Hidrodinâmica

Encanador Residencial e Predial

1 Introdução à Hidrodinâmica

Introdução

A hidrodinâmica estuda os líquidos em movimento. Aqui não serão considerados os casos em que o escoamento do líquido é turbulento.

Escoamento estacionário

Na figura esquematizamos um tubo dentro do qual um líquido escoa da esquerda para a direita.

Nos pontos A,B e C,uma partícula do líquido tem,respectivamente,as velocidades:

O escoamento é dito estacionário ou em regime permanente se qualquer partícula do fluido, ao passar por A, B e C, o faz com velocidades respectivamente iguais a

Nesse tipo de escoamento, cada partícula que passar por um determinado ponto seguirá a mesma trajetória das partículas precedentes que passaram por aqueles pontos. Tais trajetórias são chamadas linhas de corrente.

Na figura representamos as linhas de corrente I, II e III.

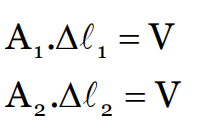
Equação da continuidade

Na figura, esquematizamos um tubo. Sejam A¹ e A² as áreas das secções das retas em duas partes distintas do tubo. As velocidades de escoamento em A¹ e A² valem,respectivamente,

Como o líquido é incompressível, o volume que entra no tubo no tempo ? t é aquele existente no cilindro de base A¹ e altura 1 1 ? x =v .?t.Esse volume é igual àquele que, no mesmo tempo, sai da parte cuja secção tem área A2 .

 

Se dividirmos o volume escoado ? V pelo tempo de escoamento ? t, teremos uma grandeza denominada vazão em volume, e é representada pela letra Q.

Podemos afirmar então que:

E finalmente chegamos a Equação da Continuidade:

Pela equação da continuidade podemos afirmar que “a velocidade de escoamento é inversamente proporcional à área da secção transversal”.

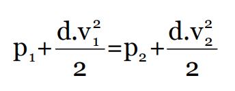
2 Equação de Bernoulli

Daniel Bernoulli, mediante considerações de energia aplicada ao escoamento de fluidos, conseguiu estabelecer a equação fundamental da Hidrodinâmica. Tal equação é uma relação entre a pressão, a velocidade e a altura em pontos de uma linha de corrente.

Considerando duas secções retas de áreas A¹ e A² num tubo de corrente, sejam p¹ e p² as pressões nessas secções.A densidade do fluido é "d" e as velocidades de escoamento valem,respectivamente v¹ e v². Sejam 

as forças de pressão exercidas pelo fluido restante sobre o fluido contido no tubo.

A soma algébrica dos trabalhos realizados pelas forças

é igual a soma das variações das energias cinética e potencial entre as secções (1) e (2):

Como

F = p.A

e

d= m.V

obtemos

Também sabemos que:

Chegamos a

E dividindo cada termo por V:

obtemos

E finalmente chegamos a Equação de Bernoulli

Se o tubo for horizontal, então h¹ = h² e a equação fica simplificada para:

Percebe-se facilmente que o Teorema de Stevin está contida na equação de Bernoulli. Para um líquido em repouso,v¹ = v² =o e obtemos:

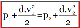
3 Aplicações da Equação de Bernoulli

Tudo de Venturi

Adaptando-se tubos verticais laterais, observa-se que, na parte mais larga, a pressão é maior do que na parte mais estreita. O contrário acontece com a velocidade. De fato, pela equação da continuidade, tem-se:

Pela equação de Bernoulli

conclui-se que:

p¹ > p²

pois

V¹ < V²

Em resumo, nos condutores de seção variável, nas regiões mais estreitas, a pressão é menor e a velocidade de escoamento é maior.

