Edição de áudio

Edição de Áudio

1 Natureza do som

Se uma árvore caísse na floresta e não houvesse ninguém lá para ouvir, ela faria barulho...?” Esta é uma velha pergunta que nunca obteve uma resposta definitiva. Quer dizer, até agora, porque em sua definição mais completa, o som deve ter três elementos essenciais: geração, propagação (ou transmissão) e recepção.

Então se uma árvore cair e não houver ninguém para ouvir, o terceiro elemento essencial (recepção) não ocorreu, portanto não houve som. Todos os três elementos são importantes e a compreensão de cada é essencial para um entendimento completo de amplificação de música e som.

Para que o som seja gerado, algo deve por o ar em movimento. Isto significa que qualquer coisa que vibre pode gerar som seja ela cordas de um violão, a palheta de um oboé ou suas próprias cordas vocais.

O que é uma onda?

O mundo está cheio de ondas: ondas sonoras, ondas de luz, ondas d’água, ondas de rádio, raios X e outras. A sala onde você está sentado está sendo “bombardeada” de ondas de luz, de rádio, ondas sonoras de diferentes frequências; as ondas de baixa freqüência se propagam inclusive através das paredes. Praticamente todos os meios de comunicação dependem de ondas de todos os tipos. Embora as ondas sonoras sejam muito diferentes das ondas de rádio e das ondas do mar, todas as ondas possuem certas propriedades comuns.

Uma das primeiras propriedades notadas nas ondas é que elas podem transportar energia e informações de um lugar para outro, em um meio, sem transportar o meio. Um distúrbio é passado de um ponto a outro quando a onda se propaga. No caso das ondas de luz a mudança ocorre na eletricidade e no caso de ondas de rádio o distúrbio é magnético. Nas ondas sonoras há mudança na pressão e densidade. Mas em qualquer caso o meio volta ao estado de repouso após a onda passar.

As ondas sonoras possuem certas coisas em comum. Por exemplo, elas podem se refletir, refratar ou difratar. As ondas possuem velocidades diferentes de acordo com o tipo e o local onde se propagam. As ondas de luz e rádio viajam a uma velocidade de aproximadamente 3x108 metros por segundo (m/s) e as ondas sonoras aproximadamente a 344 m/s. As ondas de luz e de rádio podem viajar no espaço, no entanto as ondas sonoras precisam de algum meio material (gás, liquido ou sólido) para poderem se propagar.

 

Frequência

Um ciclo é o movimento completo que a onda dá em torno do seu eixo. Assim que ela começar a se repetir é que começará o 2o ciclo. Então quanto mais ciclos por segundo mais alta é a freqüência. E consequentemente mais agudo o som. A forma mais simples de representar um som é através do gráfico da relação freqüência x tempo.

Observe a figura a seguir:

O ouvido humano possui uma limitação na percepção do número de vezes em que o som se repete em função do tempo (segundo). Teoricamente o mínimo possível de se escutar é 20Hz e o máximo 20000Hz ou 20KHz. Quando a onda vibra abaixo de 20Hz dizemos que a freqüência é infra-som e quando a onda vibra acima de 20KHz dizemos que a frequência é ultra-som.

A frequência sonora é medida em Hertz (Hz) em homenagem ao cientista alemão estudioso do assunto, Henritch Hertz.

Amplitude ou loudness

A amplitude da onda, ou seja, o quão mais alto ela atinge no gráfico, determina o nível de volume do som. Então, quanto mais alto ela chegar mais forte será o som.Observe as duas ondas abaixo.

 

A onda A possui a mesma freqüência da onda B, porém sua amplitude é menor do que a onda B. Portanto, a onda A soa com menor intensidade.

Fase

Quando duas ondas ocorrem ao mesmo tempo, elas interagem uma com a outra e cria uma nova forma de onda. A fase refere-se ao efeito que uma onda tem sobre outras. Duas ondas que se iniciam simultaneamente com a mesma amplitude e mesma freqüência produzirão uma nova onda com a mesma freqüência, porém de amplitude maior. Veja figura abaixo. A amplitude será a soma das amplitudes em cada onda. Diz-se que estas duas ondas estão em fase.

Soma de ondas de mesma fase

Se duas ondas com mesma amplitude e frequência iniciarem em fase oposta a onda gerada será cancelada. Diz-se que as ondas estão em fase invertida.

Soma de ondas em fases invertidas

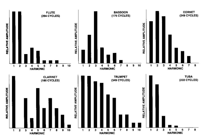
Timbre

Um tom complexo pode ser caracterizado como duas ou mais ondas tendo relação de frequência, amplitude e fase diferentes. Ondas que têm freqüências relacionadas por números inteiros são chamados harmônicos. Estes harmônicos podem ser adicionados a tons puros por meio eletrônicos ou podem ser inerentes ao próprio instrumento (forma do instrumento, tipo de material de que é feito etc).

