Análise Estática de Sistemas de Energia Elétrica

Automação Elétrica

1 Introdução

Centros de controle modernos de sistemas elétricos são equipados com ferramentas computacionais no intuito de apoiar o operador em sua função diária de operação da rede elétrica, buscando garantir um serviço de qualidade, a um mínimo número de interrupções no fornecimento de energia e a um mínimo custo possível.

A operação é feita de forma a manter o sistema em modo seguro, ou seja, garantindo que o sistema continuará operando mesmo na ocorrência de falhas em equipamentos da rede elétrica. Por exemplo, uma unidade geradora pode sair de operação pela falha de algum componente auxiliar, porém mantendo-se uma apropriada quantidade de reserva girante no sistema, as unidades geradoras restantes podem suprir a demanda sem que haja um grande desvio na freqüência do sistema ou que seja necessário cortar parte da carga. Igualmente, uma linha de transmissão pode ser afetada por uma tempestade e ser automaticamente desligada do sistema pelos dispositivos de proteção. Se no despacho de geração foi levada em conta uma reserva no carregamento das linhas, após a falta, a rede de transmissão continuará operando sem violação de limites de carregamento em nenhuma outra linha.

Por não podermos saber o momento exato em que ocorrerá a falha no sistema elétrico, o mesmo deve ser operado de modo à nunca passar a uma condição perigosa, caso algum provável evento venha a ocorrer. Como os equipamentos de um sistema de energia elétrica são projetados para trabalhar sob determinados limites, estes são protegidos por dispositivos automáticos que podem retirá-los do sistema, caso haja uma violação de limites operativos. Este evento pode ser seguido de uma série de ações de retirada de outros equipamentos e se esse processo de falhas em cascata continua, todo o sistema pode entrar em colapso.

Um exemplo deste tipo de sequencia de eventos que podem causar um blecaute pode começar com uma simples abertura de linha devido a uma falha nos isoladores, os circuitos remanescentes do sistema vão servir de caminho para a energia que estava fluindo pela linha agora aberta. Se uma das linhas remanescentes se tornar muito carregada, ela pode abrir pela ação de um relé de proteção, causando um carregamento maior nas linhas remanescentes. Esse tipo de processo é chamado de “desligamentos em cascata”. Os sistemas elétricos devem ser operados de maneira que um evento simples não deixe outros equipamentos sobrecarregados, especificamente para evitar os desligamentos em cascata [1].

A operação do sistema elétrico, no entanto, é uma tarefa complexa. A maioria dos grandes sistemas de potência possui equipamentos instalados para permitir ao pessoal da operação monitorar e operar o sistema de maneira confiável.

O monitoramento do sistema elétrico é feito através de sistemas supervisórios (Supervisory Control and Data Acquisition – SCADA). Dados de grandezas elétricas, como fluxo de potência ativa nas linhas e tensão nas barras e dados lógicos como estados de chaves e disjuntores são enviados periodicamente ao centro de operação e controle. Os dados são apresentados aos operadores em telas de computadores em desenhos unifilares das subestações, gráficos ou tabulares. O sistema supervisório também permite que o operador atue no sistema através de telecomandos, abrindo ou fechando chaves e disjuntores, alterando posição de tap de transformador, etc.

O monitoramento do sistema elétrico é uma das funções que visa aumentar a segurança do sistema elétrico. No entanto a complexidade inerente da operação de um grande sistema elétrico torna necessária a utilização de funções sofisticadas de diagnóstico, análise e aconselhamento, chamadas de Funções de Análise de Redes. Estas são disponíveis nos Sistemas de Gerenciamento de Energia (Energy Management SystemEMS) e objetivam melhorar a qualidade da informação disponível para o operador na tomada de decisão.

Nesse contexto das funções de análise de redes encontram-se os programas voltados para a Análise de Segurança do Sistema. Estes podem ser divididos em análises dinâmicas e análises estáticas (em regime permanente). As funções de análise de segurança devem, a partir de uma lista de contingências prováveis, simular a ocorrência de cada uma das contingências e ao final do processamento fornecer ao operador quais medidas devem ser tomadas, se necessário, para aumentar o nível de segurança do sistema.

Dá-se o nome de contingência ao desligamento ou saída repentina de componentes do sistema elétrico. A contingência pode ser ocasionada por curto-circuitos, sobrecargas, ou mesmo pela atuação errada de equipamentos de proteção devido a desgaste, envelhecimento, etc. As contingências mais comuns são: saídas de linhas de transmissão ou transformadores, desligamento de unidades geradoras, saída de componentes shunts e saída de carga.

2 Análise de Segurança Estática em Sistemas Elétricos

Introdução

A garantia de um fornecimento de energia elétrica com qualidade, sem interrupções, é requisito fundamental numa sociedade moderna. Os sistemas de transmissão e geração de energia são projetados de forma a poder sobreviver a distúrbios onde ocorra a indisponibilidade temporária de equipamentos, mas, obviamente, dentro de uma certa limitação econômica. O crescimento da demanda de energia, nem sempre é acompanhado por obras de expansão da rede elétrica ou do parque de geração, seja por entraves financeiros, questões ambientais, ou outros fatores. Com isso, o sistema elétrico opera cada vez mais próximo de seus limites.

Nesse contexto, as função de Análise de Segurança executada nos centros de operação e controle têm papel fundamental, na medida em que aumentam o nível de segurança no sistema (garantia de fornecimento de energia sem interrupções) e ainda otimizam a operação do sistema, explorando os recursos existentes na rede e buscando soluções mais econômicas.

A evolução do conceito de segurança

A partir do blecaute na cidade de Nova York em 1965 [2], o conceito de segurança nos sistemas elétricos passou a ser estabelecido no sentido de representar a habilidade dos sistemas em continuar sua operação, respeitando seus limites operacionais de segurança, mesmo após a ocorrência de falhas em alguns de seus componentes. Após este evento, foi mencionado, pela primeira vez na literatura, o termo “segurança” em [3], 1966. Também nesta época foi estabelecida a estrutura básica da classificação de estado de operação dos Sistemas Elétricos de Potência, proposta por Dy Liacco em [4]. Dy Liacco definiu o sistema podendo operar em três condições: Normal, Emergência e Restaurativo.

Conceitos

Em 1969 essa classificação foi completada incluindo o estado Alerta [5]. Para a análise de segurança em regime permanente, o estado Alerta é definido quando o sistema está operando dentro de seus limites de segurança, mas uma contingência pode levá-lo a uma condição de operação violada. Em 1987, Monticelli, et. Alli., em [6], enriquecem o conceito de segurança com as definições de modo de segurança preventivo e modo de segurança corretivo, onde é levado em consideração o fato do sistema elétrico suportar operar com limites de operação violados durante certo tempo, antes da atuação dos equipamentos de proteção.

Atualmente, a análise de segurança em sistemas elétricos de potência está dividida em duas condições de análise:

  • Análise Estática (regime permanente);
  • Análise Dinâmica;

Na avaliação de segurança estática, as pertubações, como perda de unidades de geração e de transmissão, são processadas levando em conta que a transição entre os estados atinge sempre um equilíbrio estável. Este estado pode, contudo, nunca ser alcançado, devido aos efeitos de saída em cascata associado a problemas de instabilidade, onde uma análise dinâmica é recomendada. A avaliação de segurança dinâmica visa examinar o comportamento dinâmico do sistema logo após um distúrbio, para identificar casos que possam provocar efeitos em cascata que levem o sistema a não atingir um estado estável [7]. A preocupação com a dinâmica do sistema tem motivado muitos trabalhos e não faz parte do objetivo deste estudo.

Definição de Análise de Segurança Estática

Conceitos

Cabe, nesta seção, uma classificação formal dos vários estados da operação em tempo real do sistema elétrico. Um sistema de energia elétrica, quando operando em regime estacionário, está sujeito a três tipos de restrições: de carga, de operação e de segurança. As restrições de carga representam as injeções de potência ativa e reativa nas barras de carga e as injeções de potência ativa nas barras de geração. As restrições de operação representam os limites impostos às magnitudes das tensões nas barras, aos fluxos de potência aparente nas linhas de transmissão e transformadores, e às injeções de potência reativa nas barras de geração.

As restrições de segurança estão associadas a um conjunto preestabelecido de contingências possíveis no sistema como: perda de linha, geradores, capacitores ou reatores em derivação, entre outros equipamentos.

Atualmente, a análise de segurança em sistemas elétricos de potência está dividida em duas condições de análise:

  • Análise Estática (regime permanente);
  • Análise Dinâmica;

Na avaliação de segurança estática, as pertubações, como perda de unidades de geração e de transmissão, são processadas levando em conta que a transição entre os estados atinge sempre um equilíbrio estável. Este estado pode, contudo, nunca ser alcançado, devido aos efeitos de saída em cascata associado a problemas de instabilidade, onde uma análise dinâmica é recomendada. A avaliação de segurança dinâmica visa examinar o comportamento dinâmico do sistema logo após um distúrbio, para identificar casos que possam provocar efeitos em cascata que levem o sistema a não atingir um estado estável [7]. A preocupação com a dinâmica do sistema tem motivado muitos trabalhos e não faz parte do objetivo deste estudo.

Seguro: Neste estado, são obedecidas as restrições de carga, de operação e de segurança, ou seja, o sistema está operando normalmente, atendendo toda a demanda e sem nenhuma violação de limites de operação. Se acontecer qualquer uma das contingências listadas, o sistema continuará atendendo as cargas sem nenhuma violação operativa. No entanto, caso ocorra uma contingência que não estava na lista, pode ser que o sistema entre em estado de emergência.

Estados do Sistema

Cabe, nesta seção, uma classificação formal dos vários estados da operação em tempo real do sistema elétrico. Um sistema de energia elétrica, quando operando em regime estacionário, está sujeito a três tipos de restrições: de carga, de operação e de segurança. As restrições de carga representam as injeções de potência ativa e reativa nas barras de carga e as injeções de potência ativa nas barras de geração. As restrições de operação representam os limites impostos às magnitudes das tensões nas barras, aos fluxos de potência aparente nas linhas de transmissão e transformadores, e às injeções de potência reativa nas barras de geração.

As restrições de segurança estão associadas a um conjunto preestabelecido de contingências possíveis no sistema como: perda de linha, geradores, capacitores ou reatores em derivação, entre outros equipamentos.

Esta lista de contingências, em geral, inclui contingências simples, ou seja, perda de um equipamento por vez, porém podendo conter algumas contingências múltiplas. Não existem critérios bem estabelecidos para a elaboração destas listas. Pode-se usar alguma ferramenta computacional, como a seleção automática de contingências, mas também costuma-se levar em consideração a experiência do operador e as probabilidades de ocorrências de falhas.