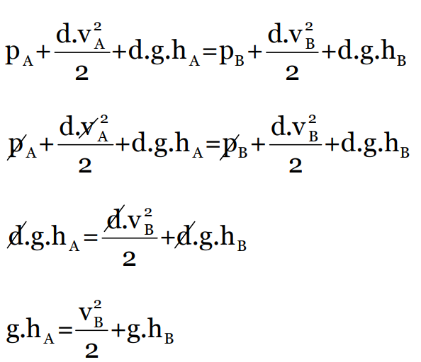
4 Velocidade de escoamento de fluidos através de pequenos orifícios

Para ser possível o cálculo da velocidade de escoamento do fluido através do pequeno orifício B, basta considerar que:

Porque esses pontos estão em contato direto com a atmosfera. Vamos considerar que o nível do líquido desce lentamente em virtude de em B a abertura ser muito pequena:

Logo, tem-se:

que é um resultado idêntico ao se aplicar a equação de Torricelli (equação abaixo) na queda livre.

Sustentação de aviões

Quando um avião se desloca horizontalmente ou com uma pequena inclinação para cima, a velocidade do ar acima da asa é maior do que na sua face inferior; consequentemente, a pressão do ar é maior embaixo do que em cima da asa.

Nessas condições surge uma força de sustentação de baixo para cima que permite ao aparelho se manter no ar sem cair.

5 Daniel Bernoulli

Radicada em Basiléia, Suíça, a família Bernoulli (ou Bernouilli) tem um papel de destaque nos meios científicos dos séculos XVII e XVIII: dela descendem nada menos que dez cientistas eminentes, que revolucionarão a Física e a Matemática do período. Pela diversidade e profundidade de seus trabalhos, Daniel Bernoulli - simultaneamente filósofo,físico,fisiologista,médico,botânico e matemático é considerado por muitos o mais brilhante representante dessa família excepcional.

Sobrinho do famoso físico e matemático Jacques (ou Jakob) Bernoulli (o criador dos números de Bernoulli, que desenvolveram o uso do cálculo infinitesimal),filho de Johann Bernoulli (doutor em Medicina e professor de Física Aplicada da Universidade de Basiléia), Daniel nasceu em Gröningen, na Holanda, a 9 de fevereiro de 1700.Os Bernoulli estavam radicados na cidade havia algum tempo, pois Johann era catedrático na universidade local. Em 1705, com a morte de Jakob, eles retomaram à Basiléia, pois coube a Johann assumir o lugar do irmão à testa da cadeira de matemática da importante universidade.

Aos treze anos, Daniel já iniciava seus estudos de Filosofia e Lógica, completando o curso colegial em dois anos. Durante esse período, ele recebeu ensinamentos de Matemática de seu próprio pai e, especialmente, do irmão mais velho, Nikolaus. O verdadeiro desejo familiar, entretanto, era encaminhá-lo para a carreira de comerciante.A insistência de Daniel, porém, levou Johann a autorizar sua inscrição no curso de Medicina, primeiramente em Basiléia, depois em Heidelberg e Estrasburgo. Somente em 1720 ele retomaria à Suíça, obtendo o doutorado no ano seguinte, com uma dissertação intitulada De respiratione.

Após a conclusão do curso, não encontrando, imediatamente, um posto na Universidade de Basiléia, Daniel resolveu juntar-se ao irmão Nikolaus, em Veneza, onde este último continuava seus estudos de Medicina com Pietro Antonio Michelotti.Também desejava trabalhar com G. B. Morgagni, em Pádua, mas não pode realizar essa vontade devido a uma doença grave.

Nessa época, publicou seu primeiro trabalho, as Exercitationes Mathematicae, chamando a atenção dos meios científicos. A obra contém quatro trabalhos diversos, estudando, sucessivamente, jogos de azar, a queda da água de recipientes abertos, a equação de Riccati (equação diferencial cuja solução não pode,em geral,ser reduzida a integração - motivo porque despertou a curiosidade dos matemáticos) e as figuras limitadas por dois arcos circulares.Nesse trabalho já se demonstrava o talento especial de Daniel para a Física, a Mecânica e a tecnologia, usando a Matemática como suporte.

Seu sucesso resultou num convite, para lecionar na Academia de São, Petersburgo, na Rússia, para onde ele partiu, em 1725, com Nikolaus. No mesmo ano, ganhou o prêmio da Academia de Paris, o primeiro de uma série de dez lauréis que lhe foram conferidos por essa entidade.

