térmico do abrigo, monitoramento remoto, carga do sistema reserva e demais acessórios previstos.

Para análise desta demanda, a Tabela VI apresenta um resumo das características da carga total do abrigo principal e adjacente:

 

Por sua vez, os sistemas reservas devem permitir a utilização do sistema de transmissão em, pelo menos, 60% de sua capacidade de potência. Isso significa dizer que, durante as panes do sistema elétrico da rede pública, os sistemas reservas devem permitir a utilização das estações base com até 60% de sua potência durante tempo suficiente para restaurar a energia do sistema principal ou acionamento da equipe de manutenção para reparo.

Os sistemas reservas são compostos de banco de baterias de 48 volts e grupo gerador para os sítios principais, e para os sítios adjacentes, banco de baterias 48 volts são suficientes para atender a demanda de rádios base. No caso do banco de baterias, observado na Figura 17, a potência mínima desejável é 1.200 Watts, ou seja, cerca de 60% da carga do abrigo principal com uma pequena margem de segurança. No caso do grupo gerador, Figura 17, o dimensionamento deve considerar ainda os valores comerciais encontrados no mercado, que fiquem em torno de 1800 Watts.

Em ambos os sistemas, operando isoladamente ou em conjunto, se faz necessário um sistema remoto de monitoramento e supervisão, os quais permitem o acompanhamento à distância do funcionamento dos abrigos. Além disso, o sistema elétrico do abrigo deve utilizar um sistema de aterramento que contemple a proteção contra surtos oriundos da rede pública ou descargas atmosféricas captadas pelo sistema irradiante do sítio.

Para proteção contra as descargas atmosféricas captadas pelo sistema irradiante recomenda-se a utilização de centelhadores de RF. Estes tem como função proteger os rádios base contra sobre cargas na linha de transmissão. No quadro elétrico principal recomenda-se a instalação de protetores elétricos conforme observado na Figura 18:

Além da utilização de protetores elétricos e centelhadores de RF, também se faz necessária implantação de uma malha de aterramento que permita escoar as descargas atmosféricas no sistema irradiante e surtos oriundos da rede elétrica, bem como aterrar e equalizar toda a estrutura metálica do sítio. A instalação desta malha de aterramento na estrutura da torre e abrigo para instalação nos sítios principais. A Figura 19 apresenta alguns itens que compõe um kit para instalação de uma malha de aterramento que pode atender a demanda deste projeto:

 

4.4.4 Centro de Coordenação e Controle:

O Centro de Coordenação e Controle (CCC) é o local onde deve ser instalada a infraestrutura de suporte para a rede de rádio, bem como o acesso para as consoles de despacho das cabines de coordenação do policiamento. No CCC, a infraestrutura da rede é gerenciada por um Controlador da Rede de Rádio (RNC – sigla em inglês) que exerce a centralização do controle e supervisão de todas as estações móveis da rede por meio da gestão das Controladoras de Roteamento dos Móveis (MSC – sigla em inglês).

Este processo consiste em interligar MSC em todos os sítios por um gateway de Gerenciamento e Roteamento da Infraestrutura (SwMI – sigla em inglês). Este gateway pode utilizar fibra óptica ou rádio de micro-ondas como meio de transmissão. Recomenda-se a utilização de sistemas de transmissão que se adequem melhor as necessidades de cada CCC, os mais utilizados são enlaces de rádios de micro-ondas, mas fibras óticas começam a ser utilizadas por sua confiabilidade e segurança nas interligações.

A solução de gateway para interligação dos sítios por enlaces de micro-ondas depende da localização e distância entre as estações. Outro aspecto importante neste dimensionamento é a taxa de dados necessária para escoamento dos frames de dados TDMA/TETRA.

De acordo com a recomendação ETSI EN 300.392-2, v.2.5.2/2005, uma estação base recebe 2040 bits a cada 56,67 ms pela interface aérea, em um frame de dados TETRA contendo dados de voz de 4 estações móveis modulados a uma taxa de até 28,8 kbps. Caso seja necessário, esses bits devem ser encaminhados pelo SwMI para outras células da rede. De acordo com essa informação, o tráfego na interface aérea da célula principal do cluster deve ser de 32.640 bits em 56,67 ms, isto é, 2040 bits para cada uma das 16 estações base controladas. Para escoar estes bits a estação base entrega à rede de dados 575.966 kbps (32.640 bits em 56,67 ms) que são demodulados a uma taxa de até 28,8 kbps por estação. Portanto, no sítio principal, as 16 estações base podem processar os dados de voz de até 64 estações móveis operando simultaneamente a uma taxa de 28,8 kbps. Esta taxa exige uma rede de dados no gateway que possa escoar, pelo menos, 1.843.200 bits por segundo.

