Motores e Geradores

Mecânica de Motor Diesel

1 Motores a combustão interna

Histórico

Os primeiros motores a combustão externa apareceram no século XVIII e o combustível utilizado era a lenha, naquela época abundante e de baixo custo. Estes motores a vapor eram geralmente utilizados em máquinas estacionárias.

No século XIX apareceram os primeiros motores a combustão interna. Nestes, o combustível é queimado dentro do próprio motor e seu aparecimento provocou um rápido desenvolvimento mecânico. Estes motores levaram vantagem sobre as máquinas a vapor pela sua versatilidade, eficiência, menor peso por cavalo vapor, funcionamento inicial rápido e possibilidade de adaptação a diversos tipos de máquinas. 

O primeiro motor a combustão interna foi construído pelo mecânico alemão Lenoir, em 1860, e tinha a potência de 1 cv, trabalhando com gás de iluminação.

Em 1861, Otto e Langen, baseando-se na máquina de Lenoir, construíram um motor que comprimia a mistura de ar e gás de iluminação, com ignição feita por uma centelha elétrica.

Em 1862, o engenheiro francês Beau de Rochas publicou estudos teóricos e estabeleceu alguns princípios termodinâmicos baseado no motor de Otto. Este, por sua vez, baseado no estudo de Rochas, desenvolveu um motor: o motor de ciclo Otto apresentado em 1872. Estes motores usavam como combustível o gás de carvão ou o gasogênio, com ignição feita por centelha elétrica.

Em 1889, fez-se a primeira aplicação do motor de ciclo Otto em veículos, utilizando-se como combustível a gasolina. 

Em 1893, o engenheiro alemão Rudolf Diesel descreveu um novo motor, no qual a ignição da mistura ar mais combustível era feita por compressão. Este motor, que Diesel denominou “motor térmico racional”, acabou ficando conhecido como motor Diesel.

Os motores modernos são derivados dos construídos por Otto e Diesel e as características básicas dos mesmos são as seguintes:

  1. Motores de ciclo Otto: utilizam combustível de baixa volatilidade, como a gasolina e o álcool. Para ignição necessitam de centelha produzida pelo sistema elétrico.
  2. Motores de ciclo Diesel: utilizam como combustível o óleo diesel. A inflamação do combustível injetado sob pressão na câmara de combustão ocorre pela compressão de ar e consequente elevação da temperatura.

Definição de motores

Motor é uma máquina que converte qualquer forma de energia em trabalho mecânico.

O motor de combustão transforma energia térmica (calorífica) em trabalho mecânico (energia mecânica).

Tipos de motores

Quanto ao tipo de combustão, os motores podem ser:

Combustão externa: máquinas a vapor

Combustão interna:de pistão:

  • ciclo Otto – a gasolina
  • ciclo Diesel – a óleo diesel

Combustão interna: de êmbolo rotativo:

Wankel

Conceitos preliminares

motores a combustão interna são aqueles em que o combustível é queimado internamente.

Um mecanismo constituído por pistão, biela e virabrequim é que transforma a energia térmica (calorífica) em energia mecânica.

O movimento alternativo (vai e vem) do pistão dentro do cilindro é transformado em movimento rotativo através da biela e do virabrequim. Os motores de tratores possuem um ou mais cilindros e um correspondente número de pistões e bielas.

Partes componentes

a) Bloco

É a maior parte do motor e sustenta todas as outras partes. Nele estão contidos os cilindros, geralmente em linha nos motores de tratores de rodas. São normalmente construídos de ferro fundido, mas a este podem ser adicionados outros elementos para melhorar suas propriedades.

Alguns blocos possuem tubos removíveis que formam as paredes dos cilindros, chamadas de “camisas”. Estas camisas podem ser “úmidas” ou “secas”, conforme entrem ou não em contato com a água de refrigeração do motor.

b) Cabeçote

Este componente fecha o bloco na sua parte superior, sendo que a união é feita por parafusos. Normalmente, é fabricado com o mesmo material do bloco. Entre o bloco e o cabeçote existe uma junta de vedação.

c) Cárter


O cárter fecha o bloco na sua parte inferior e serve de depósito para o óleo lubrificante do motor. Normalmente, é fabricado de chapa dura, por prensagem.

d) Pistão (êmbolo)

A parte do motor que recebe o movimento de expansão dos gases. Normalmente, é feito de ligas de alumínio e tem um formato aproximadamente cilíndrico. No pistão encontram-se dois tipos de anéis:

d.1) anéis de vedação – estão mais próximos da parte superior (cabeça) do pistão;
d.2) anéis de lubrificação – estão localizados na parte inferior do pistão e têm a finalidade de lubrificar as paredes do cilindro.
O pistão liga-se à biela através de um pino. O pino é normalmente fabricado de aço cementado.