Baseando-se nas definições das restrições de carga, de operação e de segurança podem ser definidos quatros estados de operação do sistema: seguro, alerta, emergência e restaurativo. As definições dos estados estão descritas a seguir [8]:

Definição de Análise de Segurança Estática

Seguro:

Neste estado, são obedecidas as restrições de carga, de operação e de segurança, ou seja, o sistema está operando normalmente, atendendo toda a demanda e sem nenhuma violação de limites de operação. Se acontecer qualquer uma das contingências listadas, o sistema continuará atendendo as cargas sem nenhuma violação operativa. No entanto, caso ocorra uma contingência que não estava na lista, pode ser que o sistema entre em estado de emergência.

Estados do Sistema

Alerta: No estado de alerta, o sistema continua suprindo toda a demanda sem haver violações nos limites operativos, porém alguma contingência que está incluída na lista poderá levar o sistema ao estado de emergência, caso ela venha a ocorrer de fato.

Emergência: O estado de emergência é caracterizado pela violação de uma ou mais restrições operativas. A emergência pode ser provocada por uma contingência e conseqüente desligamento de um ou mais equipamentos do sistema. Com exceção dos equipamentos que provocaram a emergência, o resto do sistema está intato.

Seguro para Seguro: A partir das informações sobre a previsão da demanda a curto-prazo, o operador pode mudar o ponto de operação do sistema em vista da solicitação de carga futura, da ordem de uma hora, evitando que o sistema tenha que entrar em estado de alerta para depois haver a ação operativa que o leve ao estado seguro novamente.

Alerta para Emergência: Esta transição se dá quando uma contingência que levaria o sistema ao estado de emergência realmente ocorra antes que o operador tenha tomado ações para que o sistema retornasse ao estado seguro.

Restaurativo: Este estado é atingido quando uma emergência é eliminada por desligamento manual ou automático de partes do sistema, efetuados pelo centro de controle ou por dispositivos locais. Neste estado as restrições operativas são obedecidas, porém o sistema não está intato, há cargas não atendidas, ilhamentos, etc.

A Figura 2.1 ilustra os estados do sistema e a transição entre eles:

Emergência para Alerta: O sistema pode sair do estado de emergência para o estado de alerta, ou seja, sem que haja corte de carga, a partir de ações corretivas visando eliminar a violação. Esta ação corretiva pode ser a redistribuição da geração, mudança de tap de transformador, chaveamento de capacitores ou reatores em derivação.

A transição entre estados:

Seguro para Alerta: Um sistema pode transitar do estado seguro para o alerta em consequência da ocorrência de uma contingência ou mesmo da evolução normal da demanda

Alerta para Seguro: Esta transição é feita a partir da execução de um controle de segurança pelos operadores do centro de controle. É feito um redespacho da geração e então o sistema é levado a operar em outro ponto, seguro..

Emergência para Restaurativo: Nem sempre é possível tirar o sistema do estado de emergência sem que haja corte de carga. Algumas vezes, dispositivos locais de controle e proteção atuam antes que qualquer medida seja tomada pelo centro de controle, desligando cargas ou circuitos. Em alguns casos, o corte de carga é feito pelo próprio centro de controle por meio da função de controle de emergência ou por decisão do operador. Esta opção é tomada quando não se consegue restabelecer o sistema de modo mais brando, como no remanejamento de geração ou controle de tensão.

Seguro para Seguro: A partir das informações sobre a previsão da demanda a curto-prazo, o operador pode mudar o ponto de operação do sistema em vista da solicitação de carga futura, da ordem de uma hora, evitando que o sistema tenha que entrar em estado de alerta para depois haver a ação operativa que o leve ao estado seguro novamente.

Alerta para Emergência: Esta transição se dá quando uma contingência que levaria o sistema ao estado de emergência realmente ocorra antes que o operador tenha tomado ações para que o sistema retornasse ao estado seguro.

Alerta para Alerta: Se o estado presente for de alerta e a previsão de carga futura leva a possibilidade da ocorrência de uma situação de emergência, o operador pode tomar ações que mudem o ponto de operação do sistema de tal forma que para o estado previsto não se verifique mais a emergência detectada anteriormente. O fato do operador não tomar ações que levem o sistema ao estado seguro pode estar relacionado com a impossibilidade do mesmo, como no caso da manutenção de algum elemento do sistema.

Restaurativo para Alerta ou Seguro: A função do controle restaurativo é religar as cargas e os circuitos dos sistemas desligados durante uma emergência, levando o sistema ao estado seguro ou, pelo menos, ao estado de alerta.

Emergência para Alerta: O sistema pode sair do estado de emergência para o estado de alerta, ou seja, sem que haja corte de carga, a partir de ações corretivas visando eliminar a violação. Esta ação corretiva pode ser a redistribuição da geração, mudança de tap de transformador, chaveamento de capacitores ou reatores em derivação.

Emergência para Restaurativo: Nem sempre é possível tirar o sistema do estado de emergência sem que haja corte de carga. Algumas vezes, dispositivos locais de controle e proteção atuam antes que qualquer medida seja tomada pelo centro de controle, desligando cargas ou circuitos. Em alguns casos, o corte de carga é feito pelo próprio centro de controle por meio da função de controle de emergência ou por decisão do operador. Esta opção é tomada quando não se consegue restabelecer o sistema de modo mais brando, como no remanejamento de geração ou controle de tensão.

Emergência para Alerta: O sistema pode sair do estado de emergência para o estado de alerta, ou seja, sem que haja corte de carga, a partir de ações corretivas visando eliminar a violação. Esta ação corretiva pode ser a redistribuição da geração, mudança de tap de transformador, chaveamento de capacitores ou reatores em derivação.

Alerta para Alerta: Se o estado presente for de alerta e a previsão de carga futura leva a possibilidade da ocorrência de uma situação de emergência, o operador pode tomar ações que mudem o ponto de operação do sistema de tal forma que para o estado previsto não se verifique mais a emergência detectada anteriormente. O fato do operador não tomar ações que levem o sistema ao estado seguro pode estar relacionado com a impossibilidade do mesmo, como no caso da manutenção de algum elemento do sistema.

Restaurativo para Alerta ou Seguro: A função do controle restaurativo é religar as cargas e os circuitos dos sistemas desligados durante uma emergência, levando o sistema ao estado seguro ou, pelo menos, ao estado de alerta.

Monticelli et. Alli., em [6], definem o conceito de modo preventivo e corretivo de despacho econômico seguro. O exemplo a seguir será utilizado para descrever o despacho econômico com restrições de segurança e diferenciar os dois modos de operação segura. Supondo um sistema formado por dois geradores interligados por duas linhas de transmissão em paralelo cuja capacidade térmica é de 100 MW. Conectada à barra 2, existe uma carga de 200 MW. Os custos de operação dos geradores e suas capacidades estão apresentados na Figura 2.2:

Supondo não haver perda nas linhas, como o gerador 1 tem um custo de operação menor, a solução do despacho econômico “puro” fica como na Figura 2.3.

Alerta para Alerta: Se o estado presente for de alerta e a previsão de carga futura leva a possibilidade da ocorrência de uma situação de emergência, o operador pode tomar ações que mudem o ponto de operação do sistema de tal forma que para o estado previsto não se verifique mais a emergência detectada anteriormente. O fato do operador não tomar ações que levem o sistema ao estado seguro pode estar relacionado com a impossibilidade do mesmo, como no caso da manutenção de algum elemento do sistema.

Restaurativo para Alerta ou Seguro: A função do controle restaurativo é religar as cargas e os circuitos dos sistemas desligados durante uma emergência, levando o sistema ao estado seguro ou, pelo menos, ao estado de alerta.

Nota-se que, se uma das linhas do sistema exemplo sair de operação, o fluxo que passará na linha remanescente será o somatório dos fluxos em cada linha antes da contingência, ou seja, 200 MW, ultrapassando o limite de carregamento da linha remanescente.

Se quisermos que uma contingência não leve o sistema a operar com violações de limites, a geração na máquina 1 deverá ser restringida. O despacho econômico seguro fica então como mostrado na Figura 2.5. Neste caso, se uma das duas linhas sair de operação, o fluxo total na linha remanescente será de 100 MW.

Nota-se na figura 2.5, que o custo total da operação sobe de $200 no despacho econômico “puro” para $300 no despacho econômico e seguro.

Modo de segurança preventivo e modo de segurança corretivo

No entanto, no despacho de geração feito na figura 2.5, não é levado em conta a capacidade corretiva do sistema após a ocorrência de uma contingência. Supondo que os geradores tenham ambos uma capacidade de serem redespachados em 35 MW antes da atuação do sistema de proteção. Neste caso, é possível aumentar a geração da máquina 1 e então obter o despacho mostrado na Figura 2.6.

Nota-se que esse despacho deixaria uma das linhas sobrecarregadas caso houvesse uma contingência, porém por um breve tempo, pois o gerador 1 teria sua geração reduzida até 100 MW, enquanto o gerador 2 aumentaria sua geração para 100 MW. Este é o chamado despacho econômico e seguro em modo corretivo. Neste caso, o custo total da geração é de $265 e, portanto, menor do que o apresentado na figura 2.5, o chamado despacho econômico e seguro em modo preventivo. O modo corretivo tem o mesmo nível de segurança do modo preventivo e a um menor custo..

As funções de análise de redes fazem parte de um conjunto maior de funções executadas pelos Sistemas de Gerenciamento de Energia. As funções de gerenciamento disponíveis nos modernos centros de controle de energia permitem analisar o sistema elétrico sob dois pontos de vista:

Análise Estática do Sistema Elétrico – Neste tipo de análise é realizada a Monitoração do Estado Corrente do Sistema (Configurador da Rede e Estimador de Estado). No caso de existirem violações, são sugeridas ações de controle para a retirada dessas violações (Controle de Emergência, baseado na solução de um FPO). Outra funcionalidade disponível é a Monitoração da Segurança Estática do Sistema (Análise de Contingências). No caso do sistema não suportar uma ou mais contingências, são sugeridas ações de controle para alterar o ponto de operação do sistema, de forma que, na ocorrência de qualquer uma das contingências analisadas, o sistema não evolua para uma situação de emergência (Controle de Segurança, baseado na solução de um FPORS).

Modo de segurança preventivo e modo de segurança corretivo

Análise Dinâmica do Sistema Elétrico – Neste tipo de análise, são calculados índices que refletem o desempenho do sistema sob o ponto de vista dinâmico. Estes índices permitem avaliar se o ponto de operação do sistema está em uma região crítica sob os pontos de vista de estabilidade de tensão e de estabilidade transitória. Também é possível avaliar o impacto no sistema, sob o aspecto dinâmico, de qualquer uma das contingências selecionadas.