Além desses dados oriundos dos móveis, a rede do gateway deve transportar ainda dados de controle do sítio, permitindo que o RNC processe as informações necessárias para o SwMI. De acordo com Ketterling (2004) e Stavroulakis (2007), enlaces de dados para sítios TETRA devem possuir capacidade de, pelo menos, 2 Mbps.

No entanto, o gateway com essa dimensão não atenderia o sítio principal com uma margem de segurança razoável. Neste caso, sugere-se um enlace que possa suportar 4 Mbps para infraestrutura de cada sítio.

No CCC também estão instalados os bancos de dados de gerenciamento dos perfis das estações fixas e móveis, como Banco de Dados Local (HDB – sigla em inglês) e Banco de Dados de Visitantes (HDV – sigla em inglês) que são controlados pelo RNC TETRA. Neste local também são instalados os equipamentos de Registro Local e de Visitantes dos Móveis (HLR/VLR – siglas em inglês).

Por fim, as estações despacho também devem estar próximas ao CCC, uma vez que esta precaução poderá poupar investimentos de interconexão. As estações de despacho são responsáveis pela coordenação do policiamento externo e devem estar instaladas em um Centro de Comunicações Policiais (COPOM). Estas estações possuem microcomputador, software de gerenciamento e infraestrutura de rede. A Figura 20 apresenta um modelo de estação de despacho:

A estrutura de um Centro de Coordenação e Controle de infraestrutura composta de pelo menos 25 consoles de despacho, recursos de gerenciamento e supervisão da rede TETRA.

5 Considerações Finais

Este trabalho teve início com a conceituação da tecnologia de rádio troncalizado digital e caracterização técnica dos principais padrões existentes no mercado em escala global. Em seguida, foram apresentados os parâmetros para implementação de um sistema simples de radicomunicação digital troncalizada, através da comparação entre os padrões proporcionou-se a escolha do padrão TETRA que melhor adaptou-se ao requisitos necessários para as redes de instituições de segurança brasileiras.

De acordo com o conteúdo apresentado, verificou-se que os necessitamos que os principais padrões existentes busquem um constante desenvolvimento, se vinculados não mais à disponibilidade de interfaces dos equipamentos de rede, mais sim a mecanismos que possam torna-los acessíveis a uma diversidade maior de fabricantes. Essa diversidade só existira se os padrões forem „abertos‟ com normas e conceitos disponíveis a todos sem restrições proporcionando uma troca de informações produtiva visando alcançar uma evolução maciça.

Portanto, não é suficiente publicar informações relativas aos padrões proprietários, uma vez que as aplicações e códigos fontes dos teleserviços não são compartilhados. Para a convergência dos padrões os fabricantes deverão apresentar soluções integradas de hardware e software, compartilhando aplicações, de maneira que os quadros de dados Projeto 25, Tetra e Tetrapol sejam facilmente convertidos para uma plataforma de rede comum.

Concluí-se que a radiocomunicação digital implementada e funcionando corretamente permite a intercomunicação das polícias Militar, Civil e da Superintendência da Polícia Técnico-Científica dentre outras instituições de segurança. A integração de redes específicas tornará cada vez mais possível a realização de operações conjuntas. O compartilhamento de dados só será possível por meio de sistemas digitalizados.

Pode-se constatar que os fatores que diferenciam a rede de radio digital são as transmissões criptografadas em cada padrão, ou seja, não pode ser interceptada. Além da voz, a via digital permite o fluxo de imagens e dados. Os equipamentos fazem parte de um amplo sistema de telecomunicações, foram dados alguns parâmetros para nortear a implementação deste sistema.

O sistema de radiocomunicação digital tem o potencial de evoluir a passos largos no Brasil. Periodicamente, a estrutura de equipamentos é atualizada para que o sistema continue em operação, mas estamos de fronte a eventos de magnitude nunca antes enfrentados sem avanços tecnológicos extremos na estrutura existente. A Copa do Mundo de Futebol em 2014 e as Olimpíadas de 2016 não serão adequadamente atendidas pela segurança pública nacional.

A escolha de sistemas eficientes é ponto determinante no futuro, assim pretende-se que o exposto neste trabalho contribua para demonstrar que os meios de comunicações atualmente existentes nas instituições de segurança pública brasileira são indispensáveis para o completo atendimento e controle em operações no cenário atual.

Embora existam alguns estudos ainda se tem uma grande deficiência em material de apoio para futuros projetos de desenvolvimento de sistemas de radiocomunicações digital troncalizado. Assim, esse trabalho continuará além deste pequeno passo exposto. Por fim, conclui-se que o Brasil tem se estruturado para atender as necessidades eminentes, porém é necessário de maiores investimentos em estrutura com relação ao uso dessa tecnologia e como foram citadas anteriormente, diversas áreas relacionadas a esse trabalho podem ser exploradas, lembrando que o futuro caminha para uma condição onde a utilização deste sistema será imprescindível.