A estada de Daniel em São Petersburgo deixou-lhe amargas lembranças. Além de perder o irmão mais velho, que tanto influenciara sua formação, sofreu bastante com os rigores do clima. Por isso, solicitou três vezes uma cadeira na Universidade de Basiléia, que só obteve em 1733, passando a dirigir o departamento de Anatomia e Botânica.

Na Rússia, entretanto, sua produção intelectual foi extremamente rica, principalmente depois de 1727, quando trabalhou com outro grande cientista: Leonhard Euler. Seus estudos dessa época incluem escritos em Medicina, Matemática e Ciências Naturais (especialmente Mecânica), geralmente independentes um do outro, embora simultâneos.Assim, em 1728, publicou uma teoria mecânica da contração muscular. Também realizou pesquisas sobre o nervo óptico e o trabalho mecânico do coração, além de abordar questões de Fisiologia, como o cálculo da quantidade máxima de trabalho realizada pelo homem.

Seu verdadeiro interesse, porém, situava-se nos campos da Física e da Matemática e, já nessa época, ele completava o esquema de sua obra mais marcante, a Hidrodinâmica - importante estudo de mecânica dos fluidos -, além de realizar um trabalho sobre oscilações e um tratado original da teoria da probabilidade.

Em 1733 retornou à Basiléia, junto com o irmão mais novo, Johann, que também se radicara em São Petersburgo. Aproveitou a viagem para visitar várias cidades européias, sendo bem recebido no mundo científico.

Novamente instalado na Suíça, Daniel entregou-se às suas aulas de Medicina, sem abandonar, porém, os estudos de Matemática e Mecânica, sua verdadeira paixão. Publicou vários artigos e completou a Hidrodinâmica (em 1734), que só publicou em 1738.

A mecânica dos fluidos divide-se em duas partes: a hidrostática, que estuda o equilíbrio dos fluidos, e a hidrodinâmica, que estuda seu movimento. A primeira nasceu com Arquimedes - de cuja obra Daniel Bernoulli é considerado um continuador -, mas recebeu um estudo sistemático somente no final do século XVII, com Stevin e Pascal.Já os fundamentos da dinâmica dos líquidos surgem apenas no século XVIII, principalmente graças a Euler. A dinâmica dos gases apresenta impulso maior na atualidade, por sua aplicação ao vôo de aparelhos mais pesados que o ar.

Daniel Bernouili inspirou-se em Demócrito e Arquimedes para desenvolver as idéias centrais de sua mecânica dos fluidos. Do primeiro ele tirou a concepção de que a matéria é composta de átomos que se movem rapidamente em todas as direções. Mas foi a partir dos conceitos de hidrostática e mecânica desenvolvidos por Arquimedes, que o matemático suíço estruturou sua hidrodinâmica.

O grande sábio de Siracusa foi o primeiro a assinalar, ainda no século II a.C., que os fluidos não guardam espaços vazios entre si, apresentando-se, portanto, macroscopicamente contínuos e uniformes.

O norueguês Stevin, contemporâneo de Galileu, estudou a distribuição das pressões nos líquidos em equilíbrio, complementando e sistematizando o estudo do princípio de Arquimedes. Não se sabe se Blaise Pascal (1623-1662) tinha conhecimento do trabalho de Stevin, mas ele completou e confirmou seus resultados, assinalando como a transmissão das pressões a todos os pontos de um líquido em equilíbrio podia ser aproveitada na prensa hidráulica.

Foi Torricelli quem se preocupou primeiro com o problemas suscitados pelo movimento dos fluidos. Talvez o conjunto de estudos que realizou sobre o escoamento de um líquido por um orifício seja uma de suas mais importantes obras, apesar de relativamente pouco conhecida. A chave da interpretação das peculiaridades do movimento dos fluidos ideais, porém, foi dada no Tratado de Hidrodinâmica, que Daniel Bernoulli publicou em Estrasburgo, em 1738.