e) Biela

É a parte do motor que liga o pistão ao virabrequim. É fabricado de aço forjado e divide-se em três partes: cabeça, corpo e pé. A cabeça é presa ao pistão pelo pino e o pé está ligado ao virabrequim através de um material antifricção, chamado casquilho ou bronzina.

f) Virabrequim

É também chamado de girabrequim ou árvore de manivelas. É fabricado em aço forjado ou fundido. Possui mancais de dois tipos:
f.1) excêntricos – estão ligados aos pés das bielas;
f.2) de centro – sustentam o virabrequim ao bloco.

g) Volante

É constituído por uma massa de ferro fundido e é fixado no virabrequim. Acumula a energia cinética, propiciando uma velocidade angular uniforme no eixo de transmissão do motor. O volante absorve energia durante o tempo útil de cada pistão (expansão devido à explosão do combustível), liberando-a nos outros tempos do ciclo (quando cada pistão não está no tempo de potência), concorrendo com isso para reduzir os efeitos de variação do tempo do motor.

h) Válvulas


Existem dois tipos de válvulas: de admissão e de escape. Elas são acionadas por um sistema de comando de válvulas.


O movimento do virabrequim é transmitido para o eixo de comando de válvulas por meio de engrenagens. O eixo de comando de válvulas liga-se por uma vareta ao eixo dos balancins. Este, por sua vez, é que acionará as válvulas.


A abertura e o fechamento das válvulas estão relacionadas com o movimento do pistão e com o ponto de injeção, de modo a possibilitar o perfeito funcionamento do motor.


As engrenagens da distribuição podem ter uma relação de 1:2, o que significa que cada rotação da árvore de manivelas corresponde a meia rotação da árvore de comando de válvulas.

i)Partes complementares

São os sistemas auxiliares indispensáveis ao funcionamento do motor: sistema de alimentação de combustível, sistema de alimentação de ar, sistema de arrefecimento, sistema de lubrificação e sistema elétrico.

4.3 – Motor a combustão interna de pistão

Ciclo Diesel – 4 tempos

O motor a combustão interna de pistão que funciona segundo o ciclo

Diesel apresenta, durante o funcionamento, quatro fases:

1ª – Admissão

2ª – Compressão

3ª – Combustão

4ª – Escape

A série dessas quatro fases consecutivas é chamada de ciclo do motor.

O detalhamento das fases é o seguinte.

1a – Admissão

Nesta fase, o pistão desce, estando a válvula de admissão aberta e a de escape fechada.

Ao descer, o pistão cria uma depressão no cilindro. O ar é então forçado pela pressão atmosférica a entrar no cilindro, passando pelo filtro de ar e pela tubulação de admissão. A quantidade de ar admitida é sempre a mesma, qualquer que seja a potência que estiver sendo utilizada ou a posição do acelerador.

2a – Compressão

Então, o pistão sobe, as válvulas de admissão e de escape estão fechadas.

O ar admitido na fase de admissão é comprimido até ocupar o volume da câmara de combustão. Devido à compressão, o ar se aquece.

No final da compressão, o bico injetor injeta, finamente pulverizado, o óleo diesel no interior da câmara de combustão.

O óleo diesel, em contato com o ar aquecido, se inflama, iniciando assim a combustão.

3a – Combustão

O pistão desce, acionado pela força de expansão dos gases queimados.

As válvulas de admissão e de escape estão fechadas.

A força de expansão dos gases queimados é transmitida pelo pistão à biela e desta ao virabrequim, provocando assim o movimento de rotação do motor.

A expansão é o único tempo que produz energia, sendo que os outros três tempos consomem uma parte dessa energia. A energia produzida é acumulada pelas massas do virabrequim e do volante.

4a – Escape

O pistão sobe, estando a válvula de escape aberta e a de admissão fechada.

Os gases queimados são expulsos através da passagem dada pela válvula e escape.

4.3.2 – Ciclo Diesel – 2 tempos


Num motor de 2 tempos a admissão e o escape ocorrem ao mesmo tempo da compressão e expansão. A parede do cilindro de um motor de 2 tempos contém uma fileira de janelas de admissão de ar.

No 1º tempo, o pistão está em seu movimento descendente, e descobre as janelas de admissão, dando entrada ao ar, que está sendo empurrado por um soprador. O ar que entra expulsa os gases queimados, que sairão através da passagem aberta pelas válvulas de escape.

O fluxo de ar em direção às válvulas de escape causa um efeito de limpeza, deixando o cilindro cheio de ar limpo, por isso, é muitas vezes esse processo é chamado de “lavagem”.
No 2º tempo, o pistão está em seu movimento ascendente e cobre as janelas de admissão (fechando-as) ao mesmo tempo em que as válvulas de escape fecham-se. O ar limpo admitido é submetido à compressão.

Um pouco antes de o pistão alcançar sua posição mais alta, uma certa quantidade de óleo diesel é atomizada na câmara de combustível pela unidade injetora de combustível. O intenso calor, causado pela alta compressão do ar, inflama imediatamente o combustível atomizado no cilindro.