A utilização de funções de gerenciamento de energia traz benefícios imediatos, tais como:

  • Possibilidade de se esgotar todos os recursos de controle do sistema antes de, efetivamente, adotar o procedimento de alívio de carga;
  • Avaliar tanto do ponto de vista estático quanto dinâmico se o ponto de operação do sistema é seguro;
  • Alterar, preventivamente, o ponto de operação do sistema, evitando sua evolução para um ponto inseguro e, consequentemente, uma região potencial de ocorrência de desligamentos;
  • Auxiliar o despachante no diagnóstico das ocorrências do sistema, através de um tratamento inteligente dos alarmes gerados, tanto pelo sistema de aquisição de dados, quanto pelas funções avançadas de análise da rede elétrica;
  • Em caso de um desligamento, auxiliar os despachantes na retomada de carga de forma rápida e segura, reduzindo o tempo total de restabelecimento

Por suas próprias características, as funções de gerenciamento de energia são responsáveis pelo tratamento das informações obtidas pelo sistema de aquisição de dados (SCADA), modelando-as em uma base de dados consistente para o uso de toda a empresa.

Em particular, as funções de Análise Estática da Rede têm por objetivo monitorar a condição operativa corrente do sistema elétrico, fornecendo ao despachante uma estimativa confiável do estado do sistema, informando quando da ocorrência de condições operativas não desejáveis e produzindo estratégias de controle que permitam alterar o ponto de operação para uma condição operativa normal.

Estas funções permitem ainda monitorar a segurança estática do sistema, informando ao despachante se o sistema opera em uma região segura. No caso do sistema estar operando em uma região insegura, produz estratégias de controle capazes de mudar o ponto de operação para uma região segura.

Além disso, o uso destas funções possibilita aos engenheiros de operação a realização de estudos relativos a condições de pós-operação e a análise detalhada da condição operativa corrente, possibilitando a simulação de manobras na rede. Também permitem às equipes de programação e supervisão o estabelecimento e a revisão do Programa de Operação do Sistema Elétrico.

O Configurador de Redes: O Configurador de Redes tem a função de montar a topologia do sistema a partir dos dados de estados de chaves e disjuntores recebidos do sistema de aquisição de dados juntamente com parâmetros estáticos do sistema previamente armazenados na base de dados. O configurador gera alarmes para o operador quando ocorre mudança no estado de algum equipamento ou na ocorrência de ilhamentos no sistema elétrico.

Essas funções são organizadas, em geral, em dois ambientes: Ambiente de Tempo-Real e Ambiente de Estudo.

No Ambiente de Tempo-Real, as funções processam dados provenientes do sistema supervisório (SCADA), sendo executadas de forma periódica, automática (após a ocorrência de um evento) ou sob requisição do despachante. Estas funções estão relacionadas com a determinação e monitoração da condição operativa corrente do sistema elétrico.

No Ambiente de Estudo, as funções são executadas a pedido do despachante e consistem da simulação e/ou análise de uma condição operativa passada (estudos de pós-operação), corrente (proveniente do Ambiente de Tempo-Real) ou futura (estudos de simulação e análise de condições operativas postuladas – estudos de pré-operação). Algumas das funções de Análise de Redes são [8]:

O Configurador de Redes: O Configurador de Redes tem a função de montar a topologia do sistema a partir dos dados de estados de chaves e disjuntores recebidos do sistema de aquisição de dados juntamente com parâmetros estáticos do sistema previamente armazenados na base de dados. O configurador gera alarmes para o operador quando ocorre mudança no estado de algum equipamento ou na ocorrência de ilhamentos no sistema elétrico.

O Estimador de Estados: A função do estimador de estados é fornecer uma solução de fluxo de potência, ou seja, o estado (magnitude de tensões e ângulos) do sistema. Nem todas as barras do sistema tem medidores de tensão enviando seus dados para os centros de controle, porém diante da redundância de algumas medidas, pode-se levantar o estado do sistema em sua totalidade.

Além de não se ter a supervisão em alguns locais do sistema, outros podem estar sendo supervisionado de forma errada, ou seja, as medidas que chegam ao centro de controle podem não corresponder à realidade. O estimador de estado é capaz de indicar quando uma medida está errada. Quanto maior o número de medidas redundantes, melhor consegue-se a aproximação com os valores reais.

Análise Dinâmica do Sistema Elétrico – Neste tipo de análise, são calculados índices que refletem o desempenho do sistema sob o ponto de vista dinâmico. Estes índices permitem avaliar se o ponto de operação do sistema está em uma região crítica sob os pontos de vista de estabilidade de tensão e de estabilidade transitória. Também é possível avaliar o impacto no sistema, sob o aspecto dinâmico, de qualquer uma das contingências selecionadas.

A utilização de funções de gerenciamento de energia traz benefícios imediatos, tais como:

  • Possibilidade de se esgotar todos os recursos de controle do sistema antes de, efetivamente, adotar o procedimento de alívio de carga;
  • Avaliar tanto do ponto de vista estático quanto dinâmico se o ponto de operação do sistema é seguro;
  • Alterar, preventivamente, o ponto de operação do sistema, evitando sua evolução para um ponto inseguro e, consequentemente, uma região potencial de ocorrência de desligamentos;
  • Auxiliar o despachante no diagnóstico das ocorrências do sistema, através de um tratamento inteligente dos alarmes gerados, tanto pelo sistema de aquisição de dados, quanto pelas funções avançadas de análise da rede elétrica;
  • Em caso de um desligamento, auxiliar os despachantes na retomada de carga de forma rápida e segura, reduzindo o tempo total de restabelecimento

Juntos, estes dois programas fornecem os dados da rede elétrica em tempo-real para servirem de entradas para outros programas, sejam eles de funções em tempo-real ou programas de estudos.

Acrescenta-se às ferramentas de análise de redes:

Fluxo de Potência Ótimo: Tem por objetivo a otimização do ponto de operação do sistema elétrico. O Fluxo de Potência Ótimo escolhe entre as “infinitas” condições de operação possíveis para atender a demanda, uma que otimize o critério escolhido.

O critério pode ser, por exemplo, fornecer o ponto de operação mais econômico, ou ponto de mínima perda de potência ativa nas linhas.

Por suas próprias características, as funções de gerenciamento de energia são responsáveis pelo tratamento das informações obtidas pelo sistema de aquisição de dados (SCADA), modelando-as em uma base de dados consistente para o uso de toda a empresa.

Em particular, as funções de Análise Estática da Rede têm por objetivo monitorar a condição operativa corrente do sistema elétrico, fornecendo ao despachante uma estimativa confiável do estado do sistema, informando quando da ocorrência de condições operativas não desejáveis e produzindo estratégias de controle que permitam alterar o ponto de operação para uma condição operativa normal.

Estas funções permitem ainda monitorar a segurança estática do sistema, informando ao despachante se o sistema opera em uma região segura. No caso do sistema estar operando em uma região insegura, produz estratégias de controle capazes de mudar o ponto de operação para uma região segura.

Além disso, o uso destas funções possibilita aos engenheiros de operação a realização de estudos relativos a condições de pós-operação e a análise detalhada da condição operativa corrente, possibilitando a simulação de manobras na rede. Também permitem às equipes de programação e supervisão o estabelecimento e a revisão do Programa de Operação do Sistema Elétrico.

Controle de Emergência: Este aplicativo é constituído, basicamente, de um programa de fluxo de potência ótimo e pode ser usada pelo operador para determinar ações de controle corretivo que permitam ao sistema elétrico sair de uma situação de emergência, ou seja, situação em que limites operativos estão sendo violados. O objetivo do fluxo de potência ótimo não é necessariamente econômico, pode representar, por exemplo, o mínimo desvio em relação ao ponto de operação atual do sistema. Lembrando que, no caso, o ponto atual do sistema já tinha sido determinado por critérios econômicos.

Previsão de Carga por Barra: A previsão de carga por barra do sistema, em geral, baseia-se na previsão de demanda do sistema como um todo. A demanda global do sistema é transformada em demanda por barra utilizando-se fatores de distribuição previamente calculados, tantos das barras internas como para o sistema externo.

Equivalentes de Redes: O estimador de estados resolve o problema do fluxo de potência para uma parte da rede interligada, o sistema observável. A modelagem da rede em tempo-real visa determinar as condições atuais da rede, incluindo uma representação do sistema externo. A modelagem do sistema externo é feita sem se dispor dos dados de tempo-real, por isso a necessidade de utilizar, por exemplo, a previsão de cargas para as barras externas. Parte do sistema pode também ser substituído por um equivalente reduzido.

Essas funções são organizadas, em geral, em dois ambientes: Ambiente de Tempo-Real e Ambiente de Estudo.

No Ambiente de Tempo-Real, as funções processam dados provenientes do sistema supervisório (SCADA), sendo executadas de forma periódica, automática (após a ocorrência de um evento) ou sob requisição do despachante. Estas funções estão relacionadas com a determinação e monitoração da condição operativa corrente do sistema elétrico.

No Ambiente de Estudo, as funções são executadas a pedido do despachante e consistem da simulação e/ou análise de uma condição operativa passada (estudos de pós-operação), corrente (proveniente do Ambiente de Tempo-Real) ou futura (estudos de simulação e análise de condições operativas postuladas – estudos de pré-operação). Algumas das funções de Análise de Redes são [8]:

A modelagem da rede em tempo-real é obtida por um programa de fluxo de carga no qual se consideram todas as barras observadas como sendo barras swing (Tensão e ângulo especificados), assim o estado da rede interna não é deteriorado pela representação aproximada da rede externa. O estado da rede externa também pode ser determinado pelo estimador de estados.

Análise de Contingências: O programa simula uma lista preestabelecida de casos de contingências. Em cada caso a ser analisado, o aplicativo muda a representação da rede para simular a falta do equipamento em questão e executa uma análise em cima dessa topologia. Verifica, para cada caso, o impacto provocado pela contingência no sistema elétrico e então, ao final da simulação de toda a lista de contingências, indica se o sistema atende às restrições de segurança (monitoração da segurança).

Controle de Segurança Quando o programa de análise de contingências é baseado na solução de um Fluxo de Potência Ótimo com Restrições de Segurança, não se trata simplesmente de monitoração do estado do sistema. Havendo possibilidade de que o sistema evolua para uma condição de violação operativa, caso alguma das contingências da lista ocorra, o programa fornecerá uma lista de ações de controle a serem executadas para que o sistema venha a operar em modo seguro.