O tratado principia com uma breve história da Hidráulica, seguida de pequena apresentação da Hidrostática. Mas, nos treze capítulos, é aos fluidos elásticos - os gases - que Bernoulli dedica a parte mais importante da obra, esboçando uma teoria cinética dos gases. Para ele, esses fluidos são compostos "de minúsculas partículas que se deslocam de cá para lá, numa movimentação rápida". A ideia básica de sua teoria cinética é a de que a pressão de um fluido sobre a parede do recipiente que o contém é devida aos inúmeros choques (contra a parede) das pequenas partículas (moléculas) que compõem o fluido.A parede fica sujeita a uma multiplicidade de forças que, em média, correspondem a uma força constante distribuída por toda a superfície em contato com o fluido.

Na mesma obra, o cientista deduz o teorema que leva seu nome - e que exprime, no fundo, a conservação da energia mecânica nos fluidos ideais, afirmando que, em qualquer ponto do fluido, há uma relação constante entre três grandezas: velocidade, pressão e energia potencial do fluido. É um dos princípios fundamentais da mecânica dos fluidos, uma vez que, com algumas correções (considerando-se a compressibilidade e a viscosidade dos fluidos reais), pode, ser aplicado ao movimento de qualquer tipo de fluido.Acima de tudo, ele permite calcular a velocidade de um fluido medindo-se as variações de pressão (a diminuição de velocidade provoca o aumento de pressão e vice versa).

Partindo da ideia da conservação da energia mecânica - característica encontrada mesmo em um líquido isento de forças viscosas - Bernouili mostrou que, em igualdade de nível, há uma diferença de pressões devida à diferente velocidade de escoamento nos vários pontos de um fluido. Por exemplo, num dado ponto do fluido, no qual este último esteja em repouso, a pressão aí será maior, pois está associada a uma forma de energia potencial, ao passo que num outro ponto onde o fluido se move rapidamente a pressão é menor, pois nessa posição à velocidade do fluido corresponde uma dose de energia cinética.Dado que a energia total é a mesma em todos os pontos do filete líquido, nos pontos de maior energia cinética a pressão é menor e vice-versa.

A própria força de sustentação dos aviões se deve à existência da diferença de pressões, que Bernoulli tão bem assinalou. De fato, como o trajeto que os filetes de ar devem percorrer na parte superior do perfil da asa é bem maior que na parte inferior, estabelece-se uma diferença de velocidade nos filetes, de forma que, onde a velocidade é maior, a pressão é menor. Essa diferença resulta numa força ascensional.

Além do vôo do mais pesado que o ar, foram os conhecimentos de Hidrodinâmica que possibilitaram muitos dos confortos da vida atual (desde o cálculo de uma rede de adução e distribuição de água até o projeto dos submarinos, aviões supersônicos, foguetes e mesmo automóveis e outros veículos modernos).Também nas turbinas a gás, instalações frigoríficas, indústrias químicas, motores térmicos, nos quais, ao lado da Termodinâmica, a teoria do escoamento dos fluidos fornece a base teórica indispensável à sua construção.

Ao publicar sua obra, Daniel teve que suportar as críticas do próprio pai, que o acusou de partir de "um princípio indireto, o qual é perfeitamente verdadeiro, mas que ainda não é acolhido por todos os filósofos". Johann pretendia estudar o movimento das águas unicamente à luz dos princípios da Dinâmica, pelo que foi felicitado pelo próprio Euler (amigo íntimo de Daniel, com quem mantinha correspondência desde a partida deste último de São Petersburgo).Em 1742, Johann publica sua Hidráulica, com a pré-data de 1732, pretendendo, desta forma, a prioridade de algumas descobertas de seu filho.

Os meios científicos, entretanto, consagraram o livro de Daniel. Este continuou a lecionar em Basiléia, obtendo, em 1743, a cadeira de Fisiologia, mais próxima de seus verdadeiros interesses. Finalmente, em 1750, ele obtém a cadeira de Física, que ocuparia até 1776. Seis anos depois vem a falecer, sendo sepultado em Peterskirche, perto do lugar onde residia.