A pressão resultante força o pistão para baixo, no curso de expansão. As válvulas de escape vão se abrir quando o pistão estiver na metade do curso descendente, permitindo que os gases queimados saiam pelo coletor de escapamento.

Quando o pistão, em seu curso descendente, descobre as janelas de admissão, o cilindro é novamente “lavado” pelo ar limpo.
O ciclo completo de combustão é concluído em cada cilindro durante cada volta do virabrequim, ou em outras palavras, em 2 tempos.
 

4.4 – Coordenação dos cilindros

Os motores de tratores têm, em geral, 4 ou 6 cilindros. Para um funcionamento uniforme e equilibrado do motor, os movimentos dos pistões são alternados.


Num motor de 4 cilindros, o virabrequim tem uma forma tal que os pistões 1 e 4 movem-se num sentido e os pistões 2 e 3 movem-se em sentido contrário. Considerando-se um motor de 4 tempos, as diversas fases do ciclo em cada cilindro estão mostradas na Figura 14.

4.5 – Tipos de injeção

Em relação à câmara de câmara de combustão, os motores Diesel dividem-se nos seguintes tipos:

Injeção direta – o combustível é injetado diretamente na câmara de combustão;

Injeção indireta – durante o curso de compressão, o ar penetra em movimentos rotativos na câmara de turbulência, onde se dá a queima na maior parte do combustível, injetado no final do curso de compressão. A pressão dos gases de combustão aumenta aos poucos. 

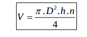
4.6 – Cilindrada

É o volume deslocado pelo pistão do ponto morto superior (PMS) até o ponto morto inferior (PMI) multiplicado pelo número de cilindros do motor.

onde:

V = cilindrada, expressa em cm3, litros ou pol3

D = diâmetro do pistão, em cm ou pol

h = curso do pistão do PMI ao PMS, em cm ou pol n = número de cilindros
 

4.7 – Relação de compressão

A câmara de combustão é o espaço livre depois da cabeça do pistão quando este atinge o PMS.


A compressão do ar contido no cilindro é feita pelo pistão durante seu curso do PMI ao PMS no tempo de compressão. O volume inicial ocupado pelo ar é somente o da câmara de combustão.


A relação (ou taxa) de compressão é a relação entre o volume inicial e o volume final. A relação de compressão da gasolina é 6:1 a 8:1; do álcool é 12:1 a 14:1 e do óleo diesel é de 16:1 a 18:1.

onde:
RC = relação de compressão (adimensional)
V = cilindrada individual (de um pistão), em cm3, pol3, litros
v = volume da câmara de combustão, em cm3, pol3, litros

Para que a queima do combustível ocorra dentro dos padrões técnicos do ciclo e a expansão dos gases produza a pressão e o trabalho desejados, é necessário que a massa de combustível injetada no motor seja misturada a uma quantidade de ar. Forma-se assim a mistura combustível-ar, cuja dosagem é feita pela injeção eletrônica ou pelo carburador.

A gasolina é uma mistura de vários hidrocarbonetos, que, na média típica, pode ser representada por C8H18.

Assim, a estequiometria da combustão completa da gasolina é definida na equação:

C8H18 + 12,5 O2 + 47 N2    8 CO2 + 9 H2O + 47 N2

Seguindo o mesmo princípio, a combustão completa do etanol segue a equação abaixo (desconsiderada a fração de água que o caracteriza como hidratado):

C2H6O + 3 O2 + 11,3 N2    2 CO2 + 3 H2O + 11,3 N2

Estas proporções estabelecem a quantidade mínima de ar necessária para fornecer a quantidade de oxigênio requerida pela queima completa dos combustíveis, considerando que o ar atmosférico possui 21% de oxigênio e 79% de nitrogênio.

Multiplicando as quantidades moleculares por seus respectivos números de massa, nota-se que as proporções estequiométricas da mistura combustível-ar para gasolina e álcool são:

Gasolina: C8H18 + 12,5 O2 + 47 N2 ---> 8 CO2 + 9 H2O + 47 N2
Combustível: [C] 8 x 12 + [H] 18 x 1 = 114
Ar: [O] 12,5 x 32 + [N] 47 x 28 = 1.716

Esse valor significa que são necessárias 15 unidades de massa de ar para cada unidade de massa de gasolina injetada no motor.


Álcool: C2H6O + 3 O2 + 11,3 N2 ---> 2 CO2 + 3 H2O + 11,3 N2
Combustível: [C] 2 x 12 + [H] 6 x 1 + [O] 1 x 16 = 46

Ar: [O] 3 x 32 + [N] 11,3 x 28 = 412,4

Esse valor significa que são necessárias nove unidades de massa de ar para cada unidade de massa de álcool injetada no motor.