Para a Análise de Contingências, a lista de contingências é normalmente formulada levando-se em consideração a probabilidade de ocorrência de um determinado evento. Pode ser formulada para que seja analisada a perda de um equipamento por vez, ou por mais de um equipamento simultaneamente. Dentre os equipamentos que fazem parte da lista de contingência estão os transformadores, as linhas de transmissão, equipamentos shunt, reatores ou banco de capacitores, geradores e cargas.

Os estudos de Análise de Contingências, quando utilizados no contexto da operação em tempo-real, devem fornecer resultados em tempo suficientemente rápido para que sua análise tenha alguma serventia para os operadores. Existem três tipos de abordagens sendo estudadas e implementadas nos últimos anos no sentido de se viabilizar o uso da Análise de Contingências no contexto da operação em tempo-real [1]:

Funções de Análise de Redes em Centros de Controle

Análise de Sensibilidade de Tensão: Este aplicativo tem a função de fornecer dois tipos de informação ao operador: quais as ações de controle que têm maior efeito sobre a magnitude de tensão de uma determinada barra e quais magnitudes de tensão são mais afetadas por uma determinada ação de controle.

Índice de Desempenho Dinâmico do Sistema: Responsável pela determinação da margem para um possível Colapso de Tensão, além de índices relativos à Estabilidade Eletromecânica do sistema. Esta função é implementada pelos programas Análise de Estabilidade de Tensão e Análise de Estabilidade Eletromecânica respectivamente.

  1. Estudar o sistema com algoritmos bem rápidos, mas que fazem uso de aproximações e simplificações;
  2. Selecionar somente os casos mais importantes para se fazer uma análise detalhada;
  3. Fazer uso de técnicas de computação paralela, com múltiplos processadores ou processadores vetoriais para ganhar velocidade.

A primeira abordagem faz uso de aproximações e simplificações. Nessa linha, tem-se o uso de modelos linearizados da rede para resolver problemas de análise se contingências e aparece na literatura sob vários títulos, tais como, “Método das Sensibilidades Linear” ou “Fatores de Sensibilidade Linear” [1]. Essa abordagem é útil quando é desejada somente uma análise aproximada dos efeitos de cada contingência. O método dos Fatores de Sensibilidade Linear tem todas as limitações atribuídas ao Fluxo de Potência CC, ou seja, só são calculados nos circuitos os fluxos de potência ativa. Não é obtida nenhuma informação sobre fluxo de potência reativa nos circuitos ou tensão nas barras.

Monticelli, em [8], define a análise de contingências como um programa que simula uma lista preestabelecida de casos de contingências onde, em cada caso a ser analisado, o aplicativo muda a representação da rede para simular a falta do equipamento em questão e executa um fluxo de potência em cima dessa topologia. Para cada caso, é verificado o impacto provocado pela contingência no sistema elétrico e então, ao final da simulação de toda a lista de contingências, o aplicativo indica se o sistema atende às restrições de segurança. Essa definição abrange somente a monitoração do estado do sistema, verificando se o mesmo é seguro, ou não. Quando a análise de contingências está associada à solução de um Fluxo de Potência Ótimo com Restrições de Segurança, é obtido não o estado atual do sistema, mas sim ações de controle necessárias para aumentar o nível de segurança do sistema. A Análise de Contingências baseada em FPORS será apresentada na seção 2.7.

Para a Análise de Contingências, a lista de contingências é normalmente formulada levando-se em consideração a probabilidade de ocorrência de um determinado evento. Pode ser formulada para que seja analisada a perda de um equipamento por vez, ou por mais de um equipamento simultaneamente. Dentre os equipamentos que fazem parte da lista de contingência estão os transformadores, as linhas de transmissão, equipamentos shunt, reatores ou banco de capacitores, geradores e cargas.

Os estudos de Análise de Contingências, quando utilizados no contexto da operação em tempo-real, devem fornecer resultados em tempo suficientemente rápido para que sua análise tenha alguma serventia para os operadores. Existem três tipos de abordagens sendo estudadas e implementadas nos últimos anos no sentido de se viabilizar o uso da Análise de Contingências no contexto da operação em tempo-real [1]:

Fluxo de Potência Ótimo: Tem por objetivo a otimização do ponto de operação do sistema elétrico. O Fluxo de Potência Ótimo escolhe entre as “infinitas” condições de operação possíveis para atender a demanda, uma que otimize o critério escolhido.

O critério pode ser, por exemplo, fornecer o ponto de operação mais econômico, ou ponto de mínima perda de potência ativa nas linhas.

  1. Estudar o sistema com algoritmos bem rápidos, mas que fazem uso de aproximações e simplificações;
  2. Selecionar somente os casos mais importantes para se fazer uma análise detalhada;
  3. Fazer uso de técnicas de computação paralela, com múltiplos processadores ou processadores vetoriais para ganhar velocidade.

A primeira abordagem faz uso de aproximações e simplificações. Nessa linha, tem-se o uso de modelos linearizados da rede para resolver problemas de análise se contingências e aparece na literatura sob vários títulos, tais como, “Método das Sensibilidades Linear” ou “Fatores de Sensibilidade Linear” [1]. Essa abordagem é útil quando é desejada somente uma análise aproximada dos efeitos de cada contingência. O método dos Fatores de Sensibilidade Linear tem todas as limitações atribuídas ao Fluxo de Potência CC, ou seja, só são calculados nos circuitos os fluxos de potência ativa. Não é obtida nenhuma informação sobre fluxo de potência reativa nos circuitos ou tensão nas barras.

Controle de Emergência: Este aplicativo é constituído, basicamente, de um programa de fluxo de potência ótimo e pode ser usada pelo operador para determinar ações de controle corretivo que permitam ao sistema elétrico sair de uma situação de emergência, ou seja, situação em que limites operativos estão sendo violados. O objetivo do fluxo de potência ótimo não é necessariamente econômico, pode representar, por exemplo, o mínimo desvio em relação ao ponto de operação atual do sistema. Lembrando que, no caso, o ponto atual do sistema já tinha sido determinado por critérios econômicos.

Funções de Análise de Redes em Centros de Controle

Se for necessário conhecer, após uma contingência, os fluxos de potência ativa e reativa nos circuitos e tensões nas barras, então uma formulação completa do fluxo de potência deve ser utilizada.

A segunda abordagem, a Seleção de Contingências, leva em consideração o fato de que nem todas as contingências da lista vão causar violações de limites. Uma das abordagens é utilizar a experiência do operador do sistema elétrico para se obter uma lista de contingências menor e mais adequada ao estado corrente do sistema elétrico. Como exemplo, sabemos que algumas contingências provocam um efeito mais intenso no sistema quando este opera em carga leve, enquanto que em carga pesada, essa mesma contingência pode não oferecer grandes perturbações.

Previsão de Carga por Barra: A previsão de carga por barra do sistema, em geral, baseia-se na previsão de demanda do sistema como um todo. A demanda global do sistema é transformada em demanda por barra utilizando-se fatores de distribuição previamente calculados, tantos das barras internas como para o sistema externo.

Equivalentes de Redes: O estimador de estados resolve o problema do fluxo de potência para uma parte da rede interligada, o sistema observável. A modelagem da rede em tempo-real visa determinar as condições atuais da rede, incluindo uma representação do sistema externo. A modelagem do sistema externo é feita sem se dispor dos dados de tempo-real, por isso a necessidade de utilizar, por exemplo, a previsão de cargas para as barras externas. Parte do sistema pode também ser substituído por um equivalente reduzido.

No entanto, essa solução, baseada na experiência do operador, está sujeita a ocorrência de erro humano, que pode ser de dois tipos: elaborar uma lista onde uma contingência crítica não seja selecionada, podendo levar a uma falsa informação de que o sistema está seguro; ou elaborar uma lista de contingências muito longa, sobrecarregando desnecessariamente a análise e aumentando o tempo de solução da mesma.

Outra abordagem para a seleção de contingências é a utilização de métodos automáticos de seleção de contingência, ou também chamados de Contingency Screening. Neste caso, é feita uma pré-análise do efeito da contingência, sendo atribuído um índice de desempenho que será utilizado para ordenação da lista a partir dos casos mais críticos para os menos críticos. As contingências da lista ordenada são analisadas uma a uma até que depois de um determinado número de contingências seguidas sem gerar violações operativas, a análise é finalizada. O desafio em torno do uso da seleção automática de contingências está em como encontrar a melhor maneira de calcular o índice de desempenho para a ordenação da lista de contingências e tem sido objeto de estudo em muitos trabalhos ao longo dos últimos anos e será detalhada na seção 2.6.

Métodos de soluções locais e de fronteiras, a serem apresentados na seção 2.5.3 e 2.5.4, são métodos que se utilizam do fato de uma contingência ter seu efeito sentido a um certo limite geográfico para buscarem uma simplificação na análise de contingências.

Normalmente são utilizados para diminuir o tempo gasto na solução da Seleção Automática de Contingências e tornar o processo global da Análise de Segurança mais rápido, onde depois da Seleção de Contingências, será utilizado um algoritmo de solução que forneça maiores detalhes sobre os efeitos das contingências no sistema, bem como quais ações devem ser tomadas no sentido de se aumentar o nível de segurança do sistema, neste caso, a análise é baseada na solução de um FPORS.

A terceira abordagem para a viabilização do uso do programa de análise de contingências no contexto da operação em tempo-real é a utilização de técnicas de processamento paralelo e, em particular, processamento em cluster de computadores.

Análise de Contingências: O programa simula uma lista preestabelecida de casos de contingências. Em cada caso a ser analisado, o aplicativo muda a representação da rede para simular a falta do equipamento em questão e executa uma análise em cima dessa topologia. Verifica, para cada caso, o impacto provocado pela contingência no sistema elétrico e então, ao final da simulação de toda a lista de contingências, indica se o sistema atende às restrições de segurança (monitoração da segurança).

Controle de Segurança Quando o programa de análise de contingências é baseado na solução de um Fluxo de Potência Ótimo com Restrições de Segurança, não se trata simplesmente de monitoração do estado do sistema. Havendo possibilidade de que o sistema evolua para uma condição de violação operativa, caso alguma das contingências da lista ocorra, o programa fornecerá uma lista de ações de controle a serem executadas para que o sistema venha a operar em modo seguro.