Se uma mesma nota for tocada em um piano e em um violino podemos perceber facilmente a diferença entre um e outro. O motivo pelo qual um piano soa diferente de um violino é que são gerados pelos dois instrumentos harmônicos naturais diferentes. Vistos de outra forma, harmônicos são tons “fantasmas” que são gerados como resultado da forma de tocar ou da estrutura do instrumento.

Por exemplo, quando tocamos um tom de 440 no piano, a corda vibra em 440Hz que é chamada de fundamental. No entanto, outras vibrações ocorrem devido à estrutura do piano. Estas notas poderiam ser duas vezes a fundamental, três vezes, quatro vezes etc. Isto significa que percebemos o som de 440 Hz e outras frequências como 880 Hz, 1320 Hz, 1760 Hz etc. também estão presentes e afetam todo o som do piano. Esta quantidade de harmônicos e a intensidade de cada um em relação a fundamental criam um som único em cada instrumento. Isto é conhecido como o timbre do instrumento.

Harmônicos de uma fundamental

Quanto uma nota é o dobro da freqüência de outra, musicalmente ela está uma 8 acima. À medida que os harmônicos se distanciam da fundamental, a intensidade do som tende a diminuir.

Na figura abaixo podemos observar um som com a mesma frequência (mesma nota), mesma amplitude (mesmo volume), porém com timbre diferentes.

Diferentes formas de onda (timbres diferentes)

Na figura a seguir podemos observar o espectro de alguns exemplos de formas de onda. Espectro refere-se ao gráfico que mostra a relação dos harmônicos de um som com a sua fundamental.

Exemplos de formas de ondas e Espectro

Frequência e Tom

Tom e frequência estão relacionados. Tom é atributo psicológico de um som musical,enquanto a frequência é o fenômeno físico. Nós percebemos o tom de uma frequência de uma onda.

Como já vimos, nossos ouvidos podem perceber alturas entre 20Hz e 20000Hz. Mas não ouvimos essas frequências de forma igual. Nós somos mais sensíveis às frequências médias do que às altas e baixas frequências. Estas diferentes sensibilidades às frequências também mudam com a amplitude.

Em baixos volumes não podemos ouvir as baixas frequências tão bem. No entanto, à medida que o nível do volume aumenta, tendemos a ouvir estas freqüências mais parecidas com as médias.

Faixas de frequências e audibilidade

Efeito Doppler

Basicamente as frequências das ondas sonoras que chegam ao observador são as mesmas frequências que vibram na fonte sonora. Brilhante! No entanto, se a fonte sonora ou o observador estiver em movimento, tudo muda. Se eles estiverem se aproximando um do outro, a freqüência observada aumenta; se estiverem se distanciando a freqüência observada diminui. Esta mudança de frequência é chamada Efeito Doppler.

 

Reflexão

A reflexão de ondas de luz em um espelho é um fenômeno muito comum para nós. No caso das ondas sonoras o eco é um tipo de reflexão que ocorre quando alguém bate palma, por exemplo, e o som bate numa parede e volta.

Exemplo de Reflexões.

Refração

Quando a velocidade de uma onda muda, ocorre um fenômeno chamado refração. Esta mudança pode resultar na direção da propagação. A mudança de velocidade pode ocorrer instantaneamente quando as ondas passam de um meio para outro ou pode ocorrer gradualmente dentro do mesmo meio.

Exemplo de Refração

Difração

Quando as ondas encontram um obstáculo, elas tendem a contornarem o obstáculo. Quando isso acontece ocorre um efeito chamado difração. As difrações também acontecem quando as ondas passam através de pequenas aberturas.

Exemplo de Difração

2 Decibel

O decibel é equivalente a 1/10 do Bel. O Bel é assim chamado em homenagem a Alexander Graham Bell, inventor com várias patentes, dentre elas a do telefone. Dada a dificuldade em trabalhar com variações tão grandes existentes entre os níveis de potência dos sinais elétricos em linhas telefônicas, Bell optou por traduzi-las em variações bem menores através de uma escala logarítmica.

É importante lembrar que trabalhar com escalas logarítmicas é, para nós, muito conveniente, já que na natureza encontramos uma infinidade de situações em que estímulo e reação se relacionam de forma logarítmica. A escala logarítmica escolhida por Bell foi a de base dez. Ela fornece intervalos iguais para cada acréscimo, ou decréscimo, à razão de x10 (vezes dez). Portanto, para cada variação na potência de um sinal à razão de x10 ou ÷10, ele acrescentava ou subtraía 1 Bel. Podemos ver isto na escala abaixo:

O Bel ficou, portanto, definido como o logaritmo na base dez da relação entre duas potências,Bel = log (P1/P0)

E o decibel, por conseqüência, ficou definido como 10 vezes o logaritmo na base dez da relação entre duas potências,

dB = 10 log (P1/P0)

Essas potências podem ser de natureza elétrica, mecânica, acústica ou outra qualquer.