É importante reiterar que estes cálculos são ideais, ou seja, consideram apenas as estequiometrias das massas de combustível e de ar para uma reação de combustão completa. Normalmente, os veículos trabalham com a chamada mistura econômica, que admite um excesso de ar para aumentar a eficiência da combustão. Além disso, a combustão no motor é incompleta. As reações de oxidação, que deveriam combinar oxigênio e carbono, gerando

dióxido de carbono (CO2), não se completam, resultando na formação de monóxido de carbono (CO), um poluente tóxico.
 

4.8 – Torque

O torque é definido como o produto da força atuante (pressão exercida sobre a área da cabeça do pistão) pela distância perpendicular do eixo à direção dessa mesma força.


É expresso pela fórmula:

 

onde:
T = torque, expresso em kgfm (Sistema Técnico), kpm (quilopond metro)
(DIN), lbf.ft (SAE), J (Sistema Internacional = N.m)
F = intensidade da força atuante, expressa em kgf, lbf, N
d = distância perpendicular entre o eixo e a direção a força, em m, pés

O torque depende exclusivamente do tamanho e da quantidade de pistões, da relação de compressão e do tipo de combustível utilizado, variando muito pouco com a rotação do motor, devido à perda de eficiência nas rotações mais altas e muito baixas. Um motor de mais torque tem possibilidade de fazer o trator puxar maior carga desde que o peso do mesmo propicie aderência suficiente no solo.

4.9 – Potência

Um trator com um motor mais potente, desde que tenha o peso adequado, pode executar mais trabalho que um menos potente, no mesmo tempo.

Ao contrário do torque, a potência depende da rotação do motor, ou seja, nas rotações mais altas alcança-se uma maior potência até um ponto em que, mesmo aumentando-se a rotação, a potência passa a diminuir.

5 – Unidades de potência

As unidades de potência mais usadas são:

 

  • cv – cavalo vapor (Brasil)

 

  • PS – pferdes tärke (Alemanha)

 

  • HP – horse Power (USA)

 

  • W – watt (adotado pelo Sistema Internacional de Unidades)

 

5.1– Definições

 

  1. cv – em cv ou PS é a força necessária para elevar uma massa de 75 kg à altura de um metro em um segundo.

  2. HP – um HP é a força necessária para elevar uma massa de 76 kg à altura de um metro em um segundo.

  3. W – um watt é a potência desenvolvida quando se realiza contínua e uniformemente um trabalho igual a um joule por segundo.

5.2 – Conversões de unidades de potência

A potência de um motor pode ser medida segundo as seguintes normas:

 

  1. Norma DIN (Deutshe Industrie Normen – Alemanha) – a potência do motor é medida com o ventilador, bomba d’água, bomba injetora, dínamo, silencioso, filtro de ar acoplados. A potência é expressa em PS.

  2. Norma CUNA (Itália) – os valores CUNA são de 5 a 10% superiores aos valores DIN, visto que a potência do motor é medida sem o filtro de ar e sem o silencioso.

  3. Norma SAE (Society of Automotive Engineers – USA) – os valores SAE são de 10 a 25% superiores aos valores DIN, visto que todos os agregados e os consumidores de energia são eliminados durante a medição da potência do motor.

 

6 – Motores Superalimentados

A potência desenvolvida por motores a combustão interna pode ser aumentada com a elevação da pressão de admissão. Este fenômeno é obtido com aplicação da superalimentação. Este processo consiste em forçar o ar para o interior do cilindro, de modo que o peso da carga aumente. Os superalimentadores são de dois tipos: sopradores e turbinas.

6.1 – Soprador

É um dispositivo que tem por finalidade manter um fluxo de ar contínuo e forçado para o interior do cilindro. É acionado pelo próprio motor.

6.2 – Turbina

É um dispositivo composto de dois rotores, ligados entre si por um eixo. É acionado pela energia cinética dos gases queimados.

2 Noções gerais sobre outros tipos de motores

Motor Wankel

Os motores rotativos fabricados atualmente para veículos automotores são todos do tipo Wankel de um ou mais rotores. Uma das vantagens desse tipo de motor é que as suas peças não estão sujeitas a movimentos alternativos (ascendentes e descendentes), mas simplesmente a movimentos rotativos. Outra vantagem do motor Wankel é que ele é mais compacto, mais leve e fabricado com um número de peças menor que os motores usuais de pistões.

A carcaça externa do motor Wankel tem a sua superfície interna com a forma ovalada. Dentro dessa carcaça está instalado um rotor com formato praticamente triangular com uma engrenagem interna.

O eixo de saída do motor gira com uma velocidade três vezes maior que a rotação do rotor, como será mostrado a seguir.

O rotor gira excentricamente a fim de que os seus três vértices fiquem constantemente em contato com a superfície interna da carcaça. Por isso, o centro do rotor, no seu movimento, vai ocupando posições diferentes no interior da carcaça.