Método dos Fatores de Sensibilidade Linear

Uma das maneiras mais simples de se obter rapidamente resultado de possíveis sobrecargas é a utilização de métodos dos fatores lineares. Esses fatores representam relações de sensibilidade entre variáveis da rede e é derivado do Fluxo de Potência CC. Esses fatores podem ser obtidos de diversas maneiras e basicamente são divididos em dois tipos:

  • Fatores de deslocamento de geração;
  • Fatores de distribuição de contingência de linha;

Esse fator relaciona variações no fluxo de um ramo da rede devido à variação da geração em uma das barras da rede. O Fator de deslocamento de geração, ali, tem a seguinte definição:

É assumida nessa definição que a variação de geração, Pi, é exatamente compensada por uma variação oposta de geração na barra de referência, e então todos os geradores permanecem fixos. O fator ali representa a sensibilidade do fluxo na linha l para uma variação na geração na barra i. Supondo que se deseje estudar a saída de uma grande unidade geradora e é assumido que toda a geração perdida é compensada pela geração na barra de referência. Se o gerador em questão estava gerando Pi o MW e foi perdido, Pi, pode ser representado como:

e o novo fluxo de potência ativa em cada linha pode ser calculado utilizando o conjunto de fatores “a” pré-calculados com descrito a seguir:

Onde:

O fator de sensibilidade de deslocamento de geração é uma estimação linear das mudanças de fluxo em relação à variação de injeção de potência numa barra. O efeito de mudanças em várias barras de geração simultaneamente pode ser calculada utilizando superposição.

Supondo que a perda do gerador na barra i é compensada por outras máquinas através do sistema interligado, um dos métodos freqüentemente utilizados assume que os geradores remanescentes aumentam suas gerações proporcionalmente aos seus máximos valores de rampa de MW. Então, a proporção de tomada de carga para a unidade geradora j (j  i) deve ser:

Nota-se que essa formulação é simplificada e assume que nenhuma unidade geradora vai atingir seu máximo de geração.

Onde:

Para se obter o fluxo na linha l, assumindo que todos os geradores da rede vão participar na reposição da perda de geração, é usada, então, a equação:

Nota-se que essa formulação é simplificada e assume que nenhuma unidade geradora vai atingir seu máximo de geração.

Métodos de soluções locais e de fronteiras, a serem apresentados na seção 2.5.3 e 2.5.4, são métodos que se utilizam do fato de uma contingência ter seu efeito sentido a um certo limite geográfico para buscarem uma simplificação na análise de contingências.

Normalmente são utilizados para diminuir o tempo gasto na solução da Seleção Automática de Contingências e tornar o processo global da Análise de Segurança mais rápido, onde depois da Seleção de Contingências, será utilizado um algoritmo de solução que forneça maiores detalhes sobre os efeitos das contingências no sistema, bem como quais ações devem ser tomadas no sentido de se aumentar o nível de segurança do sistema, neste caso, a análise é baseada na solução de um FPORS.

A terceira abordagem para a viabilização do uso do programa de análise de contingências no contexto da operação em tempo-real é a utilização de técnicas de processamento paralelo e, em particular, processamento em cluster de computadores.

O fator de distribuição de contingência de linha é usado de maneira similar ao do deslocamento de geração, só que agora referente a uma contingência de perda de circuito. Por definição, o fator de distribuição de contingência de linha é dado por:

Onde

Análise de Contingências

Após a contingência, o fluxo de potência ativa na linha l é determinado usando o fator “d”:

Onde:

A maioria dos centros de controle que utilizam análise de contingência baseada em fluxo de potência completo utilizam os métodos de Newton-Rapson ou Desacoplado-Rápido, pelo fato de terem uma boa velocidade de solução e serem consideravelmente robustos na convergência quando solucionando difíceis casos. O método Desacoplado-Rápido tem a vantagem de poderem ser utilizadas fórmulas de alteração da rede sem a necessidade de se re-inverter a matriz Jacobiana do sistema.

Análise de Contingências

Pelo fato da solução de um fluxo de potência completo precisar de um tempo maior de solução, muitas pesquisas foram feitas no sentido de se buscar simplificações no processo de análise de contingências, para que seu uso se tornasse viável dentro do contexto de operação em tempo-real.

Nas seções seguintes, 2.5.3 e 2.5.4, serão apresentadas algumas simplificações na solução da Análise de Contingências. São métodos que se baseiam no fato de uma contingência ter seu efeito sentido até um certo limite geográfico. Nesses casos, é limitada a região onde será feita a análise da contingência. Esses métodos são, normalmente, utilizados juntamente com os métodos de Newton-Rapson ou o Desacoplado Rápido e são utilizados, basicamente, para acelerar a solução da Seleção Automática de Contingências, a ser apresentada na seção 2.6. A Seleção Automática de Contingências não necessita de uma solução completa do fluxo de potência em toda rede, pois pode basear-se em aproximações para calcular os índices de desempenho das contingências e, depois então, selecionar quais contingências serão analisadas detalhadamente.

Fazendo um pré-cálculo dos fatores de distribuição de contingência de linha, pode-se obter um procedimento rápido para o cálculo de fluxos pós-contingência em todas as linhas da rede e verificar se há algum problema de violação de limites operativos.

Cálculos utilizando métodos de sensibilidade linear são bem mais rápidos do que os que usam formulação não linear para representação da rede, e por isso encontram larga utilização em centros de controle [1]. No entanto, em muitos sistemas de potência a magnitude de tensão é um fator crítico na análise de contingências. Existem alguns sistemas onde o fluxo de potência reativa é predominante em alguns circuitos, como os de cabos subterrâneos, e uma análise somente no fluxo de potência ativa não é adequada para indicar sobrecargas. Nestes casos, somente uma análise utilizando a formulação completa de fluxo de potência pode ser utilizada

A maioria dos centros de controle que utilizam análise de contingência baseada em fluxo de potência completo utilizam os métodos de Newton-Rapson ou Desacoplado-Rápido, pelo fato de terem uma boa velocidade de solução e serem consideravelmente robustos na convergência quando solucionando difíceis casos. O método Desacoplado-Rápido tem a vantagem de poderem ser utilizadas fórmulas de alteração da rede sem a necessidade de se re-inverter a matriz Jacobiana do sistema.

Um número arbitrário de camadas é escolhido para resolver o fluxo de potência dentro daquelas camadas. As barras nas camadas mais altas são mantidas como tensão e ângulo constantes, ou seja, barras de referência.

Um problema em relação ao método de relaxação concêntrica é que algumas vezes é necessário obter camadas para circuitos que não terão realmente sido influenciados pela contingência [1]. Na tentativa de solucionar esse problema, são propostos os métodos de fronteira, a serem comentados na seção seguinte.

Revisão dos Métodos de Análise de Contingências

Outro conceito que foi utilizado no campo da análise de segurança de sistemas de potência é o de que o efeito de uma contingência tem um certo limite geográfico. A perda de uma linha de transmissão, por exemplo, não causará efeitos a centenas de quilômetros de distância.

Os métodos de soluções locais são baseados no conceito de vizinhança topológica. Estes objetivam reduzir o tamanho do sistema a ser analisado e baseiam-se na ampliação iterativa das vizinhanças afetadas pela contingência.

A partir desse conceito, foi proposto, originalmente por Zaborsky [9], um procedimento de relaxação concêntrica para resolver problemas de análise de contingências. Para tirar proveito do efeito geográfico limitado, o sistema de potência é dividido em duas partes: a parte afetada pela contingência e a parte não afetada. Para fazer essa divisão, a rede é dividida em camadas. A camada zero inclui as duas barras extremas à linha de transmissão em contingência. As barras distantes de uma linha, ou um transformador das barras da camada zero são incluídas na camada um e assim sucessivamente. Segue-se o procedimento até que toda a rede elétrica esteja incluída nas camadas. A Figura 2.7 ilustra o procedimento de camadas.

Fator de Deslocamento de Geração

Outro conceito que foi utilizado no campo da análise de segurança de sistemas de potência é o de que o efeito de uma contingência tem um certo limite geográfico. A perda de uma linha de transmissão, por exemplo, não causará efeitos a centenas de quilômetros de distância.

Os métodos de soluções locais são baseados no conceito de vizinhança topológica. Estes objetivam reduzir o tamanho do sistema a ser analisado e baseiam-se na ampliação iterativa das vizinhanças afetadas pela contingência.

A partir desse conceito, foi proposto, originalmente por Zaborsky [9], um procedimento de relaxação concêntrica para resolver problemas de análise de contingências. Para tirar proveito do efeito geográfico limitado, o sistema de potência é dividido em duas partes: a parte afetada pela contingência e a parte não afetada. Para fazer essa divisão, a rede é dividida em camadas. A camada zero inclui as duas barras extremas à linha de transmissão em contingência. As barras distantes de uma linha, ou um transformador das barras da camada zero são incluídas na camada um e assim sucessivamente. Segue-se o procedimento até que toda a rede elétrica esteja incluída nas camadas. A Figura 2.7 ilustra o procedimento de camadas.

Revisão dos Métodos de Análise de Contingências

Um número arbitrário de camadas é escolhido para resolver o fluxo de potência dentro daquelas camadas. As barras nas camadas mais altas são mantidas como tensão e ângulo constantes, ou seja, barras de referência.

Um problema em relação ao método de relaxação concêntrica é que algumas vezes é necessário obter camadas para circuitos que não terão realmente sido influenciados pela contingência [1]. Na tentativa de solucionar esse problema, são propostos os métodos de fronteira, a serem comentados na seção seguinte.

Fator de Deslocamento de Geração

Os métodos de fronteira também se baseiam na redução da rede para resolver o problema mais eficientemente. O fluxo de potência é resolvido somente onde o efeito da contingência é realmente significativo. Em [10,11,12,13,14,15] constam alguns dos trabalhos que têm sido feitos sobre este assunto recentemente.

Nesta seção, será feita somente uma breve apresentação do conceito utilizado em [11]. Nesta abordagem o método é utilizado para um fluxo de potência linear, mas o conceito pode ser utilizado para um fluxo de carga completo.

A rede elétrica a ser analisada é dividida em três subsistemas, conforme mostrado na Figura 2.8:

N1: Subsistema imediatamente em torno da linha em contingência;
N2: Sistema externo que não vai ser resolvido detalhadamente;
N3: Conjunto de barras de fronteira que separam N1 e N2

O método é baseado no fato de que podemos fazer certas suposições sobre como vai se dar a variação dos ângulos de fase das tensões ao longo das linhas em N2, dadas as injeções em N1 (injeções fictícias nas barras extremas à linha em contingência para simular a saída da linha, ver [1]) e o máximo ângulo de fase que aparece em duas barras de N3.

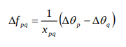
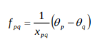
Supondo que se tenha uma linha de transmissão entre as barras p e q, no subsistema N2 e que o fluxo nesta linha antes da contingência seja dado por fpq 0 . Existe um valor máximo, fpq max, de variação no fluxo pq após a contingência, ou seja, um valor máximo de quanto a contingência pode afetar o fluxo inicial fpq 0.