Sempre que uma potência for o dobro de uma outra ela será 3 dB maior ou se for metade será 3 dB menor; Sempre que uma potência for dez vezes uma outra ela será 10 dB maior ou se for 1/10 será 10 dB menor.

A VARIAÇÃO DE POTÊNCIA é expressa como sendo 10 log (P1/P0)

Substituindo os valores de potência pelos de voltagem, teremos: 20 log (P1/P0)

O multiplicador 20 também aparece nas relações , em bD, entre correntes elétricas e entre pressões acústicas.

Sempre que uma voltagem for o dobro de uma outra ela será 6 dB maior ou se for metade será 6 dB menor .Sempre que uma voltagem for dez vezes de uma outra ela será 20 dB maior, ou se for 1/10 será 20 dB menor.

A VARIAÇÃO DE TENSÃO é expressa como sendo 20 log (V1/V0)

Instrumentos musicais irradiam energia acústica e a taxa na qual um instrumento irradia esta energia é a chamada de “potência de saída” do instrumento. Nossos ouvidos são sensíveis à potência acústica. A unidade de medida para esta potência acústica é o Watt acústico.

O ouvido humano é uma ferramenta notável. Ele possui a habilidade de detectar sons extremamente baixos e extremamente altos. Se uma fonte sonora pudesse gerar um Watt acústico de potência, ele seria classificado como um som muito alto. De fato, machucaria nossos ouvidos. Isto é conhecido como “limiar da dor”.

Inacreditavelmente, se uma fonte sonora produzisse um trilionésimo de Watt acústico (0,000000000001), nós, ainda assim, conseguiríamos perceber o som. Este som seria muito suave e é chamado de “limiar do som”. Assim, a diferença entre o mais suave e o mais forte que podemos perceber é um trilhão de vezes.

Devido a esta grande variação, usar a unidade de Watt acústico dificultaria por envolver números grandes. Assim, ao invés de usarmos a potência acústica e Watts acústicos, usaremos o Nível de Pressão Sonora (Sound Pressure Level) SPL que é medido em Decibéis.

Outro importante fato da audição é que ela é não-linear. Isto é, dobrar a potência acústica de um instrumento não fará dobrar o seu volume. A escala de medição em decibéis leva em conta a natureza não-linear da audição, sendo assim uma maneira mais descritiva de como nós ouvimos

Decibéis são baseados em razões e logaritmos. Logaritmos são simplesmente uma forma de reduzir faixas grandes de números. Dissemos que a variação da percepção sonora é de 0,000000000001 Watt acústico até 1 Watt acústico. Usando decibéis podemos substituir todos estes números por zero decibel para o menor som que podemos ouvir até 120 dB para o som mais forte.

Observe a tabela abaixo:

O decibel pode ser usado para medir praticamente qualquer coisa que seja baseado em taxas. Ele sempre compara um nível a outro. O uso mais comum dos decibéis é para comparar níveis de pressão sonora, níveis de potências e níveis de tensões. É importante lembrar que precisam ser comparados a outros números. Por exemplo, 0 dB SPL é o som mais suave que podemos ouvir. Dizer que um concerto está a 90 dB significa que o nível de pressão sonora (SPL) do concerto é 90 dB maior do que o som mais suave que podemos ouvir ou 30 dB abaixo da dor. Agora é importante analisar a relação entre potência e nível de pressão sonora. Veja a seguinte tabela:

Esta tabela mostra quanto mais potência é necessário para conseguir um aumento qualquer em dB. Por exemplo, se você quiser aumentar a SPL em 10 dB, você precisa aumentar a potência dez vezes acima da atual. Digamos que você estivesse usando um amplificador de 100 W que produziu um nível de SPL de 95 dB. Para atingir 105 dB SPL, você precisaria de um amplificador de 1000 W (10 vezes 100 Watts).

Decibéis são usados para descrever os níveis de pressão sonora porque são semelhantes à forma que os humanos ouvem. Lembre-se de três regras para sua utilização:

1. Uma mudança de um decibel na pressão sonora é impossível de detectar para a maioria das pessoas

2. O ouvido humano médio percebe diferenças de volume em incrementos de 3 dB. Isto significa que para gerar a menor mudança no volume percebido, a potência deve ser dobrada.

3. Para dobrar o volume percebido, o nível de pressão sonora deve ser aumentado em 10 dB, o que exige 10 vezes mais potência!

Assim, se você tivesse um amplificador de guitarra de 60 Watts, para fazer a menor variação de volume (3 dB) você precisaria de um amplificador de 120 Watts. Para dobrar o volume, você precisaria de um amplificador de 600 Watts (60 vezes dez