Um sistema planetário de engrenagens faz com que o rotor fique ligado a um eixo motor equivalente ao virabrequim de um motor de pistão (Fig. 23.1.1).

Observamos que as faces externas do rotor possuem uma concavidade. Existem, entre a parte interna da carcaça e os três lados do rotor, três espaços vazios úteis, que podemos denominar de câmaras. De acordo com o giro do rotor, o volume de cada uma delas aumenta ou diminui tendo-se em vista o formato ovalado da superfície interna da cabeça.

A carcaça do motor tipo Wankel possui duas velas de ignição, dois condutos, sendo um de admissão e o outro de escape, que são descobertos (ou abertos) sucessivamente pelo rotor durante o seu movimento de rotação. Conseqüentemente, nesse tipo de motor, cada volta completa do rotor corresponde ao ciclo de 4 tempos convencional de pistão.

Como ele possui três “câmaras” entre os lados do rotor de formato praticamente triangular e a superfície interna da carcaça, ocorrem três tempos de explosão em cada volta do rotor — isto é, uma explosão em cada giro do eixo motor, uma vez que este dá três voltas enquanto o rotor dá uma completa, devido ao sistema de engrenagens. Na Figura 23.1.2 apresentamos mais detalhes do funcionamento do motor Wankel.

O maior problema enfrentado pelos construtores dos motores Wankel é projetar um sistema eficiente de vedação para gases nos três vértices e nos lados

do rotor. O sistema que tem apresentado melhores resultados foi desenvolvido por uma indústria japonesa e consiste em fabricar os vértices do triângulo com acabamento em fibra de carbono.

22.2 — Motores adiabáticos

Motores adiabáticos são aqueles que procuram aproveitar todo o calor gerado pela combustão, reduzindo a troca de calor com o meio ambiente. Com a redução da troca de calor com o ambiente, as pressões e temperaturas internas do motor são mais elevadas, requerendo a utilização de componentes mais resistentes (ex: pistões articulados). Em contrapartida, permitem uma melhor queima, bem como a utilização de combustíveis vegetais, com menor nível de emissão de poluentes.

A redução da troca de calor com o meio externo pode ser obtida, por exemplo, por um dos seguintes artifícios, isoladamente ou em conjunto:

sistema de combustão duotérmico; bloco e cabeçote com revestimento cerâmico; pistões com cabeça cerâmica; eliminação do sistema de arrefecimento convencional.

Com a eliminação do sistema de arrefecimento convencional (radiador), parte do calor passa a ser dissipado através do óleo lubrificante.

Os motores adiabáticos têm mostrado um aumento no seu rendimento, dos atuais 30% nos motores diesel para 40% a 44%, pois as perdas de calor de cerca de 30% pelos sistemas de arrefecimento convencionais atuais reduzem-se a 15% aproximadamente, dissipados principalmente pelo óleo lubrificante (Fig. 23.2.1)

22.3 — Turbina a gás

O princípio da turbina a gás é baseado em uma das leis da Física (3ª Lei de Newton), que diz: A toda ação corresponde uma reação de mesma intensidade em sentido contrário.

Ilustra-se este princípio inflando um balão de borracha, o qual, após ser solto, é impulsionado sem rumo até a pressão interna acabar. Uma vez compreendido como este balão se desloca, entender- -se-á o princípio da turbina a gás.

Usando uma simples ilustração de um balão de borracha inflado tendo seu bocal fechado, estabelecemos a condição na qual uma pressão está sendo exercida igualmente em todas as direções no interior do mesmo. Abrindo o bocal, o ar que está no interior do balão sendo comprimido pelas paredes elásticas deste, passa a sair pelo bocal com alguma velocidade. A velocidade do ar através do bocal produz a ação que por sua vez dá origem a uma reação igual e oposta que impulsiona o balão (Fig. 23.3.1).

Princípio básico de funcionamento

A Figura 23.3.2A mostra um simples recipiente de ar comprimido, que possui um bocal de saída através do qual o ar escapa para a atmosfera, até a pressão se esgotar. Essa saída de ar momentânea em alta velocidade produz uma força de duração limitada (flecha azul). Para desenvolver uma força capaz de produzir potência, necessitamos de um aumento na velocidade e um contínuo fornecimento de ar em alta velocidade. A velocidade do ar pode ser aumentada por aquecimento, como indicado na Figura 23.3.2B. Esta relativa mudança de velocidade é indicada pela flecha longa vermelha (ar aquecido) ao lado da azul intermitente. Na Figura 23.3.2C, o ar aquecido (flecha vermelha) é dirigido sobre palhetas que, colocadas num disco, formam o rotor da turbina, forçando-a a girar no seu eixo. A fim de prover fluxo de ar contínuo, uma

Todavia, todo o ar é aquecido e expande-se rapidamente. Ele sai como gás em alta velocidade pelo bocal e é dirigido sobre a turbina, que por sua vez é ligada através de um eixo ao compressor (Fig. 23.3.2F). Até aqui, o aquecimento do ar no recipiente era feito por meios externos. Transforma-se o recipiente em uma câmara de combustão, introduzindo combustível, misturando-o com o ar e inflamando-o. Ao passar pela turbina, aproximadamente 2/3 da energia são utilizados. Todavia, o restante possui ainda um elevado potencial de trabalho. Por isso, um segundo rotor de turbina é colocado logo após o primeiro, o qual é acionado por este potencial da mesma forma que o primeiro (Fig. 23.3.2G).