A ideia do método é que se consiga isolar uma região N2 na qual esse valor, f max, nunca vá provocar sobrecarga em nenhum circuito em N2.

Essa variação máxima pode ser escrita em termos da diferença angular entre as barras p e q como a seguir:

Nota-se que essa formulação é simplificada e assume que nenhuma unidade geradora vai atingir seu máximo de geração.

Onde xpq é a reatância da linha entre as barras p e q.

Ou em termos de variação de fluxo e de ângulo:

Fazendo um pré-cálculo dos fatores de distribuição de contingência de linha, pode-se obter um procedimento rápido para o cálculo de fluxos pós-contingência em todas as linhas da rede e verificar se há algum problema de violação de limites operativos.

Fator de Distribuição de Contingência de Linha

A maioria dos centros de controle que utilizam análise de contingência baseada em fluxo de potência completo utilizam os métodos de Newton-Rapson ou Desacoplado-Rápido, pelo fato de terem uma boa velocidade de solução e serem consideravelmente robustos na convergência quando solucionando difíceis casos. O método Desacoplado-Rápido tem a vantagem de poderem ser utilizadas fórmulas de alteração da rede sem a necessidade de se re-inverter a matriz Jacobiana do sistema.

Fator de Distribuição de Contingência de Linha

Análise de Contingências baseada em Fluxo de Potência Completo

Análise de Contingências baseada em Fluxo de Potência Completo

Métodos de Soluções Locais

Métodos de Soluções Locais

Métodos de Fronteira

Métodos de Soluções Locais

Métodos de Fronteira

3 Seleção Automática de Contingências

A Seleção Automática de Contingências é mais uma das técnicas estudadas nos últimos anos para se melhorar a eficiência da análise de segurança na tentativa de tornar viável sua utilização dentro do contexto da operação em tempo-real. A ideia básica da metodologia é, levando em consideração que nem todos os casos de uma lista de contingências serão críticas, encontrar um meio de selecionar as contingências de tal maneira que somente os casos que realmente irão gerar violação operativa sejam, de fato, analisados [16]. Selecionar os piores casos de contingência não é um procedimento exato e tem sido tema de intensa pesquisa nos últimos 20 anos [1]. Alguns dos trabalhos que podem ser citados dentro desse contexto são: [7,9,10,11,12,13,14,15,16,17,18,19].

No problema da seleção de contingências, duas situações extremas podem acontecer:

  1. Colocar muitos casos na lista selecionada, inviabilizando a abordagem;
  2. Deixar de colocar na lista casos que gerariam alarme de violação operativa, podendo levar o sistema a uma situação de emergência sem que o operador tenha sido alertado.

A ideia inicial é que se pudesse ter previamente uma medida de quanto uma contingência em particular afeta o sistema. Para tal, é usado um índice de desempenho, PI, do inglês Performance Index, para cada caso de contingência cuja formulação geral é:

Onde wj é um peso relativo à função fj(x) e onde fj(x) é, em geral, a relação entre uma grandeza elétrica e seu limite em cada equipamento. A variável m é um número ao qual se elevará a função fj(x), normalmente elevada ao quadrado, no intuito de diferenciar melhor um caso que esteja carregado, mas não ultrapassando limites operativos, de um caso que esteja realmente sobrecarregado. Por exemplo, pode-se levar em consideração o fluxo de potência ativa de uma linha sobre seu limite de carregamento:

Esta é uma formulação usual, onde:

 

Outra formulação que pode ser usada é:

Onde foi acrescentado um termo relativo à tensão e:

Para o cálculo do PI, é executado um fluxo de potência. Para tal, poderia se utilizar o método linearizado de fluxo de potência por apresentar rápida solução, no entanto, não se teria como calcular a influência da tensão no PI. Uma outra maneira de se obter os fluxos e tensões nas linhas é usando uma iteração do método Desacoplado Rápido, conhecido como método 1P1Q, ou seja, o método é interrompido após uma iteração P- e uma iteração Q-V. Após a primeira iteração, o Desacoplado Rápido fornece informação bastante razoável para o cálculo do PI. Também são utilizados para se obter uma resposta rápida e aproximada das grandezas elétricas pós-contingência, métodos de soluções locais e métodos de fronteiras.

Após o cálculo do PI para cada caso de contingência, os casos são ordenados em ordem decrescente, ficando no topo da lista os casos candidatos a serem escolhidos para fazer parte da lista selecionada.

Uma vez ordenados os casos, estes devem ser analisados nesta ordem, com mais detalhes pelo programa de análise de contingências, até que um critério de parada seja alcançado. O critério de parada pode ser implementado de duas maneiras:

  1. Executar os N primeiros casos da lista ordenada, o que garante que o programa sempre vai executar um número reduzido de casos, afim de não se estender o tempo de execução do mesmo. Este critério, no entanto, pode deixar de analisar casos que geram violações operativas e, portanto, não alarmando o operador para um estado de operação inseguro.
  2. Analisar os casos de contingências da lista ordenada até que uma quantidade pré-determinada de casos não resultando em alarmes de violações operativas seja alcançada. Uma vantagem desse critério é a diminuição das chances de não se analisar um caso que geraria um estado de emergência. Outra vantagem está no fato de estar menos suscetível aos erros vindos da fase de ordenação da lista de casos.

O fator wi apresentado na formulação geral é usado como um ajuste fino no cálculo do PI para a ordenação da lista de casos de contingência. Em alguns casos, esses fatores são ajustados baseados simplesmente na experiência do engenheiro. Em [17] e [18] são propostos métodos para o cálculo automático desses pesos, afim de se obter um melhor ajuste na ordenação da lista. Na referência [19] é proposto um ajuste dos pesos utilizando uma das técnicas de Inteligência Artificial, Redes Neurais.

4 Análise de Contingências baseada em Fluxo de Potência Ótimo

No início da seção 2.3 foi apresentada uma definição de Análise de Contingência por Monticelli em [8]. Nesta definição, o programa de análise de contingências por se utilizar de um fluxo de potência convencional, fornece como resultado simplesmente uma avaliação do estado atual do ponto de operação, ou seja, indicando se o sistema estaria em estado seguro ou não.

Quando o programa de análise de contingências é formulado utilizando Fluxo de Potência Ótimo com Restrições de Segurança, o resultado obtido não é mais uma simples avaliação, mas sim um novo ponto de operação, agora seguro. É fornecido um conjunto de ações de controle que devem ser tomadas para levar o sistema a este novo ponto de operação.

Por outro lado, o esforço computacional para a solução do problema é bem maior. Associando-se a isto o fato de que para uma rede de grandes proporções, a lista de contingências também deve ser grande, a análise de contingências utilizando fluxo de potência ótimo pode ser considerada um problema de grande porte. Alguns trabalhos recentes na área indicam a atenção que tem sido dada a esse tema nos últimos anos.

Recentemente, foram publicadas algumas implementações de Fluxo de Potência Ótimo voltadas para o contexto da operação em tempo-real, conforme será descrito a seguir. No entanto, estes artigos não apresentam resultados com restrições de segurança, mas têm em comum a utilização de processamento distribuído para diminuir o tempo de solução do problema.

  • Em [20], de 2002, os autores utilizam o método Unlimited Point Algorithm para a solução do fluxo de potência ótimo. A paralelização é feita no nível de solução da matriz. Utilizam MPI para a implementação distribuída.
  • Em [21], de 2004, é utilizada a classe de algoritmos genéticos para a solução do FPO, também utilizando o MPI para a implementação paralela.
  • Em [22] e [23], nos anos de 1999 e 2003 respectivamente, é utilizado o conceito de solução descentralizada do problema de Fluxo de Potência Ótimo, onde a rede elétrica é dividida em regiões e cada região é otimizada em um computador separado, trocando informações sobre algumas variáveis relacionadas às barras de fronteira entre as regiões. O fluxo de potência ótimo é solucionado via método de pontos interiores não linear e é utilizado PVM para a implementação paralela.
  • Em [24], de 2005, é utilizado o conceito de solução descentralizada. Neste caso, porém, a solução do FPO é dada via técnicas de programação linear. A implementação paralela é feita utilizando PVM – Parallel Virtual Machine.

Outras implementações que utilizam o fluxo de potência ótimo levando em consideração as restrições de segurança e processamento paralelo, podem ser encontradas em [25] e [26], estas baseadas no uso de técnicas de programação linear para a solução do FPORS. Tanto em [25], quanto em [26], é usado somente controle de potência ativa, ou seja, re-despacho de geração, para obter uma solução segura do sistema.

5 Fluxo de Potência Ótimo

Introdução

O Fluxo de Potência Ótimo é uma ferramenta que tem por finalidade fornecer a melhor condição de operação de um sistema elétrico sob um determinado objetivo. O objetivo pode ser, por exemplo, a condição de operação tal que o sistema tenha a menor quantidade de perdas elétricas possível. O problema não é simples, pois a solução encontrada deve respeitar os limites operativos dos equipamentos que compõem a rede elétrica assim como atender outras restrições inerentes à operação de um sistema elétrico.

Neste capítulo, serão apresentadas as principais aplicações do Fluxo de Potência Ótimo e a formulação matemática do problema. Serão apresentadas, também, a formulação do Fluxo de Potência Ótimo com Restrições de Segurança e a Metodologia de Decomposição de Benders para a solução do problema.

Aplicações do Fluxo de Potência Ótimo

O Fluxo de Potência Ótimo tem aplicação em vários problemas de planejamento da expansão e operação e de operação em tempo-real, tais como:

  • Despacho econômico e seguro (operação em tempo-real, simulação do despacho em estudos de planejamento da operação e expansão);
  • Re-despacho preventivo e corretivo (operação em tempo-real);
  • Minimização de perdas;
  • Alocação de fontes de potência reativa (planejamento da expansão do suporte de reativos);
  • Avaliação da confiabilidade composta de sistemas geração e transmissão;
  • Planejamento da expansão de sistemas de transmissão;
  • Tarifação de serviços de transmissão;
  • Determinação de preços nodais de energia.

Formulação do Problema

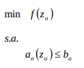
O Fluxo de Potência Ótimo é geralmente formulado como um problema de Programação Não-Linear, de acordo com o seguinte formato padrão [27]:

Variáveis do Fluxo de Potência Ótimo

As variáveis a serem otimizadas no Fluxo de Potência Ótimo são divididas em variáveis dependentes ou de estado e variáveis independentes ou de controle.