Esta turbina, ligada a um eixo mecanicamente independente do compressor e da 1ª turbina, aciona um conjunto de redução, ao qual podem ser ligados uma hélice (avião), transmissão e rotor (helicóptero), volante e embreagem (automóvel). No início do estudo da 3ª Lei do Movimento é difícil, para alguns, aplicá-la em motores à reação, por não encontrarem o ponto de referência entre a força atuante e o atual movimento do motor. Este motivo criou a idéia de que motores à reação se deslocam quando os gases de exaustão atingem uma barreira, o ar por exemplo. Não é porém este o caso. A força de reação é estritamente um fenômeno dentro do motor criado por conversão de energia, isto é: pressão transformada em energia de velocidade.

Esta condição é fácil de se entender, se analisarmos um motor espacial (foguete), que produz empuxo (reação) no espaço, onde não existe ar. Em se tratando de propulsão a jato, é preciso não imaginá-la resultante do impacto dos gases produzidos pelo reator contra o ar ambiente. O fenômeno da reação direta é regido pelo princípio geral das quantidades de movimento, cuja soma é constante, mas nula, achando-se o sistema em repouso, o que significa que os gases e o recipiente do qual são expelidos devem afastar-se reciprocamente, em direções opostas. Por isso, felizmente, conseguem os foguetes deslocar-se mesmo no vácuo. Assim não fosse, jamais poderíamos sequer sonhar com viagens interplanetárias.

Reação indireta equivale a recuo, o mesmo que se produz no disparo de um canhão ou de uma pistola, maior no primeiro só porque nele a massa da bala é proporcionalmente maior. Sentemo- -nos numa cadeira de rodas com uma porção de tijolos no colo. Se nos pusermos a atirá-los para frente, começaremos a nos deslocar para trás, por reação direta, independente do fato de estarem ou não os tijolos batendo contra qualquer parede.

Aplicação da turbina a gás

A aplicação da turbina a gás está limitada a aeronaves e, em caráter experimental, em alguns carros e trens. As desvantagens das turbinas a gás são: os rotores giram a elevadas rotações por minuto, provocando ruídos; necessidade de substituir conjuntos completos em caso de falhas, o que onera a revisão.

As vantagens das turbinas são: bom momento de torque; pouca sensibilidade à qualidade do combustível, desde que microfiltrado; baixo consumo de óleo lubrificante; funcionamento sem vibrações; eliminação quase total do monóxido de carbono dos gases; manutenção simples.

Comparação com um motor convencional

Nas Figuras 23.3.3, comparamos a Turbina a Gás com um motor convencional. Neste, temos 4 tempos: Admissão, Compressão, Expansão (tempo motor) e Escape, num ciclo alternado, enquanto a Turbina a Gás possui os mesmos quatro tempos, porém num ciclo contínuo.

22.4 — Motor de cilindrada variável

Motor de cilindrada variável está sendo desenvolvido experimentalmente, com o objetivo de se obter uma redução de consumo de combustível, principalmente em tráfego urbano. Isso é obtido através da alteração do curso do pistão, devido à redução das perdas por inércia e atrito. Conforme mostrado na Figura 23.4.1, o curso do pistão pode ser alterado por intermédio de um braço de regulagem que altera o ponto morto inferior.

3 Geradores de Energia

Um motor elétrico pode ser conceituado como uma máquina designada a realizar uma transformação de energia elétrica em mecânica. É utilizado em diversos tipos de motores, tendo em vista que combinam as vantagens da energia elétrica com base em uma construção simples, de grande versatilidade e adaptação de cargas e rendimentos.

Em máquinas geradoras de energia elétrica, tanto motor ou gerador, é possível realizar a distinção de duas partes principais: o estator, que consiste em um conjunto de partes que são ligadas de forma rígida à carcaça e ao rotor, girando em torno de um eixo que se apoia em mancais que se localizam fixados na carcaça e ao indutor, responsável por produzir o campo magnético; e o induzido, que gera a corrente induzida.

O “Gerador Elétrico” pode ser conceituado como um dispositivo usado para converter a energia mecânica ou química em outra forma de energia, na popular energia elétrica. Esta uma função reversa dos motores elétricos e é realizada por um gerador ou dínamo.