Entende-se por variáveis de estado o conjunto mínimo de variáveis capaz de caracterizar unicamente o estado de operação da rede elétrica. Normalmente as variáveis de estado são módulo e ângulo das tensões de fase em cada barra do sistema elétrico.

As variáveis independentes, ou de controle, são as que, durante o processo de solução, serão alteradas com a finalidade de se encontrar o ponto ótimo de operação. Na prática, estas variáveis podem ser:

  • Potência ativa gerada em cada máquina;
  • Módulo da tensão nas barras de geração;
  • Potência reativa gerada;
  • Posição de tap de transformador;
  • Susceptância shunt de bancos de capacitores e reatores;
  • Potência transmitida entre links DC;  Fluxo de intercâmbio entre áreas;
  • Reatância de capacitor série.

Restrições de Igualdade

No FPO, o conjunto de restrições de igualdade é na verdade o fechamento do balanço de carga e geração da rede elétrica. As restrições são as equações da rede, tal como no Fluxo de Potência convencional.

Pode-se ainda incluir às restrições de igualdade características particulares de operação da rede elétrica, como a fixação de determinadas variáveis ou combinação de variáveis do sistema.

Restrições de desigualdade

As restrições de desigualdade são inequações representando limites físicos relacionados com a capacidade térmica de transmissão de potência dos componentes da rede ou limites operacionais relacionados com aspectos de segurança da operação do sistema.

No problema de FPO é comum haver limites para as seguintes variáveis:

Módulo da tensão:

Tap de transformador:

Ângulo de defasamento:

Potência ativa gerada:

Potência reativa gerada:

Potência reativa capacitiva alocada:

Potência reativa indutiva alocada:

Potência ativa alocada:

Carregamento nos circuitos:

Rejeição de Carga:

Existem algumas situações, como, por exemplo, a de sistemas com problemas de tensão ou carregamento nos circuitos, onde pode ser necessário diminuir a carga em determinadas barras de forma a viabilizar o sistema. Estes cortes de carga são modelados matematicamente através do fator FCi presente nas equações de balanço ativo e reativo e o qual apresenta-se os limites:

Intercâmbio entre áreas:

Função Objetivo

Várias funções objetivo são utilizadas no problema de FPO. A seguir, uma breve descrição das funções objetivo mais utilizadas na prática e sua descrição matemática geralmente utilizada.

Mínimas perdas ativas - Visa diminuir o valor total das perdas no sistema. Essa função pode ser representada de duas maneiras:

  • Minimização da injeção de potência ativa na barra flutuante (barra swing).
  • Minimização do somatório das perdas ativas em todos os ramos da rede.

Onde:

Mínimo custo de geração de potência ativa – Visa representar o despacho econômico da rede. O custo de geração de potência ativa é normalmente representado como uma função linear em relação à potência ativa gerada em cada máquina.

Onde:

Mínimo desvio de potência ativa – É utilizada quando se deseja encontrar uma solução em que todas as restrições sejam atendidas, porém sem se distanciar do despacho de geração pré-especificado.

Onde:

Mínimo Corte de Carga – Tem por objetivo encontrar uma solução para o problema em casos de emergência aliviando a carga do sistema, se necessário, para restabelecer limites operativos como o carregamento de linhas e tensões nas barras. A função é representada pelo somatório dos custos das cargas cortadas em cada barra, ou seja:

Onde:

Mínimo Custo de Alocação de Fontes de Reativos - Essa função objetivo é utilizada no planejamento de instalações de novas fontes de potência reativa. Uma formulação utilizada é:

Onde:

Neste caso, nota-se que na solução do problema, quando a função objetivo for igual a zero, significa que a rede não precisa de novas fontes de suporte de reativo para manter as tensões nas barras dentro de seus limites.

Mínimo Número de Controles Alterados

Esta função objetivo não está associada a nenhuma fórmula explícita. É implementada da seguinte forma. No início da otimização, todos controles especificados como dados de entrada são fixados nos valores fornecidos e em cada x iterações do algoritmo, um índice de sensibilidade (custo reduzido) é calculado para cada controle fixado. Aquele controle cujo custo reduzido é maior em valor absoluto e que é também maior que uma determinada tolerância é liberado para ser otimizado a partir daquela iteração em diante.

Máximo Carregamento - Esta função objetivo pode ser utilizada no contexto de colapso de tensão ou em estudos econômicos na determinação da máxima capacidade de atendimento de carga de um sistema de potência. O objetivo desta função é maximizar a carga, mantendo o mesmo fator de potência, de um conjunto de barras da rede a pré-especificado.

A função objetivo é representada matematicamente por:

Onde:

Máxima transferência de Potência Ativa – Maximiza a transferência de potência ativa entre áreas vizinhas ou em um conjunto de circuitos pré-especificados.

A função objetivo é dada por:

Onde:

6 Métodos de Solução do Fluxo de Potência Ótimo

Métodos Baseados em Programação Linear

O Fluxo de Potência Ótimo pode ser representado como um Problema de Programação Linear. Um problema de Programação Linear é na verdade um caso particular de um Problema de Programação Não Linear.

No caso de um Problema de Programação Linear, tanto a função objetivo, quanto as restrições são lineares. O Fluxo de Potência Ótimo é um problema não-linear, que pode ser aproximado através de linearizações sucessivas. As equações originais do problema (3.1 a 3.3) são resolvidas com uma sucessão de aproximações lineares da forma:

Onde:

Cada linearização calcula a direção do ponto ótimo z através da linearização da função objetivo e das restrições. Entretanto, a solução iterativa do problema linear, equações (3.12 a 3.14), não garante a solução do problema não-linear original, equações (3.1 a 3.3). Portanto, deve-se executar um fluxo de potência convencional entre cada linearização.

As metodologias de solução do FPO baseadas em Programação Linear têm como vantagem a eficiente detecção de casos sem solução real, a facilidade na resolução de problemas de FPO com análise de segurança e tempos relativamente reduzidos de resolução.

Os métodos de Programação Linear mais comuns utilizados na solução do FPO são o método Simplex, o método baseado no Vetor Gradiente e o Método de Pontos Interiores para Programação Linear.

Métodos Baseados em Programação Não Linear

As equações representativas do FPO são não lineares e em alguns casos, difíceis de serem aproximadas por funções lineares. Por conta disto, têm-se optado por resolver diretamente o problema não linear de FPO através de técnicas de Programação Não Linear. Neste caso, tem-se a característica de modelar mais precisamente o problema. No entanto, há uma perda em termos computacionais nesses métodos, pois a solução é mais lenta.

Alguns dos métodos de Programação Não Linear utilizados na solução do FPO são o de Programação Quadrática Sequencial, Método do Gradiente Reduzido e Método de Newton. Estes métodos têm sua importância dentro do contexto histórico de desenvolvimento do FPO com formulação não linear. No entanto, o Método dos Pontos Interiores trouxe ganho significativo de desempenho, principalmente em se tratando de problemas de grande porte. Em especial, o algoritmo primal-dual tem apresentado excelentes resultados tanto em aplicações computacionais, quanto em desenvolvimento teórico.

Método de Pontos Interiores Primal-Dual

No método de pontos interiores, o problema inicial apresentado nas equações 3.1 a 3.3 é transformado em um problema contendo apenas restrições de igualdade. As restrições de desigualdade são incorporadas à função objetivo através de barreiras logarítmicas.

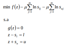
Para desenvolvimento do método de pontos interiores a formulação geral do problema, dada pelas equações 3.1 a 3.3, será modificada para uma equivalente, mais adequada, onde as restrições de desigualdade são do tipo restrições canalizadas nas variáveis. O problema é enunciado como [27]:

Onde l e u são vetores definindo limites inferior e superior das variáveis.

O passo seguinte é transformar as restrições de desigualdade definidas por (3.16) em restrições de igualdade e desigualdades não negativas através da utilização de variáveis de folga:

Em seguida, o vetor de variáveis de folga, sl e su, são incorporadas à função objetivo através de funções de penalidade do tipo barreira logarítmica. A barreira logarítmica é parametrizada pela variável u. Então o problema fica:

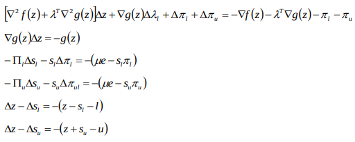
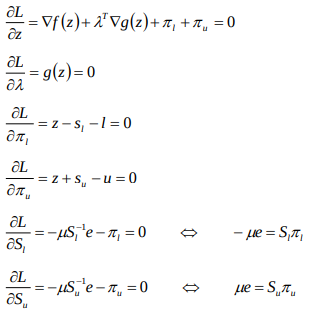
O Lagrangeano associado ao problema acima é dado por:

Onde

são vetores de multiplicadores de Lagrange associados às restrições de igualdade. A condição necessária de primeira ordem de KKT (Karush-Kuhn-Tucker) para otimalidade, referida ao Lagrangeano acima, equivale a VL = 0, o que resulta no seguinte sistema:

Onde Su e Sl são matrizes diagonais cujos elementos são as componentes de sl e su, respectivamente e e é um vetor com todos os elementos iguais a um.

Aplicando Newton para resolver o sistema acima, chega-se a:

Onde

são matrizes diagonais cujos elementos são as componentes de nl e nu, respectivamente.

Assumido que será mantida a viabilidade de z para as restrições de canalização, isto é, as parcelas (z – sl – l) e (z – su – u ) são nulas, das últimas duas equações do sistema acima obtém-se:

Substituindo na segunda e terceira equações, obtêm-se:

Com isto, os acréscimos

podem ser escritos em função de

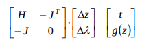
e o sistema de equações podem ser reescritos como:

Onde:

A Figura 3.1 apresenta o fluxograma do algoritmo do método de pontos interiores.

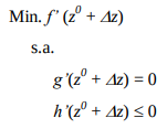
Fluxo de Potência Ótimo com Restrições de Segurança

O Fluxo de Potência Ótimo com Restrições de Segurança (FPORS) tem o objetivo de determinar um ponto de operação viável que minimiza uma função objetivo, de tal maneira que mesmo na ocorrência de uma contingência obtida de uma lista, o estado pós contingência continuará viável, ou seja, sem violação de restrições [6].

Para facilitar o desenvolvimento do método, as equações 3.1 a 3.3 são reformuladas da seguinte forma:

Onde:

Dada uma lista de N possíveis contingências, correspondente a perda de equipamentos da rede, o FPORS pode ser representado matematicamente como:

7 Sistema de Gerenciamento de Energia – EMS

Sistemas de Gerenciamento de Energia

Nos centros de controle de energia elétrica, a operação do sistema elétrico em tempo real é auxiliada por todo um sistema complexo de hardware e software que permite aos operadores conhecer o estado do sistema elétrico e atuar sobre ele. O monitoramento do sistema elétrico é feito através de sistemas supervisório, os sistemas SCADA – Supervisory Control and Data Acquisition.