Fundamento e Tipos

Para explicar o funcionamento de um gerador iremos tomar como exemplo um dos mais comuns nesse meio, o Gerador Elétrico de Dínamo, esse modelo gera corrente continua muito comum em carros, esse equipamento depende totalmente da indução eletromagnética para realizar a conversão de energia mecânica em energia elétrica, sendo assim verificamos essa tese na lei de indução eletromagnética elaborada por Faraday combinada com a lei de Ampere.

O funcionamento do dínamo dá-se convertendo energia mecânica em elétrica quando ele realiza a rotação do seu eixo e assim libera a energia contida e desse modo permite com que o campo magnético atravesse o conjunto de enrolamentos e ocasione a variação do fluxo em função do tempo.

Portanto, a energia elétrica é gerada através de uma tensão induzida nos terminais de um enrolamento que quando conectados em alguma carga vão proporcionar uma circulação de corrente elétrica nos enrolamentos da carga.

Outro ponto que vale lembrar nos geradores é que podem ser associados uns aos outros a fim de aumentar ou diminuir grandezas elétricas, ou seja, caso eu precise somente de um tipo de gerador porem uma corrente maior se faz uma associação paralelo e teremos uma tensão única e as correntes somadas de cada gerador, porém, caso queira uma tensão maior e uma corrente constante associa-se os geradores em série.

Tipos de Geradores Elétricos

Gerador Luminoso: Esses geradores são sistemas construídos para transformar a energia luminosa em energia elétrica, isso é visto facilmente em placas solares, feitas de um composto de silício que converte a energia luminosa dos raios solares em energia elétrica.

Gerador Mecânico: Modelo explicado com o dinâmico, esses geradores são os mais comuns e também com maior capacidade de transformação de energia. Esses geradores que utilizam a técnica do magnetismo para transformar energia mecânica em elétrica são vistos em usinas hidroelétricas, termoelétricas e termonucleares.

Gerador Químico: Esses geradores que transformam energia potencial química em elétrica possuem a transformação somente para corrente continua, e é comumente encontrado em pilhas e baterias;

    Gerador Térmico: Esses são os dispositivos capazes de converter energia do efeito Joule em elétrica direto sem intermediários.

    Força eletromotriz do gerador

    É a razão entre o trabalho realizado e a quantidade de carga movimentada. No SI, o trabalho é medido em joule e a quantidade de carga elétrica é medida em Coulomb, logo a força eletromotriz é medida em joule/coulomb (J/C). Essa unidade e o volt (V).

    Por definição, a força eletromotriz, ou simplesmente fem, E,é igual ao trabalho (W) realizado pelo gerador, por unidade de carga (q),ou seja:E = W / q, onde: No SI 1V = 1J / 1C

    Equação do gerador

    A tensão total que um gerador pode fornecer ao circuito é a sua força eletromotriz. Porém, todo o gerador possui uma resistência interna, que consome parte desta tensão, o que provoca uma diminuição da tensão real que é fornecida ao circuito. Portanto, podemos calcular a tensão fornecida pelo gerador (U) como sendo a diferença da sua força eletromotriz pela tensão consumida por sua resistência interna, o que nos dá a equação dos geradores:

    Curva característica de um gerador

    A equação do gerador pode ser vista como uma equação do 1º grau, onde a tensão U varia de acordo com a corrente elétrica i. Com isso, podemos construir o gráfico característico dos geradores.

    Do gráfico, podemos encontrar a força eletromotriz, que é o ponto onde a reta intercepta o eixo vertical da tensão U. Além disso, podemos encontrar também a corrente de curto circuito icc, que é o ponto onde a tensão é zero (U = 0). Neste caso, a corrente elétrica não tem resistência em seu trajeto.

    Potência de um gerador

    Em um gerador elétrico, podemos encontrar a potência total que ele pode fornecer ao nosso aparelho ligado ao circuito. Esta potência total (Pt) está relacionada com a tensão total que o gerador pode fornecer, ou seja, sua força eletromotriz. Podemos então calcular a potência total como:

    Desta forma, podemos ainda dizer que toda a potência que o gerador possui é a soma das potências útil e dissipada:

    Rendimento

    Podemos encontrar o rendimento de um gerador (η), ou seja, uma razão que nos diz quanto da potência total do gerador é convertida para utilização do circuito. Desta forma, definimos rendimento como a razão da potência útil pela potência total.

    GERADOR DE CORRENTE ALTERNADA: PRINCÍPIO DE FUNCIONAMENTO

    No interior da carenagem – também conhecida como canópia - de um gerador elétrico por corrente alternada, existem 3 peças essenciais na produção da eletricidade ao nosso redor: Motor, Tanque e Alternador.

    MOTOR

    O motor é a fonte da energia mecânica de entrada. Quanto maior o tamanho do motor, maior a potência máxima que o gerador poderá atingir, cuja unidade de medida é o kVA (quilovolt ampere). Ao lado do tamanho, o tipo de combustível usado é tem igual0 importância na hora de escolher qual gerador alugar.