Do sistema de medição no campo é possível enviar dados de grandezas elétricas em tempo real para os centros de controle, tais como: tensão em barramentos; fluxo de potência ativa e reativa em linhas e transformadores; posição de tap de transformador; geração ativa, geração reativa e freqüência nas máquinas do sistema. Também é possível enviar dados lógicos como o estados de chaves, disjuntores e relés de proteção, bem como outras grandezas normalmente monitoradas pelas equipes de operação em tempo real, como temperatura em óleos de transformadores e enrolamentos de máquinas, estados do sistema de comunicação, entre outras.

A medição feita em campo é concentrada em Unidades Terminais Remotas, UTRs, de onde os dados serão enviados aos centros de controle através de algum sistema de comunicação (linhas telefônicas, fibra ótica, ondas de rádio, satélites, etc.). Dependendo do fabricante da UTR, diferentes tipos de protocolos de comunicação podem ser utilizados. O sistema SCADA é responsável por implementar estes protocolos, um ou mais, disponibilizando os dados para os aplicativos via base de dados de tempo real e tratando estes dados de forma adequada.

Os dados vindos do sistema de telemedição são então apresentados aos operadores em telas de computadores em desenhos unifilares das subestações, gráficos ou tabulares. O sistema SCADA também permite que o operador atue no sistema através de telecomandos, abrindo ou fechando chaves e disjuntores, alterando posição de tap de transformador, setpoints de geração, etc. O mesmo sistema de comunicação que provê a aquisição de dados no campo também provê o tráfego de um sinal de controle gerado pelo SCADA a pedido do operador

O sistema SCADA também é responsável por gerar alarmes para o operador de acordo com os eventos ocorridos no sistema elétricos. Cada mudança de estado de chave ou disjuntor é incluída em uma lista de alarmes, assim como mudança de posição de tap de transformador ou qualquer outro controle, violação de limites operativos e atuação de relés de proteção. O operador deve poder tomar conhecimento de eventuais mudanças no estado do sistema seja por uma condição da evolução dinâmica do sistema, seja por eventuais ações tomadas por outros operadores. Os alarmes podem gerar sinais sonoros ou algum outro tipo de sinalização como mudança de cores nos objetos gráficos disponibilizados pela interface gráfica.

Os Sistemas de Gerenciamento de Energia - EMS, Energy Management System, por sua vez, provêm uma série de ferramentas no sentido de se melhorar a qualidade do serviço na operação do sistema como funções de análise de redes, armazenamento de dados em base de dados histórica e tratamento inteligente de alarmes.

As funções de análise de redes, apresentadas na seção 2.3, vão permitir ao operador obter uma informação mais precisa sobre o estado atual de operação do sistema elétrico e possíveis ações de controle a serem tomadas para manter o sistema operando sem violações de restrições operativas.

O armazenamento de dados em Banco de Dados Histórico permite a análise de dados passados, não só para a equipe de operação em tempo real, mas para outros órgãos da empresa. Os dados podem ser explorados para diversos fins, como gerar relatórios de operação, estatísticas de número de operações em equipamentos, relatórios de violações de tensão ou carregamento e gráficos de evolução da carga ao longo do dia.

Nos EMS, um sistema inteligente de tratamento de alarmes garante ao operador auxílio no diagnóstico de ocorrências do sistema. O sistema inteligente vai tratar tanto os alarmes gerados pelo SCADA quanto os alarmes gerados pelas funções de análise de redes.

É importante ressaltar que os sistemas SCADA/EMS oferecem funções que necessitam alta disponibilidade. Não é aceitável em um centro de controle que o operador fique sem informação sobre o que está acontecendo no sistema ou fique sem poder atuar sobre ele. Muitas subestações são completamente desassistidas, não tendo nenhum operador no local. Por isso, os sistemas SCADA/EMS têm todo um suporte computacional para funcionar mesmo quando há falhas em equipamentos [42]. O requisito mínimo de indidponibilidade é de 99,98%, o que equivale a aproximadamente 3 horas por ano.

Características do sistema SAGE

O SAGE, Sistema Aberto de Gerenciamento de Energia, é um sistema SCADA/EMS desenvolvido pelo CEPEL que tem por objetivo executar as funções de gerenciamento de energia em sistemas elétricos de potência. De uma forma geral, para executar as atividades de Supervisão, Controle e Gestão de Energia, as empresas de energia elétrica apresentam uma estrutura funcional organizada em níveis hierárquicos. Visando atender em todos os seus requisitos às funcionalidades presentes nestes níveis, o SAGE foi concebido para diversas aplicações no processo de automação das empresas: aplicações locais em usinas e subestações, suportadas por arquiteturas de baixo custo (PC), ou aplicações nos níveis hierárquicos superiores, tais como Centros de Operação de Sistemas (COS), suportadas por redes locais, possivelmente, heterogêneas compostas por hardware de maior poder computacional, como servidores (RISC), estações de trabalho e PCs [42]. O SAGE foi concebido com a adesão integral ao conceito de sistemas abertos. Foram exploradas todas as propriedades dos sistemas abertos, tais como:

  • Portabilidade;
  • Interconectividade;
  • Expansibilidade;
  • Modularidade;
  • Escalabilidade.

O sistema é baseado em uma arquitetura distribuída e redundante. Vários computadores podem ser conectados através de uma rede local, garantindo a expansibilidade dos recursos computacionais. A configuração física da rede é transparente, permitindo a utilização de diversas tecnologias de rede, como Ethernet, FDDI/CDDI, ATM, etc.

O ambiente distribuído pode ser composto por uma ampla variedade de equipamentos, desde microcomputadores tipo PC, até computadores de grande porte, passando por workstations e servidores RISC, que podem ser, inclusive, de diferentes fabricantes. A utilização de configurações redundantes e um software de controle sofisticado garantem alta confiabilidade e disponibilidade.

O SAGE foi estruturado para viabilizar a fácil integração de módulos adicionais diretamente à base de dados de tempo real. A base de dados de tempo real é implementada segundo o conceito de memória compartilhada distribuída o que o habilita como uma potencial plataforma para aplicações paralelas.

Para a implementação de aplicativos que necessitem acesso à base de dados de tempo real, é disponibilizada uma API (Application Program Interface). Esta API provê os meios de acesso à base de dados de tempo real, bem como rotinas de interface com o subsistema de comunicação e dados e com o sistema de alarmes do SAGE.

Todos os programas que fazem parte das funções de análise de redes são integrados à base de dados de tempo real via esta API.

Funções de Análise de Redes no SAGE

As funções de Análise de Redes têm por objetivo monitorar a operação corrente do sistema elétrico, fornecendo ao operador uma estimativa confiável do estado do sistema, informando quando da ocorrência de condições operativas não desejáveis e produzindo estratégias de controle que permitam alterar o ponto de operação para uma condição operativa normal.

Além disso, devem possibilitar aos engenheiros de operação a realização de estudos relativos a condições de pós-operação e a análise detalhada da condição operativa corrente, possibilitando a simulação de manobras na rede, além de permitir às equipes de programação e supervisão o estabelecimento e a revisão do Programa de Operação do Sistema Elétrico.

As funções de Análise de Redes do SAGE se dividem em Modo Tempo-Real e Modo Estudo. No Modo Tempo-Real, as funções processam dados provenientes do sistema supervisório, e são executadas de forma periódica, automática (após a ocorrência de um evento) ou sob requisição do operador. Estas atividades estão relacionadas com a determinação e monitoração da condição operativa corrente do sistema elétrico.

No modo Tempo-Real, o SAGE tem hoje contemplada as seguintes funções:

  • Configuração da Rede Elétrica;
  • Estimação de Estado;
  • Análise de Contingências;
  • Controle de Emergência.

As funções do Modo Tempo-Real estão integradas à base de dados de tempo real do SAGE.

No Modo Estudo, as atividades são executadas a pedido do operador e consistem da simulação ou análise de uma condição operativa passada (estudos de pós-operação), corrente (proveniente do Modo Tempo-Real) ou futura (estudos de simulação e análise de condições operativas postuladas).

A exportação de dados a partir do ambiente de tempo-real (caso de fluxo de potência) é realizada a pedido do operador ou de forma automática em horários pré-definidos. Os programas do ambiente de estudo são integrados a uma base de dados. Esta base de dados é independente da base de dados de tempo-real, embora mantenha com esta estrita coerência em relação aos dados.

Os programas que compõem o ambiente de estudo são os seguintes:

  • Fluxo de Potência Convencional;
  • Análise de Contingências;
  • Análise de Sensibilidade de Tensão;
  • Equivalente de Redes;
  • Fluxo de Potência Ótimo;
  • Análise de Curto Circuito;

A Figura 4.1 mostra uma organização moderna para as funções de Análise de Redes no ambiente tempo-real, onde se pode ver o relacionamento entre as funções básicas que são descritas a seguir [43].

Monitoração do Estado - Responsável pela definição da topologia do sistema elétrico e pela determinação e monitoração do estado corrente do sistema. Esta função é implementada pelos programas Configurador da Rede Elétrica e Estimador de Estado.

Controle de Emergência - Responsável pela elaboração de uma lista de ações de controle a ser sugerida ao operador, com a finalidade de mover a condição operativa do sistema de uma situação de emergência para uma condição operativa normal. A condição operativa em emergência pode ser definida como aquela em que nem todas as restrições físicas e operativas dos equipamentos são respeitadas. Esta função é implementada pelo programa Controle de Emergência (baseado na solução de um FPO).

Monitoração da Segurança - Responsável pela análise (monitoração) do comportamento do sistema elétrico, operando na condição corrente, frente a uma lista de possíveis contingências mais críticas ou prováveis de ocorrer. Esta função é implementada pelo programa Análise de Contingências (baseado em Fluxo de Potência convencional).

Controle de Segurança - Responsável pela elaboração de uma lista de ações de controle a ser sugerida ao operador, com a finalidade de alterar, de maneira preventiva, o ponto de operação do sistema, com o objetivo de evitar que o estado evolua para uma condição de emergência face à ocorrência de qualquer contingência de uma lista pré-selecionada (baseado na solução de um FPORS). Esta função é de fato o tema tratado neste trabalho.

Exemplo de Telas de Entrada e Saída de Dados

A título de ilustração, serão apresentadas algumas telas da interface gráfica do SAGE para a entrada e saída de dados do Controle de Segurança.