    O motor é a fonte da energia mecânica de entrada. Quanto maior o tamanho do motor, maior a potência máxima que o gerador poderá atingir, cuja unidade de medida é o kVA (quilovolt ampere). Ao lado do tamanho, o tipo de combustível usado é tem igual0 importância na hora de escolher qual gerador alugar.

    TANQUE DE COMBUSTÍVEL

    O tanque de combustível normalmente tem capacidade suficiente para manter o gerador operando, em média, por 6 a 8 horas seguidas. No caso de pequenas unidades geradoras, o tanque faz parte da base que sustenta o gerador. Já nos casos de aplicações comerciais, os grandes geradores têm uma base rígida que serve como suporte para todas as peças internas, inclusive o tanque de combustível independente.

    ALTERNADOR

    O alternador é a peça do gerador que produz a corrente elétrica a partir da energia mecânica produzida pelo motor. Os componentes internos trabalham juntos para criar o movimento relativo entre o campo magnético e as cargas elétricas, cujo processo gera a eletricidade. Eles são:

    1. Estator: Este é o componente fixo. Ele contém um conjunto de condutores elétricos feitos de cobre, enrolados em bobinas sobre um núcleo de ferro.
    2. Rotor: É o componente móvel que produz o campo magnético rotativo por uma das 2 maneiras abaixo, dependendo do tamanho do gerador:
      1. Por indução - São conhecidos como alternadores sem escova e, na maioria das vezes, são usados ​​em grandes geradores
      2. Por ímãs permanentes – Peças comuns em pequenas unidades de alternador para geradores caseiros.

    A ação no interior do alternador acontece assim: o rotor gera um campo magnético que é rotacionado ao redor do estator, o que induz uma diferença de tensão entre os enrolamentos da bobina. Isso produz a saída de corrente alternada (CA) do gerador.

    GERADOR DE CORRENTE CONTÍNUA: PRINCÍPIO DE FUNCIONAMENTO

    Um motor é uma máquina que converte energia elétrica em energia mecânica de rotação. Os motores são os responsáveis pelo funcionamento das máquinas de lavar, das secadoras de roupa, dos ventiladores, dos condicionadores de ar e da maioria das máquinas encontradas nas indústrias. O gerador, por sua vez, é uma máquina que converte energia mecânica de rotação em energia elétrica. A energia mecânica pode ser fornecida por uma queda-d’água, vapor, vento, gasolina, óleo diesel ou por um motor elétrico.

    COMPONENTES DA MÁQUINA CC

    As partes principais dos geradores e motores de corrente contínua são basicamente as mesmas.

    Armadura

    Em um motor, a armadura recebe a corrente proveniente de uma fonte elétrica externa. Isto faz a armadura girar. Em um gerador, a armadura gira por efeito de uma força mecânica externa. A tensão gerada na armadura é então ligada a um circuito externo. Em resumo, a armadura do motor recebe a corrente de um circuito externo (a fonte de alimentação), e a armadura do gerador libera corrente para um circuito externo (a carga). Como a armadura gira, ela é também chamada de rotor. O núcleo da armadura é construído de camadas laminadas de aço, provendo uma faixa de baixa relutância magnética entre os pólos. As lâminas servem para reduzir as correntes parasitas no núcleo, e o aço usado é de qualidade destinada a produzir uma baixa perda por histerese. O núcleo contém ranhuras axiais na sua periferia para colocação do enrolamento da armadura, constituído de bobinas isoladas entre si e do núcleo da armadura, colocadas nas ranhuras e eletricamente ligadas ao comutador.

    Comutador

    Uma máquina CC tem um comutador para converter a corrente alternada (induzida) que passa pela sua armadura em corrente contínua liberada através de seus terminais (no caso do gerador). O comutador é constituído por segmentos de cobre, com um par de segmentos para cada enrolamento da armadura. Cada segmento do comutador é isolado dos demais por meio de lâminas de mica. Os segmentos são montados em torno do eixo da armadura e são isolados do eixo e do ferro da armadura. No estator da máquina são montadas duas escovas fixas, que permitem contatos com os segmentos opostos do comutador.

    Escovas

    São conectores de grafita fixos, montados sobre molas que permitem que eles deslizem (ou “escovem”) sobre o comutador no eixo da armadura. Assim, as escovas servem de contato entre os enrolamentos da armadura e a carga externa (no caso do gerador). As escovas estão sempre instantaneamente conectadas a um segmento do comutador e em contato com uma bobina localizada na zona interpolar.

    Enrolamento de Campo

    Este eletroímã produz o fluxo interceptado pela armadura. Em um motor, a corrente para o campo é fornecida pela mesma fonte que alimenta a armadura. Em um gerador, a fonte de corrente de campo pode ser uma fonte separada, chamada de excitador, ou proveniente da própria armadura. Constituído de umas poucas espiras de fio grosso para o campo-série ou muitas espiras de fio fino para o campo-shunt (em derivação).